Урок алгебры по теме "Освобождение от иррациональности в знаменателе дроби"
Цели урока:
- Повторить преобразование выражений, содержащих квадратный корень, с использованием формул сокращенного умножения.
- Выработать алгоритм освобождения от иррациональности в знаменателе дроби.
- Сформировать у учащихся навыки применения этого алгоритма при преобразовании выражений, содержащих иррациональность в знаменателе дроби.
Ход урока
1. Организационный момент.
2. Устная работа.
Задание 1. Объясните, почему верно равенство:

3. Изучение нового материала.
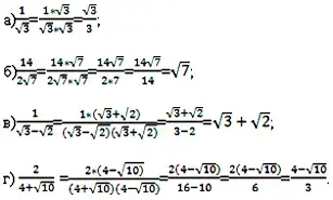
Задача. Преобразовать алгебраическое выражение к такому виду, чтобы знаменатель дроби не содержал знаков квадратных корней:
![]()
Решение.
Используем основное свойство дроби, то есть подбираем такой множитель, чтобы при умножении на него в знаменателе дроби не оказалось квадратных корней.

Если знаменатель алгебраической дроби содержит знак квадратного корня, то говорят, что в знаменателе содержится иррациональность. Преобразование выражения к такому виду, чтобы в знаменателе дроби не оказалось знаков квадратных корней, называют освобождением от иррациональности в знаменателе.
Алгоритм освобождения от иррациональности в знаменателе дроби:
- Разложить знаменатель дроби на множители.
- Если знаменатель имеет вид
или содержит множитель
, то числитель и знаменатель следует умножить на
. Если знаменатель имеет вид
или
или содержит множитель такого вида, то числитель и знаменатель дроби следует умножить
соответственно на
или на
. - Преобразовать числитель и знаменатель дроби , если возможно, то сократить полученную дробь.
Выражения вида
и
называются сопряженными.
4. Закрепление нового материала.
Используя алгоритм освобождения от иррациональности в знаменателе дроби решить следующие задания.
Задание 1. Освободите выражение от иррациональности в знаменателе.

Умение освобождаться от иррациональности в знаменателе во многих случаях облегчает тождественные преобразования выражений.
Задание 3. Упростить выражение.
![]()
Решение.

Ответ: ![]()
Решить по учебнику задание 15.74 (а, б), 15.98 (а, б).
5. Итог урока.
Д /з. п. 15 (стр. 74-75), № 15.39-15.46, 15.74 (в, г), 15.98 (в, г).