"Интеллектуальная игра"
Вид урока: урок проверки знаний, умений и навыков по основным разделам программы в 7 классе.
Цели урока:
-
обучающие:
- углубление, обобщение и систематизация знаний по основным разделам программы;
- проверка общего уровня эрудиции;
-
развивающиея:
- развитие алгоритмического и логического мышления, памяти, внимания, само- и взаимоконтроля;
- развитие творческого мышления;
- развитие интереса к предмету;
-
воспитательные:
- воспитание ответственности, коллективизма, уважительного отношения к мнению партнера, формирование умения взаимодействовать и принимать групповые решения;
- воспитание чувства сплоченности и коллективизма.
Оборудование: табло для выставления баллов, колокольчик для подачи сигнала об окончании обсуждения вопросов, наглядный материал, сигнальные карточки, компьютеры.
ХОД УРОКА
Учебно-игровой урок проводится в виде соревнования между двумя командами учеников, на уроке обеспечивается многократная смена видов деятельности, создаются условия для быстрого применения
новых знаний, обеспечивается обратная связь, накопление оценок.
Учащиеся класса разбиваются на 2 команды (по 7-8 человек), выбираются капитаны команд, которые будут исполнять роль организаторов и координировать действия, среди ребят совей подгруппы.
По времени урок разбивается на 4 этапа. Каждый этап ориентирован на проверку знаний учащихся, но специфика этапов разная.
Командная игра.
I ЭТАП - "История ЭВМ".
Этап ориентирован на развитие умения взаимодействовать и принимать групповые решения, на развитие навыков быстрого мышления.
Время проведения этапа - 10 мин. Правильный ответ - 1 балл.
На данном этапе предполагается межкомандное соревнование, обеим командам одновременно задаются вопросы, дается время на их обсуждение. Команда, которая готова первой дать ответ на поставленный
вопрос, поднимает сигнальную карточку. Учитель сразу подает сигнал для окончания обсуждений. Обсуждения вопроса после сигнала не разрешается, нарушение этого правила лишает команду права на ответ. За
правильный ответ команда получает определенное количество баллов. Баллы, заработанные командой, выставляются на заранее подготовленное табло (которое вывешивается на доске).
Время на обсуждение вопроса - 1мин.
Вопросы первого тура
1. С 18 лет он работал над созданием математической машины, которая могла бы производить четыре действия арифметики. Первая работающая модель машины была готова к 1642 году, но ученый продолжал
работу. В 1645 году арифметическая машина, …. , была готова.
О каком знаменитом ученом идет речь, и как называлась созданная им математическая машина?
Ответ: Блез Паскаль, математическая машина называлась "Паскалево колесо".
2. Назовите имя выдающегося средневекового ученого, который описал систему счисления и впервые сформулировал правила выполнения арифметических действий над целыми числами и простыми дробями. От имени, которого произошло слово "Алгоритм".
Ответ: Мухаммед ибн Мусса ал-Хорезми.
3. Важным событием XIХ века было изобретение английского математика …, который вошел в историю как изобретатель первой вычислительной
машины - прообраза современных компьютеров.
Как звали этого математика?
Ответ: Чарльз Беббидж
4. Американский изобретатель Герман Холлерит создал электромеханическую счетную машину-табулятор, в котором использовались перфокарты. Спрос на эту машину был столь велик, что Холлериту пришлось основать собственную форму. Конечно, с течением времени эта фирма претерпела множество изменений и переименований, но она существует и по сегодняшний день. Как называется эта фирма?
- Огромная корпорация.
- Эта фирма впервые использовала магистрально-модульный принцип построения машины.
- Современные компьютеры.
Ответ: IBM
5. Для программирования на машинах в 40 - 50-е годы требовались не только математические способности, но и большая физическая выносливость. Зачем?
Ответ: Для ввода новой программы необходимо было переключить сотни кабелей и тумблеров. Для этого и требовалась физическая выносливость, ведь машины были очень большими по размерам.
6. Кого считают первой программисткой?
Ответ: Августа Ада Лавлейс. Английский математик и первый программист, дочь поэта Джорджа Гордона Байрона?
7. В каком году были созданы первые ЭВМ?
Ответ: в 40-х г.
8. Вычислительные машины, какого поколения ЭВМ изображены на рисунке?

