Использование информационных технологий на уроках алгебры в 9-м классе "Графический способ решения систем уравнений"
Цели урока:
Образовательные:
- научиться применять полученные знания к построению графиков функций и решения систем уравнений (без использования ЭВМ);
- экспериментальным путем (с использованием ПК) научиться
- строить графики функций, графически решать системы уравнений;
- закрепить умение работать с операционной системой Windows, прикладными программами этой операционной системы: для построения графиков функций (например, Advanced Grapher), тестирующей программой (например, My Test), программой создания презентаций, закрепить навыки записи арифметических операций при вводе формул.
Развивающие:
- формировать умения сравнивать, обобщать изучаемые факты;
- развивать у учащихся самостоятельность в мышлении и учебной деятельности;
- повысить эмоциональный настрой учащихся путем привлечения наглядности и технических средств обучения (компьютер).
Воспитательные:
- воспитание коллективизма и ответственности за общую работу;
- воспитание взаимопомощи;
- воспитание аккуратности (при выполнении построения графиков функций).
Оборудование: персональные компьютеры; раздаточный материал; мультимедийный проектор.
План урока:
I. Организационный момент.
II. Историческая справка: ученые, занимавшиеся понятием "функция".
III. Повторение изученной темы.
IV. Выполнение практических заданий на построение графиков функций и решения систем уравнений.
V. Домашнее задание.
VI. Подведение итогов урока.
Ход урока
Приветствие учащихся, вступительное слово учителей алгебры и информатики.
Учитель информатики: Здравствуйте! Мы очень рады приветствовать всех на этом уроке. Сегодня у нас с вами не совсем обычный урок. Мы попробуем объединить знания, полученные на уроках алгебры и информатики и привлечь компьютер к решению математических задач.
В основе нашего урока лежит презентация (Приложение 1). На ваших компьютерах тоже есть презентация, с которой вы будете работать в течение урока. На слайдах отображены задания, с которыми вы сегодня будете работать. Не забывайте, что, работая с программой создания презентаций, переход по слайдам осуществляется щелчком мыши по любому месту слайда или по гиперссылкам.
Учитель алгебры:
Николай Егорович Жуковский сказал:
"В математике есть своя красота, как в живописи и поэзии".
Сегодня на уроке мы с вами в этом постараемся убедиться.
Знаем ли мы способ построения графиков функций? (Да, по контрольным точкам).
Но построение графиков по точкам может занять очень много времени, и рисунок получается не всегда аккуратным. Мы сегодня научимся строить такие графики быстро и качественно.
У каждого из вас на столе лежат карточки с разными выражениями лиц. Определите фигуру, которая соответствует вашему эмоциональному состоянию на начало урока и поставьте около этой фигуры цифру 1. В конце урока вы сделаете то же самое. Это поможет нам определить ваше отношение к такой форме проведения урока.

Отметили? Итак, начнем! Запишите число и тему урока: "Графический способ решения систем уравнений". Учителями объявляются цели урока.
На уроках алгебры и геометрии мы уже изучали понятие "функция",
строили графики, решали системы линейных уравнений, составляли уравнения различных геометрических фигур. Все эти темы, так или иначе, связаны с понятием "функция". Кто же из ученых работал над этим понятием? Об этом мы узнаем, посмотрев презентацию об ученых, которую подготовил ученик вашего класса. Демонстрируется презентация .
(Приложение 2):
Учитель алгебры: Не все темы мы рассматриваем в школьном курсе, но имена этих ученых надо знать.
III. Переходим к следующему этапу нашего урока, на котором повторим изучаемую тему.
Одна группа учащихся будет работать с тестирующей программой, а другая будет выполнять практическое задание. Затем вы поменяетесь местами. Таким образом, каждый из вас получит оценку за тест и сделает одно практическое задание.
Давайте вспомним, как решается графическим способом система уравнений. Отвечает ученик:
Для того чтобы решить систему уравнений графическим способом, надо:
- выразить переменную y через х;
- построить в одной системе координат графики полученных функций;
- определить координаты точек пересечения графиков;
- записать ответ.
На рабочих местах запущена презентация для учащихся. Для работы с тестирующей программой My Test и программой Advanced Grapher на слайдах есть гиперссылки, которые запускают соответствующую программу.
Учитель информатики дает пояснения, как работать с тестирующей программой My Test.
Тест по алгебре по теме: "Графики функций"
| Проанализируйте уравнения. Выберите, какое уравнение соответствует данному графику: |
|
|
y=x^2+1
y=(x-1)^2 y=-x^2+1 y=-x^2-1 |
|
| Проанализируйте уравнения. Выберите, какое уравнение соответствует данному графику: |
|
|
y=x+1
y+1=0 y=1 xy=1 |
|
| Проанализируйте уравнения. Выберите, какое уравнение соответствует данному графику: |
|
|
xy=-1
x+y=2 x^2+y^2=25 xy=1 |
|
| Проанализируйте уравнения. Выберите, какое уравнение соответствует данному графику: |
|
|
|x|-y=0
|y|=x |x|+2=y x=|y| |
|
| Проанализируйте уравнения. Выберите, какое уравнение соответствует данному графику: |
|
|
(x-1)^2+(y-1)^2=1
xy=5 x^2+y^2=1 x^2=y |
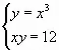
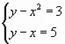
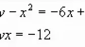
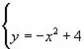
1 задание:
Решите графически системы уравнений:


Один из учеников комментирует решение. Выражает у через х и дает характеристику полученным функциям. Затем каждый самостоятельно выполняет построение графиков и находит решение системы. Правильность выполнения задания проверяется по ходу демонстрации презентации.
Решение первой системы: точки (3,9) и (-1,1)
Решение второй системы: точки (2,6) и (-2,-6)
Учитель алгебры: Выполняя расчеты и строя графики самостоятельно, вы убедились, что требуется много времени и внимания, при этом рисунок получается не всегда аккуратным. Поэтому, начиная со второго задания, мы будем решать системы уравнений с помощью компьютера.
Учащиеся садятся за компьютеры.
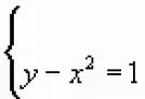
IV. 2 задание:
На чертеже дан график одного из уравнений системы. (Рисунок 8)
Дополните чертеж графиком другого уравнения и найдите решение системы:

Один из учеников комментирует решение. Выражает у через х и анализирует, график какой функции изображен на чертеже, и какой график необходимо достроить.
Учитель информатики дает пояснения, как работать с программой Advanced Grapher для выполнения задания 2 (Открыть файл Рисунок 8. В поле для ввода функции имена переменных вносить английскими буквами, использовать правильную запись арифметических операций. Выполнить необходимое построение.)
Учащиеся находят решение системы. Правильность выполнения задания проверяется по ходу демонстрации презентации.
Решение системы: точки (2,7) и (-1,4) (Рисунок 9)
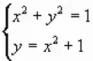
3 задание:
В данную систему впишите уравнение линии, изображенной на чертеже. (Рисунок 10)
Дополните чертеж графиком, уравнение которого уже записано в системе. Укажите решение системы.

Учитель алгебры: что изображено на чертеже?
Ученик: окружность с центром в начале координат и радиусом 1. Значит, в данной системе не достает уравнения окружности:

Тогда система будет выглядеть следующим образом:

Осталось построить график функции ![]()
То есть параболу.
Учитель информатики дает пояснения, как работать с программой Advanced Grapher для выполнения задания 3 (Открыть файл Рисунок 10. Выполнить необходимое построение).
Решение системы: точка (0,1). Рисунок 11
V. Домашнее задание:
Учащимся выдается домашнее задание:
1. На чертеже дан график одного из уравнений системы.

Дополните чертеж графиком другого уравнения и найдите решение системы:
2. В данную систему впишите уравнение линии, изображенной на чертеже. Дополните чертеж графиком, уравнение которого уже записано в системе. Укажите решение системы.

VI. Итог урока:
На сегодняшнем уроке мы с вами повторили, как решаются системы уравнений и строятся графики функций без использования ПК. А также экспериментальным путем (с спользованием ПК) мы научились строить графики функций, графически решать системы уравнений; закрепили умение работать с операционной системой Windows, прикладными программами: Advanced Grapher, тестирующей программой My Test, программой создания презентаций, закрепили навыки записи арифметических операций.
В начале урока мы вам раздали карточки с различными выражениями лиц. Отметьте номером 2, какое у вас эмоциональное состояние на конец урока. Подводится итог.
Успехов! До новых встреч!




