Урок физики в 10-м классе "Газовые законы"
Презентация. Слайд 2
Цели урока
- Образовательная: Изучить изопроцессы (история открытия, графики изопроцессов, математическую запись законов и объяснение их с точки зрения МКТ);
- Воспитательная: Продолжить формирование познавательного интереса учащихся, стремления к глубокому усвоения теоретических знаний через решение задач;
- Развивающие: Сформировать умение самостоятельно добывать знания , применять полученные знания в нестандартных ситуациях для решения графических и аналитических задач;
Приёмы и методы Тестовые задания. Сообщение учителя, беседа, построение графиков, демонстрация опытов. Решение задач.
Демонстрации. Зависимость давления газа от объёма при постоянной температуре, зависимость объёма газа от температуры при постоянном давлении ,зависимость давления газа от температуры при постоянном объёме .
Оборудование: компьютер, интерактивная доска, компьютерные программы “Кирилла и Мифодия”, стеклянная колба, 2 стеклянные трубки, пластилин, резиновая трубка, стакан с водой, термометр, манометр.
ПЛАН УРОКА
- Начало урока (организация работы)
- Подготовка к изучению нового материала
- Изучение нового материала
- Закрепление полученных знаний
- Домашнее задание
ХОД УРОКА
- Начало урока (организация работы) Подготовка класса к уроку.
- Подготовка к изучению нового материала
Слайд 3
Самостоятельная работа.
Вариант № 1
- Какие макроскопические параметры связывает уравнение Клапейрона – Менделеева?
- Какой объем занимает газ в колличестве103моль при давлении1МПа и температуре 1000С
(Ответ V=3,1м3)
Вариант № 2
- Какие параметры необходимо знать для определения состояния идеального газа?
- При какой температуре 1 см3 содержит 1019 молекул, если давление газа равно 104Па?
(Ответ Т=720С)
- Изучение нового материала
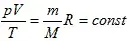
Уравнение состояния идеального газа, позволяет описать поведение идеального газа при любых изменениях параметров p, V, m, и Т.
До создания МКТ идеального газа свойства газов изучались экспериментально, были открыты законы поведения газов, которые легко можно вывести непосредственно из основного уравнения МКТ идеального газа. Когда в газе происходят какие-либо процессы, то обычно изменяются все три параметра: p, V, и Т.
Слайд 4.
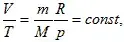
Рассмотрим процессы, которые протекают при изменении только двух параметров, а третий остается постоянным. Эти процессы получили название изопроцессов (от греческого “изос” – равный, одинаковый).
Уравнения состояния газа для них легко получить из уравнения Клапейрона-Менделеева, положив один из параметров равным постоянной величине.
Слайд 5
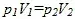
1.Если в уравнении состояния
или уравнение
Клапейрона-Менделеева
считать Т=const, то вся его правая
часть будет величиной постоянной:
.
Полученная формула выражает закон, установленный опытным путем в
1662г. английским ученым Р.Бойлем и в 1667г. независимо от
него французским физиком Э.Мариотта: ![]()
Для данной массы газа при постоянной температуре произведение объема газа на соответствующее ему давление есть величина постоянная.
Данный процесс, протекающих при постоянной температуре, называют изотермическим. Закон Бойля – Мариотта можно проверить экспериментально.
Опыт. Медленно изменяя объем воздуха в цилиндре при неизменной температуре, наблюдаем за показаниями манометра и убеждаемся, что с уменьшением или увеличением объема давление соответственно увеличивается или уменьшается во столько же раз.
Представим этот процесс графически

Графически зависимость между давлением и объемом газа при постоянной температуре представлен виде гиперболы
Каждому значению температуры соответствует своя кривая (см.
рис.). Эти кривые называют изотермой. Чем выше температура, при
которой происходит процесс, тем выше расположена изотерма
.