Ответ: ЭВМ второго поколения.
9. Разгадайте ребус:

Ответ: компьютер
10. Разгадайте ребус:

Ответ: информатика
II ЭТАП - "Устройство ЭВМ".
Время проведения этапа - 10 мин. Каждый правильный ответ оценивается в 1 балл.
Каждой команде выдается кроссворд, состоящий из 19 вопросов.
По истечении времени капитаны команд обмениваются кроссвордами, учитель называет правильные ответы. Выставляются баллы.
Вопросы второго тура - решение кроссворда

По горизонтали:
- Устройство, для ввода звуковой информации в компьютер.
- Устройство ввода использующееся для получения компьютерной копии документа.
- Устройство управления курсором, часто используемое в портативных компьютерах.
- Устройство, для резервного копирования больших объемов информации на магнитную ленту.
- "Мозг" компьютера.
- С помощью этого устройства производится считывание и запись информации на дискеты.
- Небольшой, но незаменимый обитатель компьютерного "зоопарка".
- Разъем для подключения к материнской плате различных плат расширения.
- Точечный элемент экрана.
- Единица измерения количества информации.
По вертикали:
- Устройство вывода информации.
- Наиболее распространенное запоминающее устройство большой емкости.
- Поименованная область на диске или другом носителе.
- Устройство, используемое для получения бумажной копии документа.
- Устройство вывода графической информации.
- Файл, содержащий сведения о других файлах и подкаталогах.
- Устройство для связи компьютеров через телефонную сеть.
- Строка, в которой используются специальные символы "*" и "?".
- Графический планшет, предназначенный для ввода информации при помощи специального карандаша.
Ответы:
по горизонтали: микрофон, сканер, трекбол, стример, процессор, дисковод, мышь, слот, пиксел, байт.
по вертикали: монитор, винчестер, файл, принтер, плоттер, каталог, модем, шаблон, дигитайзер.
III ЭТАП - "Индивидуальное тестирование".
Время проведения этапа - 5 мин.
Цель индивидуального тестирования заключается в проверке знаний каждого ученика, умения применять их в непривычной для него обстановке. В процессе проведения определяется личное первенство, как в
каждой команде, так и в классе в целом.
Каждый участник работает за отдельным компьютером. Загружается тестирующая программа. Время тестирования 5 мин. по истечении времени программа выводит количество правильных ответов. Учащийся вправе
выбирать вопросы любого уровня сложности. Его задача - отвечая на вопросы, набрать как можно большее количество баллов за ограниченное время. Количество вопросов на этом этапе должно быть
избыточным.
Примеры вопросов III этапа.
Укажите правильный ответ
1. Windows Commander - это:
а. интегрированный пакет прикладных программ;
б. сервисная программа;
в. системная оболочка пользователя.
2. Клавиши создания текстового файла в Windows Commander:
а. F4;
б. F5;
в. Shift+F4.
3. С помощью клавиши F7 в Windows Commander можно:
а. создать файл;
б. создать каталог;
в. просмотреть файл.
4. При нажатии клавиши F2 в Windows Commander на экран выводится:
а. меню пользователя;
б. меню настройки панели NC;
в. меню функциональных клавиш.
5. Настройка панелей в Windows Commander производится с помощью клавиш:
а. F9;
б. F2;
в. F6.
6. Назначение клавиши F6 в Windows Commander состоит:
а. в копировании файла;
б. в переименовании файла;
в. в перемещении файла;
г. в перемещении группы файлов.
7. Назначение клавиши F8 в Windows Commander состоит:
а. в копировании файла;
б. в уничтожении файла;
в. в создании каталога;
г. в уничтожении каталога;
д. в уничтожении группы файлов.
8. Установите соответствия:
| 1) просмотр;
2) помощь; 3) редактирование; 4) создание текстового файла; |
а) Shift+F4;
b) F3; c) F1; d) F4. |
9. Помощь вызывается нажатием клавиш:
а. Alt+F1;
б. F1;
в. Ctrl+F1.
10. Завершение работы с Windows Commander производится нажатием клавиши:
а. F9;
б. F10;
в. F6
11. Алгоритм - это:
- указание на выполнение действий;
- система правил, описывающая последовательность действий, которые необходимо выполнить для решения задачи;
- процесс выполнения вычислений, приводящих к решению задачи.
12. Свойствами алгоритма являются:
- информативность;
- однозначность;
- массовость;
- оперативность;
- цикличность;
- результативность;
- конечность.
13. Алгоритм может быть задан следующими способами:
- словесным
- графическим
- формульно-словесным
- на алгоритмическом языке
- последовательностью байтов
IV ЭТАП - "Алгоритмическо-программистский".
Командная игра.
Время проведения этапа - 10-15 мин. Правильный ответ - 1 балл.
На данном этапе предполагается межкомандное соревнование, обеим командам одновременно задаются вопросы, дается время на их обсуждение. Команда, которая готова первой дать ответ на поставленный
вопрос, поднимает сигнальную карточку. Учитель сразу подает сигнал для окончания обсуждений. Обсуждения вопроса после сигнала не разрешается, нарушение этого правила лишает команду права на ответ. За
правильный ответ команда получает определенное количество баллов. Время на обсуждение вопроса - 1мин. На данном этапе предполагается от 7-10 вопросов различной степени сложности.
Вопросы четвертого тура
1. Для данного справа алгоритма (рис. 6)
- укажите тип данного алгоритма.
- укажите пропущенную команду, если в результате работы было получено 3.
2. Для данного слева алгоритма (рис. 7)
- укажите, какая форма записи ветвления представлена на блок-схеме.
- выполните счет по блок-схеме для чисел 15 и 5.

