Некоторые математические модели экономики
Рассмотрим те понятия, которые требуются для отражения существенных моментов экономического развития. Фундаментальной единицей экономической системы назовем сектор, в котором производится только один вид продукции и который взаимодействует с другими секторами в форме рыночного обмена продукцией и услугами. Сектор не обязательно является физическим или юридическим лицом.
Считаем, что объемы производства в текущем цикле определяют объемы производства в следующем, т.е. объемы производства носят характер состояния системы. На самом деле объем производства некоторого продукта в каждом цикле зависит, прежде всего, от наличия в этом цикле ресурсов для его производства, а также зависит от решений субъекта деятельности, который присутствует в любой экономической системе. В связи с этим описание закона функционирования любой производственной системы должно содержать не только переменные, соответствующие объемам производства, но и переменные, отражающие динамику ресурсов производства.
Рассмотрим некоторые простейшие математические модели экономики.
1°. Модель В.В. Леонтьева.
Пусть в экономической системе в течение цикла, равного одному году, производится п видов продукции. Для производства продукции каждого вида достаточно тех видов продукции, которые производятся в системе. Такую систему называют самодостаточной.
Производимая в течение цикла продукция используется для производства продукции в этом же цикле, и каждый сектор производит лишь один вид продукции. Известна матрица А прямых затрат. Требуется описать ограничения, которые связывают объемы производства в каждом секторе.
Расход i-го вида продукции, когда в системе производится продукция j-го вида в количестве wj, j =
удовлетворяется конечный спрос si , равен
. Так как в системе производится продукция i-го вида
wi., то выполняется неравенство
wi или в
матричной форме Аw + s
w. В случае, когда остаток от производства w - Aw, называемый чистым выпуском, потребляется
полностью, т.е. s = w - Aw, то вместо полученного выше неравенства имеем
w - Aw= s. (1)
Уравнение (1) называют моделью Леонтьева.
Если учесть расходы продукции на создание новых производственных мощностей, т.е. основных фондов в объеме y, то уравнение (1) заменится соотношением w-Aw-By=s (В - некоторая матрица).
Модель Леонтьева можно использовать для решения следующей задачи: какие должны быть объемы производства, чтобы удовлетворить величину s0 конечного спроса. Решение этой задачи, как легко видеть, сводится к нахождению неотрицательного вектора w , удовлетворяющего системе линейных алгебраических уравнений (E-A) w = s0 .
Отметим, что модель Леонтьева получена в предположениях, которые не всегда выполняются в реальной экономике, что снижает ее практическую значимость.
2°. Задача управления запасами.
Для нормальной работы предприятия необходимо иметь как некоторый запас определенного ресурса, так и некоторый запас собственной продукции. Продукция, полученная в результате некоторого производственного процесса, может идти как на продажу, так и служить ресурсом для других процессов на данном предприятии.
Объемы запасов ресурса и продукции рассматриваются во времени, т.е. представляют собой некоторые динамические процессы. Возникает задача управления этими процессами, чтобы в каждый момент времени запасов было достаточно для удовлетворения спроса, но и не было бы излишков, так как на хранение требуются расходы, а также в запасах и непроданной продукции замораживается капитал, который не приносит прибыль. Значит, запасы также должны быть ограничены разумными пределами.
Дадим математическую модель этой задачи. Процессы будем рассматривать в дискретном времени k. Введем обозначения: х1(k) - запас ресурса на начало k-го
периода; х2(k) - запас продукции на начало k -го периода;
и
- известные начальные запасы ресурса и продукции;
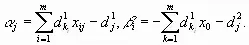
а12 - количество продукции, получаемой из единицы ресурса; а22 - количество продукции, идущее на производство единицы продукции на этом же предприятии; v(k) - количество ресурса, изымаемое со склада k-ом периоде для использования в производстве; u(k) - поставки ресурса в k-ом периоде для использования в (k+1)-ом цикле; s(k) - изымаемое со склада количество продукции в k-ом периоде для удовлетворения спроса потребителей; c1 (x1) - издержки за хранение продукции в количестве x1 в течение одного периода, c2 (x2) - то же самое для ресурса, c3 (v) - издержки, связанные с изъятием со склада сырья в количестве v(k).
Так как из количества v(k) производится а12v(k) и на производство последней идет а22(а12v(k)) продукции этого же предприятия, то размеры запасов ресурса и продукции по периодам описываются системой уравнений:
х1 (k + l)= х1 (k)+u(k)-v(k), (2)
х2 (k + l)= х2 (k)+ а12v(k)- а22а12v(k)-s(k), (3)
х1 (0)=
, х2 (0)=
.
