Преобразование графиков функций
Цели урока:
- Обобщить, систематизировать знания, полученные на предыдущих уроках по теме: “Построение и чтение графиков”.
- Проконтролировать степень усвоения знаний, умений, навыков при работе с приложением Microsoft Office – PowerPoint..
- Установление межпредметных связей в процессе применения математических знаний при работе с компьютерной графикой.
Задачи урока:
- Развитие у учащихся навыков построения и чтения графиков функций.
- Развитие познавательной активности, интереса к предметам, творческой активности.
- Развитие связей между предметами, способствующих углублению знаний учащихся.
- Формирование общеучебных навыков: внимания, аккуратности, самоконтроля.
Тип урока: Урок закрепления и совершенствования знаний.
Техническое оснащение урока: Компьютеры IBM PS/2, программное обеспечение – приложение Microsoft Office – PowerPoint, карточки с заданиями, доска, маркеры, кодоскоп, набор кодоплёнок.
Ход урока
1. Организационно-психологический момент.
2. Постановка темы, цели, задач урока перед учащимися.
Научиться применять математические знания при работе с компьютерной графикой, работая с приложением Microsoft Office – PowerPoint. Углубление и совершенствование знаний учащихся по математике и информатике.
3. Математика.
- Сформулировать правила построения графиков функций:

;
- Для каждых из следующих функций объясните какими преобразованиями можно построить график функции:
;




(Одновременно один ученик работает у кодоскопа и показывает остальным учащимся преобразования).
- Работа через кодоскоп, с готовыми графиками. Необходимо записать уравнения для каждого графика и сформулировать свойства:

Ответы:
а) ![]()
б) ![]()
в) ![]()
4. Опрос учащихся по информатике.
Сейчас мы с вами обсудим вопросы, касающиеся информатики.
Вам на этом уроке нужно составить презентацию по теме: “Преобразование графиков функций”.
Повторим с вами то, что касается создания презентации. Вы все работали с приложением Microsoft Office – Power Point, которое является наиболее эффективным и универсальным средством для подготовки презентаций. Оно позволяет создать качественную презентацию с использованием графической информации, слайдов, звука, видеоклипов, эффектов анимации и т.д. Вы знаете, что презентация состоит из слайдов. Ответьте на вопрос:
- Что такое слайд? (Слайд – фрагмент презентации, в пределах которого производится работа над её объектами).
- Какие параметры объекта слайд вы знаете? (Вид фона, цвет фона, вид перехода, звук, эффекты анимации).
- Скажите, как мне создать новый слайд? (На панели инструментов выбрать создать слайд).
- Как мне выбрать макет текста? (Нужно выбрать в главном меню пункт формат ¦ разметка слайда).
- Как создать фон? (Нужно выбрать в главном меню пункт формат ¦ оформление слайда).
- Как создать текст? (Нужно щелкнуть в метке заполнителя).
- Как вставить рисунок? (Нужно выбрать в главном меню пункт вставка¦рисунок, выбрать нужный рисунок, установить рисунок в нужном месте слайда и изменить размеры рисунка до необходимых).
5. Компьютерный практикум (задания на описание свойств функций).
Раздаются карточки, на которых записаны задания. Каждое задание соответствует одному слайду.
Например, карточка№1 состоит из четырёх заданий:
- Личный слайд (тема презентации, Ф.И.О и класс);
- Записать правила для преобразования графиков:
а)
б)
- Построить график функции;
- Свойства графика функции.
После того как создана презентация и построен график функции, учащиеся отвечают на вопросы:
- Назовите область определения и область значения функции;
- Укажите промежутки возрастания и убывания функции;
- Назовите координаты вершины параболы;
- Промежутки знакопостоянства.
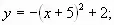
| Карточка№1 1. Тема презентации, Ф.И.О.,
класс.
3. Построить график функции; |
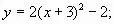
| Карточка№2 1.Тема презентации, Ф.И.О.,
класс.
3. Построить график функции; |
| Карточка№3 1. Тема презентации, Ф.И.О.,
класс.
3. Построить график функции; |
| Карточка№4 1. Тема презентации, Ф.И.О.,
класс. 3. Построить график функции; |
| Карточка№5 1. Тема презентации, Ф.И.О.,
класс.
3. Построить график функции; |
| Карточка№6 1. Тема презентации, Ф.И.О.,
класс.
3. Построить график функции; |
| Карточка№7 1. Тема презентации, Ф.И.О.,
класс.
3. Построить график функции; |
| Карточка№8 1.Тема презентации, Ф.И.О.,
класс.
3. Построить график функции; |
6. Подведение итогов урока.
Подводятся результаты работы, каждому учащемуся выставляются по две оценки (по математике и информатике). Делается вывод о достижении целей урока.