В системах координат р,Т и V,Т изотермический процесс изображается прямой, параллельной соответственно оси р или V. Эти прямые изотермы. Параметры V или Р меняются, а Т=const
Слайд 6.
2.Газ находится в условиях, когда постоянным сохраняется его
давление Р. Переход газа из одного состояния в другое,
совершающийся при постоянном давлении, называют изобарным. В
этом случае постоянным будет отношение объема газа к его
температуре, из уравнения Клапейрона-Менделеева следует, что
седовательно, для данной массы газа и постоянном
давлении объем газа прямо пропорционален абсолютной
температуре.
Этот закон был установлен опытным путем в 1802г. французским
физиком Ж.Гей-Люссаком. Формулу закона Гей-Люссака, его
можно представить в виде: ![]()
Этот закон проверим экспериментально с помощью опыта. Для этого цилиндр переменного объема поместим в сосуд с водой, температуру которой можно изменять. При повышении температуры давление воздуха увеличивается. Изменим объем цилиндра так, оставляя давление прежним.
Закон Гей-Люссака можно проиллюстрировать и с помощью колбы с изогнутой трубкой.
В горизонтальной части трубки имеется капелька жидкости, отделяющая газ в колбе от атмосферного воздуха. Если подогревать колбу (даже руками), то капелька жидкости сместится вправо, т.е. объем газа, находящегося в колбе, увеличится, а давление останется равным атмосферному.

рис. а
при m=const.
Графически такой процесс с помощью координатных осей V, Т можно изображается прямой, продолжение которой проходит через начало координат. Называется эта прямая изобара. Угол ее наклона к оси температур зависит от давления газа: чем больше давление, тем меньше угол наклона (см.рис. а).
![]() |
![]() |
| V1 < V2 | Т1 < Т2 |
| рис. б | рис. в |
На диаграммах с координатными осями р,Т или p,V изобары имеют вид прямых, параллельных оси Т или соответственно оси V (см.рис. б и в).
Слайд 7.
3. Рассмотрим поведение газа в условиях, когда постоянным
сохраняется его объем V. Из уравнения Клапейрона –
Менделеева следует, что в этом случае постоянным будет отношение
давления к его температуре:
при постоянном объеме
давление газа прямо пропорционально его абсолютной
температуре.
Этот закон был экспериментально установлен французским ученым Ж.Шарлем. Его можно проверить экспериментально.

Переход газа из одного состояния в другое, совершающийся при постоянном объеме, называют изохорным процессом. График этого процесса строится по уравнению и представляет собой прямую линию, продолжение которой проходит через начало координат; ее называют изохорой. Угол наклона изохоры к оси температур тем больше, чем меньше объем газа. В системах координат p,V и V,Т изохора имеет вид прямой, параллельной оси р или соответственно Т
![]() |
![]() |
|
Т1 < Т2 |
Р1 < Р2 |
Обратите внимание на то, что основные газовые законы (Бойля – Мариотта, Гей-Люссака и Шарля) представляют собой частные случаи уравнения Клапейрона-Менделеева.
Слайд 8. Вывод:

Выполняются ли этим законам реальные газы?
Опыты показывают, что для всех реальных газов наблюдаются отступления от рассмотренных выше газовых законов, которые особенно заметны при больших давлениях и плотностях газа, а также при очень высоких или низких его температурах.
Слайд 9. Оказывается, реальные газы подчиняются рассмотренным законам идеального газа при малых плотностях и при не очень высоких и не слишком низких температурах.
- Закрепление полученных знаний
Слайд 10.
Задача 1. На рисунке изображены две изобары: р1=const u p2=const. Какое давление больше?

Решение. Проведем на графике изотерму. Она пересечет
изобару р2 = сопst при большем значении объема
V2, , изобару p1 = const. При одной и
той же температуре давление газа тем больше, чем меньше его объем,
что следует из закона Бойля – Мариотта:
; значит,
Р2 < Р1.
Задачи решаются с обсуждением у доски
Слайд 11
1. Дан график цикла.
![]() |
1. Какой изопроцесс изображен на каждом участке
графика? 2. Как изменяются параметры? 1>2 T = const, Vv, р^ Изотермическое сжатие |
Проверка задания
- Итоги урока и домашнее задание.
Учитель завершает урок, подводя итоги, выставляет оценки за решение задач. §54, упражнение №4,5 на стр. 264. Простроить графики изопроцессов в других координатных осях.
Используемая литература.
- Касьянов В.А. Учебник физики: 10 класс. Профильный уровень - Дрофа, 2006.
- Сборник задач по физике. Сост. Г.Н. Степанова. - Просвещение, 1998-2002.
- В.А. Буров, Б.С. Зворыкин Демонстрационный эксперимент по физике в старших классах средней школы. – М: Просвещение, 1971