Пусть
= (l - а22 )а12 . Тогда (3) запишется так:
х2 (k + l)= х2 (k)+
v(k)-s(k). (4)
Величины х1(k), х2(k), v(k), u(k), s(k) при всех k неотрицательны и при этом должно выполняться неравенство
v(k)
х1 (k). (5)
Так как спрос s(k) удовлетворяется из объема запасов продукции х2(k) в k-ом цикле, то этих запасов должно быть достаточно, т.е.
s(k)< х2 (k). (6)
Зафиксируем число K и поставим задачу нахождения такой последовательности v(0), v(l), ..., v(K-1), v(K), что все условия (2)-(6) будут выполняться и расходы, связанные с соответствующими изменениями уровней запасов, описываемые функционалом
(7)
будут минимальны.
3°. Динамическое планирование производства.
Как и в п. 20 считаем, что время меняется дискретно, по циклам, и циклом в зависимости от масштабов производства выбирается день, неделя, месяц, квартал, год и т.д. Планировать производство предполагается циклически.
Рассмотрим случай, когда выпускается только один вид продукции в количестве w1. Пусть на срок в T циклов известен спрос на нее и1(k).Требуется
запланировать такие объемы w1(k) выпуска этой продукции, чтобы спрос был удовлетворен, но не было слишком много нереализованной продукции и не было больших колебаний
w1(k)= w1(k+1)- w1(k) выпуска продукции.
Запасы z1(k) продукции подчиняются уравнению z1 (k + 1)= z1 (k)+w1(k)-u1(k). Одной из составляющих целевой функции является
a1
, где а1 - стоимость хранения единицы продукции. Вторая составляющая зависит от
w1(k), которая может быть как положительной, так и отрицательной. Так как любое число представимо в виде разности двух
неотрицательных чисел, то введя переменные
(k)
0 и
(k)
0, можно напиcaть w1 (k + 1)- w1 (k)=
(k) -
(k).
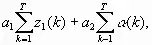
Если целью является ограничение резких наращиваний производства, то следует минимизировать функцию
f(z1,
)=
(8)
где z1 (k) и у
(k) удовлетворяют системе уравнений
z1 (k + 1)= z1 (k)+w1(k)-u1(k).
w1 (k + 1)=w1 (k)+
(k)-
(k). (9)
Если же цель - устранить резкие колебания производства, то задача сводится к минимизации функции
f(z1,
,
) = ![]()
Эта задача относится к классу задач параметрического программирования.
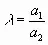
40. Параметрическое программирование.
Рассмотрим задачу (8)-(9). Полагая
, где
измеряет отношение стоимости
увеличения выпуска продукции на единицу к стоимости хранения единицы продукции, рассматриваемая задача сводится к задаче
(8/)
при условиях (9).
Задачей менеджера предприятия является выяснить, какие планы производства отвечают различным
. Эта задача относится к классу так
называемых задач параметрического программирования. Общая постановка задачи параметрического программирования следующая:
(11)
Ax=b, (12)
x
0, (13)
0 <
min
max , (14)
где d' =col(
;
;……
), i =
; A - матрица размера m
n, b =
col(b1 ;…..;bm).
Считаем, что при всех допустимых
решение задачи линейного программирования (11)-(13) существует. Ясно, что в силу
того, что множество допустимых решений является выпуклым многогранником, интервал значений
разбивается на семейство интервалов, причем для всех
в каждом из них оптимальное решение одно и то же. Найдем множество тех
, для которых
х0 (
min) является оптимальным решением. Для этого рассмотрим симплекс-таблицу задачи (11)-(13), соответствующую
х0 (
min). При изменении
в этой таблице будут изменяться только
1 = c1 - z1,…..,
n = cn - zn , а
именно
,
где ![]()
В силу оптимальности х0 (
min) выполняется ![]()
j=
. Поэтому система неравенств
, j=![]()
совместна. Максимальное
, удовлетворяющее (15), определяется как

При этом
min <
1. Если
j для всех j=
, то
1=+
.
Если
1 ![]()
max, то решение задачи закончено. Пусть
<
max и x0(
1 +
) -оптимальное решение для очень малого
> 0. Аналогично, как и выше, подсчитаем соответствующие ему
и рассмотрим систему
неравенств
, j=
,
которая является совместной. Если для всех j, j=
, имеем
1
0 , то для всех
,
1
max, решением является х0(
1).
Если выполняется
, то х0(
1) также
является решением. Если
2 <
max, то процесс продолжаем до тех пор,
когда при всех
,
min
max , будет определено решение.
Конечность этого процесса следует из конечности числа граней области допустимых решений. Числа
1,
2, ... называются критическими значениями параметра
, а x0(
1), x0(
2)), ... называют критическими решениями.
Задания для самостоятельной работы
1. В модели Леонтьева найти все возможные объемы производства w, чтобы удовлетворить величину s0 конечного спроса:
1)
2)
.
2. Записать задачу (9)-(8') в виде задачи параметрического программирования (11)-(14).
3. Решить задачу параметрического программирования с помощью алгоритма, изложенного в п. 4:
min[-2x1+x2+
(-2 x1-4 x2)]
при ограничениях
x1+ x3=4000,
x2+ x4=6000,
x1+
x2+ x5=6000,
x1, x2, x3, x4, x5
0,
1
2.