3. Для данного справа алгоритма (рис.8)
- укажите, какая форма записи ветвления представлена на блок-схеме.
- выполните счет по блок-схеме для чисел 75 и 35.
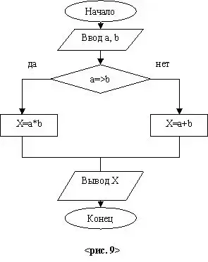
4. При исходных данных а = 6, b = 4 определите результат выполнения алгоритма, изображенного в виде блок-схемы (рис. 9)

Для данного справа алгоритма (рис. 10)
- укажите тип данного алгоритма;
- выполните счет по блок-схеме для чисел: 5, 10, 25.

6. Для данного слева алгоритма (рис. 11)
1. На вход алгоритма подается число 75. Выполните алгоритм и дайте ответ.
2. На вход алгоритма подается число 8.
Выполните алгоритм и дайте ответ.
1. Какой оператор понадобится для выбора цвета холста (фона), на котором будет ваш рисунок?
Ответ: COLOR C1, C2 C1 - это число, обозначающее цвет, который будет использоваться для окраски букв на экране, если вы решите подписать свой рисунок. С2 - это число, обозначающее цвет, выбранный для окраски холста (фона).
2. Какой оператор переводит монитор в текстовой режим?
Ответ: SCREEN 0 - задает текстовой режим работы монитора
3. Какие операторы переводят монитор в графический режим?
Ответ: SCREEN 1 - задает графический режим с разрешением (320х200). SCREEN 9 - задает графический режим с разрешением (640х350)
4. Как запустить программу на исполнение?
Ответ: Shift + F5
Назовите оператор, который устанавливает новую систему координат.
Ответ: WINDOW (XA, YA) - (XB,YB) - оператор устанавливает новую систему координат.
5. Каким оператором осуществляется вывод на экран точки с координатами (X,Y) цветом С?
Ответ: PSET (X, Y), C
6. Какой оператор осуществляет стирание точки с экрана?
Ответ: PRESET (X,Y)
7. Укажите ошибки, допущенные в программе:
CLS
SCREEN 1
COLOR 1, 0
WINDOW (0, 0) - (640, 350)
LАNE (80, 80) - (80, 280), 1
LАNE (80, 280) - (220, 210), 1
LАNE (220, 210) - (80, 180), 1
8. С помощью какого оператора осуществляется вывод окружностей на экран?
Ответ: CIRCLE (X,Y), R, C где: (X,Y) - координаты центра окружности; R - радиус окружности; C - цвет окружности.
9. Какой оператор используется для вычерчивания эллипсов (овалов)?
Ответ: CIRCLE (X,Y), R, C, К где: (X,Y) - координаты центра окружности; R - радиус окружности; C - цвет окружности. К - коэффициент сжатия этой окружности.
10. Укажите ошибки, допущенные в программе:
SCREEN 9
WINDOW (0,0) - (640,350)
CIRCL (150,140), 3 ' окружность
CIRCLE (150,140), 40, 2, 2 ' эллипс K>1
CIRCLE (150,140), 55, 1,,,0.3 ' эллипс K<1
VI ЭТАП - "Заключительный".
Время проведения этапа - 6-8 мин.
Подсчет баллов, подведение итогов, вручение наград.
Мнения участников игры.