Абсолютно упругий удар
Цель:
- ввести понятие удара, квалифицировать удар по результату взаимодействия, получить математические зависимости для описания явления;
- формирование навыков критического мышления на основе проблемного изложения материала;
- развитие в учащихся инициативности, умения вести дискуссию на научные темы.
Методы познавательной деятельности учащихся: репродуктивный, частично – поисковый, поисковый.
Форма урока: проблемное изложение нового материала.
Ход урока
1. Организационный момент целеполагание, определение домашнего задания.
Домашнее задание: §36, п.2 задачи № 1, 3, 5 или № 3, 4, 5 ( по выбору), получить математическую зависимость для тел разной массы, повторить законы сохранения и условия их применения по таблице.
2. Актуализация имеющихся ранее знаний – подведение учащихся к изучению новой темы.
На предыдущем уроке в качестве домашнего задания – заполнение таблицы, т.е. ребенок должен самостоятельно предпринять попытку обобщения теоретических знаний. Обсудим полученный результат.

3. Решение качественных задач
1. Два шарика, стальной и алюминиевый, одинакового объема, падают с одной и той же высоты. Сравните их импульсы в момент падения на землю. (Импульс стального больше, так как больше его масса.)
2. Скорость легкового автомобиля в 2 раза больше скорости грузового, а масса – в 4 раза меньше массы грузового автомобиля. Сравните модули импульсов автомобилей. (Импульс легкового автомобиля меньше в два раза.)
3. Объяснение нового материала
Попробуйте объяснить секрет циркового фокуса, когда сокрушительный удар молота по массивной наковальне не наносит вреда человеку, на груди которого установлена наковальня? Все дело очевидно, в эффекте, производимом ударом.
Постановка проблемы:
Опыт 1 ( взаимодействия шариков одинаковой массы)

Вопрос: опишите наблюдаемое явление
Объяснение увиденного (выдвижение гипотезы) : в результате взаимодействия тела обмениваются импульсами. Причина – упругая деформация взаимодействующих тел.
![]()
Тела разлетаются со скоростями, величина и направление которых определяются двумя условиями: сохранением полной механической энергии и сохранением полного импульса системы тел. (данный вывод может быть получен в результате обсуждения классом).
Получим математические зависимости (сформируем теорию):
Будем предполагать, что шары образуют замкнутую систему тел или, что внешние силы, приложенные к шарам, уравновешивают друг друга. Кроме того, будем считать, что вращение шаров отсутствует.
Обозначим m1 и m2 – массы шаров, v1 и v2 – скорости шаров до взаимодействия, v1’ и v2’ – скорости шаров после взаимодействия.
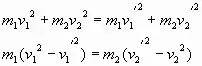
Запишем законы сохранения энергии и импульса для общего случая ( т.е. ни одна из скоростей не равна нулю).
( закон сохранения полной механической энергии)
“ОХ”
из закона сохранения проекции импульса
Решим систему уравнений:
распишем как разность квадратов
разделим одно уравнение на другое учитывая
условия поставленной задачи
v1 + v1’= v2’ + v2 , а для нашего случая v1=v2’ (получение данной зависимости можно предоставить ученику у доски)
Направление скоростей одинаковое и их величины равны.
Теперь рассмотрим другой случай, когда взаимодействую тела разной массы.
Опыт 2.
Вывод: скорости тел после взаимодействия зависят от соотношения масс тел. ( получение математической зависимости можно дать в качестве домашнего задания и рассмотреть в начале следующего урока)
Применение: определение массы элементарных частиц при их взаимодействии.
Закрепление: рассмотреть опыт с тремя шарами равной массы, объяснить наблюдаемое явление с точки зрения законов сохранения и теории абсолютного удара.
