Урок алгебры в 8-м классе по теме "Умножение и деление алгебраических дробей"
Цель: Научиться выполнять действия умножения и деления алгебраических дробей.
Форма урока: урок изучения нового материала.
Метод обучения: проблемный, с самостоятельным поиском решения.
Оборудование: Компьютер, проектор, раздаточный материал по уроку, таблица.
Ход урока
Урок проводится с использованием компьютерной презентации. (Приложение 1)
Ι. Организация урока.
1. Подготовка технической части.
2. Карточки для работы в парах и самостоятельной работы.
ΙΙ. Актуализация опорных знаний с целью подготовки к изучению новой темы.
Устно:
(Ответы выводятся с помощью компьютера.)
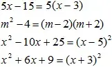
1. Разложить на множители:

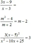
2. Сократить дробь:

3. Умножить дроби:

- Как называются эти числа? (Взаимообратные числа)
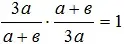
Найти число, обратное числу ![]()

Какие два числа называются взаимообратными? (Два числа называются взаимообратными, если их произведение равно 1.)
Найти дробь обратную:
![]()
![]()
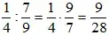
Разделить дроби:
![]()
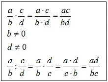
Проговариваем правила умножения и деления обыкновенных дробей. Плакат с правилами размещен на доске.

ΙΙΙ. Новая тема
Обращаясь к плакату, учитель говорит: a, b, c, d - в данном случае числа. А если это будут алгебраические выражения, как называются такие дроби? (Алгебраические дроби)
Правила их умножения и деления остаются теми же самыми.
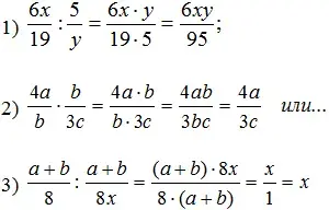
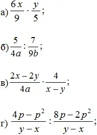
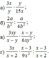
Выполнить действия:
Первый и второй пример самостоятельно, с последующей записью решения учащимися на доске. Решение третьего примера учитель показывает на доске.

ΙV. Закрепление
1) Работа по задачнику: № 5.2 (б, в), № 5.11 (а, б). Стр.32
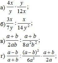
2) Работа в парах по карточкам:

(Решения и ответы отражены через проектор.)
V. Итог урока
Самостоятельная работа.
Выполнить умножение или деление:
|
Ι Вариант |
ΙΙ Вариант |
|
|
|
|
Ученики сдают тетради с работами.
VI. Домашнее задание
№ 5.8; № 5.10; № 5.13(а, б).

