Урок математики в 9-м классе по теме "Решение систем уравнений второй степени способом сложения"
Цели урока.
1. Образовательные:
- показать решение систем уравнений второй степени способом сложения;
- закрепить знание решения систем уравнений графическим способом и способом подстановки;
- учить выбирать наиболее рациональный способ решения данной системы;
2. Развивающие:
- развитие мышления, внимания и памяти учащихся;
- развитие навыков самоконтроля;
- развитие математической речи;
3. Воспитательные:
- воспитание активности, умения общаться, общей культуры.
Структура урока
I этап – мотивационно-ориентировочный: разъяснение целей учебной деятельности.
II этап - подготовительный: актуализация прежних знаний.
III этап – основной:
- знакомство с новой темой;
- выполнение заданий по теме.
IV этап – заключительный:
- задание на дом;
- подведение итогов.
Оборудование урока
Компьютер; проектор; экран; доска; карточки с заданиями; учебник «Алгебра,9» (авторы: Ю.Н. Макарычев, Н.Г. Миндюк, К.И. Нешков, С.Б.Суворова).
Подготовка к уроку
На доске записаны число, тема урока, домашнее задание. На первой парте лежат карточки с заданиями для индивидуальной работы, листочки для записи решения заданий. Перед уроком включается компьютер. Заранее готовятся слайды с устными упражнениями. Если кабинет не оснащен компьютером, экраном и проектором, то задания для устной работы записываются на доске.
Ход урока
1. Организационный момент
Учитель. Здравствуйте, садитесь. Тема нашего урока «Решение систем уравнений второй степени способом сложения».
2. Проверка домашней работы.
Учитель. Прежде, чем мы будем знакомиться с темой урока, проверим правильность выполнения домашней работы (№ 288(а, в), 263(а, б), 260).
- Один учащийся вызывается к доске для решения № 260 из домашней работы;
- Двое учащихся выполняют задания индивидуально по карточкам;
Карточка № 1
1. Изобразив схематически графики уравнений, определить, сколько решений имеет система уравнений:

2. Решить неравенство:
x2 < 4.
Карточка № 2
1.Решить систему способом подстановки:

2. Решить неравенство:
x2 – 6x < 0.
- С остальными учащимися проводится устная работа.
Задания для устной работы:
1. Сколько решений имеет система:

Ответ. а) Нет решений; б) 2 решения.
2. Назвать уравнения системы, решение которой изображено на рисунке:

Ответ: x1≈-1,8; y1≈- 5,8; x2≈1,8; y2≈5,8;
Ответ:

3. Решить систему:

Ответ. а) (2;7); б) (5;2).
Учитель. Откройте тетради, сверьте решение системы № 263 (а) из домашней работы с решением на доске и найдите ошибку.
№ 263 (а)


y 4 -18 y² +81 = 0,
y² = m
m² - 18m +81 = 0
D = 324-324= 0
m = 18 / 2 = 9
y² = 9
y = 3,

Ответ. Произошла потеря корня при решении неполного квадратного уравнения.
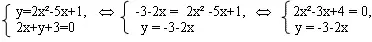
Учитель. А теперь проверим решение № 260, выполненное учащимся на доске.
Решение:

2x²-3x+4 = 0,
D = 9-32 = -23 < 0 => нет корней => система не имеет решений => нет точек пересечения окружности и прямой.
3. Знакомство с новым материалом
Учитель. Запишите в тетрадях число, тему урока и следующую систему уравнений второй степени

Решите ее разными способами, начните с графического.
Первый учащийся решает графическим способом, комментируя решение.
Решение:

1) х ≠ -1
|
x |
-5 |
-4 |
-3 |
-2 |
0 |
1 |
2 |
3 |
4 |
5 |
|
y |
-2,5 |
-3 |
-4 |
-7 |
5 |
2 |
1 |
0,5 |
0,2 |
0 |
2)х ≠ 1
|
x |
-7 |
-5 |
-3 |
-2 |
0 |
2 |
3 |
4 |
5 |
6 |
7 |
|
y |
-2,5 |
-3 |
-4 |
-5 |
-13 |
11 |
5 |
3 |
2 |
1,4 |
1 |

Ответ: x ≈-3, y≈- 4.
Учитель. На прошлых уроках мы говорили о достоинствах графического способа (графики элементарных функций легко построить, координаты точек пересечения являются решениями данной системы). Удобен ли для данной системы этот способ? Ответ обоснуйте.
Ответ. Нет, на построение потрачено много времени, так как функции получились неэлементарные. Нет однозначного ответа на вопрос о количестве решений.
Учитель. Решите систему способом подстановки.
Второй учащийся решает данную систему способом подстановки, комментируя решение.
Решение:




Ответ: (-3,-4)
Учитель.Этот способ дает точное решение, но решение громоздкое, в результате подстановки получилось дробное уравнение.
В 7-ом классе помимо графического способа и способа подстановки вы решали системы линейных уравнений способом сложения. Вспомним этапы решения систем способом сложения (на дом было дано задание: вспомнить этапы решения систем способом сложения).
Ответ. При необходимости умножить почленно уравнения системы на число так, чтобы коэффициенты при одной из переменных стали противоположными числами; сложить почленно левые и правые части уравнений системы; решить полученное уравнение с одной переменной; найти соответствующее значение второй переменной. Попробуйте применить этот способ для данной системы.
Третий учащийся решает данную систему способом сложения, комментируя решение.
Решение:


Ответ: (-3; - 4).
Учитель. Назовите достоинства этого способа.
Ответ. Дает точное решение, нет трудоемких преобразований, после сложения получается линейное уравнение, которое легко решить.
Учитель. Любую ли систему можно решить способом сложения?
Ответ. Нет, только в отдельных случаях, если уравнения системы однотипны и отличаются друг от друга коэффициентами.
Если учащиеся не назовут ответ на последний вопрос, то задать дополнительный вопрос: Всегда ли при почленном сложении уравнений системы исчезает одна из переменных?
Вывод: Для каждой системы необходимо выбирать свой рациональный способ.
4. Закрепление изученного материала
Учитель. Решите из учебника № 262 (а).
Ребята решают систему.
Решение:




Ответ: (4,1), (4,-1), (- 4,1), (- 4,- 1).
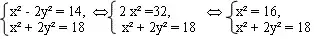
Учитель. Иногда при решении систем приходится использовать два способа одновременно. Выполним из учебника № 262 (б).
Ребята решают систему.
Решение:



Ответ: (8,6), (-7, -9).
5. Домашнее задание
Учитель. Откройте дневники и запишите задание на дом: выполнить № 263(в), 310(б), 302(д), 288(б, г).
6. Подведение итогов урока
Учитель. Еще раз вспомним, какие способы систем уравнений второй степени существуют; назовите этапы решения систем уравнений.
Выставляются оценки за урок.
Спасибо за урок. До свидания.
Контролирующая самостоятельная работа
(для следующего урока)
Решить системы способом сложения:
|
I вариант
|
I вариант
|


