Урок математики в 9-м классе по теме "Решение уравнений и систем уравнений"
Цель: Обобщить и повторить методы решения квадратных уравнений и уравнений, сводящихся к ним; углубить учебный материал.
Задачи:
- Закрепить умение решать уравнения и системы;
- Развивать память, логическое мышление;
- Воспитывать уважение друг к другу, доброжелательность.
Ход занятия
1. Проверка теоретического материала.
На экран проецируется презентация.
- Сегодня мы будем закреплять теоретические знания и практические умения по теме “Уравнения и системы уравнений”
Прежде, чем мы приступим к работе, повторим, что вы знаете по данной теме?
1. Какие уравнения называются квадратными? Слайд 4 (Определение кв. уравнения)
2. Является ли квадратным каждое из следующих уравнений:
а) 5х2 +4х-6 = 0;
б)
х2 -3х-9 = 0;
в) х3+х2-8 = 0;
г) 3х+х2 = 0;
д) 2х-
+3 = 0.
3. Какие виды квадратных уравнений вам известны?
Слайд 7 (классификация)
4. Заполните таблицу, распределив уравнения по видам.
| Уравнение | Полное | Неполное | Приведенное |
| 7х2 +9х+2=0 | |||
| 6x2+x=0 | |||
| ax2 –1=0 | |||
| y2 –3у–4=0 |
5. Может ли уравнение вида ах2+с=0 не иметь действительных корней?
6. Решите уравнения:
а)-2х2–18=0;
б)5х2+20=0;
в)5х2–80=0;
г) –х2+9=0.
(вывод)
7. Какое выражение называется дискриминантом?

Как по дискриминанту определить, сколько корней имеет квадратное уравнение?
Слайд 13 (Дискриминант)
8. Выберите формулы для нахождения корней квадратного уравнения.
Слайд 15 (Методы решений квадратных уравнений)
2. Проверка практического материала.
Решите квадратное уравнение: а) х2-7х -18=0;
Уравнение, приводимое к квадратному. б) (х2-10)2- 3(х2-10)-4=0;
Решаем уравнения с помощью введения вспомогательной переменной
- Какие уравнения называются биквадратными?
- Как его решить? в) х4-5х2-36=0
Слайд 17 (Методы решений уравнений, сводящимся к квадратным)
- Что называется системой уравнений?
- Что значит решить систему уравнений?
- Какие способы решения систем уравнений вы знаете?
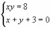
а) Графический способ решения систем уравнения. ![]()
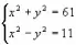
б) Решение систем уравнений способом подстановки. ![]()
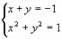
в) Решение систем уравнений способом сложения. ![]()
3. Самостоятельная работа.
Для каждого учащего приготовлены карточки с уравнениями.
Каждое уравнение со своим номером написано на отдельной карточке, и все уравнения разложены возле доски в соответствии с классификацией.
Ученики подходят к доске и выбирают карточку с уравнение, возвращаются на свое место, записывают номер выбранного уравнения и решают это уравнение в своей тетради. После того, как уравнение решено, ученик проверяет ответ. Если уравнение решено верно, то берет следующее уравнение. Если уравнение решено неверно, учитель консультирует ученика. После этой консультации ученик может повторно попытаться решить его или может поменять это уравнение на другое.
Нормативы:
а) свыше 6 баллов – “5”;
б) от 4,5 до 6 баллов – “4”;
в) от 3 до 4,5 баллов – “3”.
Классификация заданий (см. Приложение):
| Решить уравнение, используя теорему Виета:
0.5 балла №1-20 |
Решить неполное квадратное уравнение:
0, 5 балла №21-40 |
Решить уравнение через дискриминант:
1 балл №41-60 |
Решить уравнение, предварительно упростив:
1 балл №61-80 |
Решить уравнение, введя вспомогательную
переменную:
1,5 балла №81-90 |
Решить биквадратное уравнение:
1,5 балла №91-100 |
Решить систему уравнений:
2 балла |
4. Немного истории.
Немецкий математик Лейбниц говорил: “Кто хочет ограничиться настоящим без знания прошлого, тот никогда его не поймет”.
а) Квадратные уравнения в Индии.
Задачи на квадратные уравнения встречаются уже в 449 году. В древней Индии были распространены публичные соревнования в решении трудных задач. Часто они были составлены в стихотворной форме.
Вот одна из задач знаменитого индийского математика XII века Бхаскара:
Обезьянок резвых стая
Всласть поевши, развлекалась.
Их в квадрате часть восьмая
На поляне забавлялась,
А двенадцать по лианам
Стали прыгать, повисая…
Сколько ж было обезьянок,
Ты скажи мне в этой стае?
Решение:
(x/8)2+12=x;
x2-64х +768=0;
D=1024;
x1=16, x2=48
б) Квадратные уравнения в Древнем Вавилоне.
Квадратные уравнения умели решать вавилоняне около 2000 лет до н. э. Отдельные виды квадратных уравнений решали древнегреческие математики, сводя их решения к геометрическим построениям.
Применяя современную алгебраическую запись, можно сказать, что в их клинописных текстах встречаются, кроме неполных, и такие, например, полные квадратные уравнения
x2+x=3/4
x2-х=14*1/2
в) Квадратные уравнения в Европе.
Лишь в XVII веке благодаря трудам Жиррара, Декарта, Ньютона и других ученых, способ решения квадратных уравнений принимает современный вид.
V. Подведение итогов.
VI. Домашнее задание.