Ментол как представитель одноатомных спиртов
Тема урока: «Ментол, как представитель одноатомных спиртов».
Цели урока:
- Познакомить учащихся с одним из представителей одноатомных алициклических спиртов, широко известным как лекарственное и косметическое средство.
- Продолжить формирование мировоззренческих знаний: умение предсказывать и характеризовать свойства спиртов на основе их состава и строения (доказательства причинно-следственной зависимости). Углубить знания и умения творческого сопоставления состава и свойств отдельных классов органических соединений.
- Умение записывать уравнения известных учащимся химических реакций, когда в качестве представителей классов приводятся повседневно используемые ими вещества.
Рекомендуется проводить урок после изучения спиртов, карбоновых кислот и сложных эфиров.
На столе учителя представлены товары, содержащие экстракт мяты и ментол - зубные пасты, жевательные резинки, пастилки, брикеты и пакетики с листьями мяты перечной. Можно подготовить стенд с
лекарственными средствами, содержащими мяту и ментол: «Корвалол», мятные таблетки и мятная вода, зубные капли, ментоловый карандаш, «Бороментол», таблетки «Пектусин», капли «Эвкатол», мазь «Гевкамен»
и «Эфкамон»,, аэрозоль «Камфомен», «Ингакамф», капли Вотчала и Зеленина, «Валидол». Описание этих средств можно взять в справочнике «Лекарственные средства» под редакцией М.Д. Машковского.
Учащиеся по запаху высказывают предположение о содержании в образцах лекарственных средств ментола. Кроме запаха им знаком и вкус ментола - вкус свежести и прохлады.
Ход урока
1. Сообщение учащихся о получении и применении ментола.
Ментол является главным компонентом эфирного масла мяты перечной, из которой он и выделяется. Ментол также получают синтетическим путем.
Собранные во время цветения листья многолетника мяты перечной (Mentha piperita L) содержат не менее 1 % эфирного масла, в состав которого входит ментол. В эфирном масле содержится около 50 % ментола
и до 4 - 9 % эфиров ментола с уксусной и валериановой кислотами. Эфирное масло - легко подвижная прозрачная жидкость, бесцветная или слегка желтоватая с запахом мяты и жгучим холодящим вкусом.
Препараты из листьев мяты благодаря содержанию ментола при приеме внутрь оказывают спазмолитическое и легкое успокаивающее и желчегонное действие, при нанесении на слизистые оболочки обладают
умеренным обезболивающим эффектом. Используются как освежающее и антисептическое средство в составе полосканий, зубных порошков, паст (в парфюмерии и пищевой промышленности). Препараты мяты хорошо
помогают при тошноте, рвоте, спазмах гладких мышц.
При нанесении на кожу и слизистые оболочки ментол вызывает раздражение нервных окончаний, сопровождающееся ощущением холода, легкого раздражения и покалывания, оказывает местное обезболивающее и
антисептическое действие. Помогает при легких формах стенокардии, так как может рефлекторно (в результате раздражения рецепторов слизистой оболочки полости рта) вызывает расширении коронарных
сосудов сердца.
Он входит в состав сосудорасширяющего средства валидол.
2. Подготовка к восприятию нового материала.
Учащимся предлагаются вопросы на кодопленке (фронтальный опрос).
- Установите соответствие между формулой соединения и его классом.
| ФОРМУЛА: | КЛАСС: |
![]() |
А) сложный эфир
Б) карбоновая кислота В) фенол Г) спирт |
- Установите соответствие между названием спирта и его типом.
ФОРМУЛА: ТИП:
1) 2 - метилбутанол - 2 А) первичный, алифатический, одноатомный
2) гексанол - 1 Б) вторичный, алифатический, одноатомный
3) 2 - метилциклопентанол - 1 В) первичный, алифатический, двухатомный
4) бутандиол - 1, 4 Г) вторичный, алициклический, одноатомный
- Установите соответствие между формулой и названием сложного эфира.
| ФОРМУЛА: | НАЗВАНИЕ: |
![]() |
А) метиловый эфир пропионовой кислоты
Б) этиловый эфир уксусной кислоты В) фениловый эфир муравьиной кислоты Г) пропиловый эфир муравьиной кислоты |
К реакциям гидрирования относят реакцию, уравнение которой:

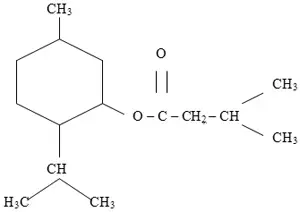
3. Состав и строение ментола можно представить следующей формулой

Учащимся предлагается доказать, что ментол является спиртом (есть функциональная гидроксильная группа, соединенная с углеводородным радикалом), и охарактеризовать ментол как спирт.
Учащиеся делают вывод, что ментол является одноатомным, вторичным алициклическим спиртом.
Ментолу можно дать название по систематической номенклатуре. Для этого цикл нужно пронумеровать так, чтобы гидроксильная группа получила наименьший номер: 2 - изопропил - 5 - метилциклогексанол -
1.
4. Получение и применение ментола (сообщения учащихся).
Один из способов выделения ментола получил название вымораживания. Метод вымораживания основан на том, что эфирное масло мяты подвергают перегонке и фракцию, кипящую в пределах 208 - 121 ºС и
богатую ментолом, вымораживают с помощью специальной охладительной смеси. Затем центрифугируют или фильтруют. После перекристаллизации получается чистый кристаллический ментол.
Ментол представляет собой бесцветные кристаллы с сильным запахом перечной мяты и холодящим вкусом. Очень мало растворим в воде, очень легко растворим в 95 % этаноле, эфире, уксусной кислоте, легко -
в жирных маслах.
Дополнение учителя.
Ментол получают также синтетическим путем. Наибольшее распространение получил метод гидрирования тимола в присутствии катализаторов (никеля или платины):
ТИМОЛ
![]()

Напишите формулу тимола:

В медицине ментол применяется в составе валидола. Валидол - это 25 - 30 % раствор ментола в ментиловом эфире изовалериановой кислоты.

Формула изовалериановой кислоты
Назовите - эту кислоту по систематической номенклатуре (3 - метилбутановая), составьте формулу эфира.

Итак, валидол - это смесь

Валидол - прозрачная, бесцветная, маслянистая жидкость с запахом ментола. Легко растворим в этаноле, не растворим в воде.
Применяется как спазмолитическое (сосудорасширяющее) средство при стенокардии, неврозах; 5 - 10 % спиртовой раствор применяется для успокоения кожного зуда. В аптеках бывает в виде таблеток и
жидкости, которую назначают в каплях на сахаре.
Лекарства принято проверять на подлинность действующего вещества и его количественное содержание. При действии ванилина в концентрированной серной кислоте проявляется малиново - красное окрашивание
(ментол).
Для количественного определения препарата валидол используют метод омыления эфирной группы. Для этого валидол нагревают со спиртовым раствором гидроксида натрия, избыток которого оттитровывается
хлороводородной кислотой.
Напишите уравнение реакции ментилового эфира изовалериановой кислоты со спиртовым раствором гидроксида натрия.


Или в молекулярном виде:
![]()
Задача.
Определите массу валидола, если для его количественного определения использовали 100 г 10% ного раствора гидроксида натрия. На титрование непрореагировавшей щелочи пошло 54,8 г 10%-ного раствора соляной кислоты.
Решение.
1. Рассчитаем количества веществ растворенных гидроксида натрия и соляной кислоты:
а) m(NaOH) = w(NaOH) * m(раствора); m(NaOH) = 0,1 * 100 г. = 10 г.
n(NaOH) = m(NaOH) / M(NaOH); n(NaOH) = 10 / 40 моль = 0, 25 моль
в) m(HCl) = w(HCl) * m(раствора); m (HCl) = 54,8 * 0,1 г. = 5,48 г.
n(HCl) = m(HCl) / M(HCl) n(HCl) = 5,48 / 36,5 моль = 0,15 моль
2. Нейтрализация избытка щелочи
х = 0,15 моль - количество вещества непрореагировавшего
с эфиром гидроксида натрия
0,25 моль - 0,15 моль = 0,1 моль - щелочь, израсходованная
в реакции омыления эфира
3. Реакция омыления эфира
у = 0,1 моль - количество вещества эфира в пробе валидола
4. Валидол представляет смесь ментола (
) и ментилового эфира изовалериановой кислоты (
) в мольном соотношении
1:1.
5. Рассчитаем массы ментола и ментилового эфира изовалериановой кислоты:
![]()
Ответ: масса валидола 39,6 г.

