Урок алгебры по теме "Иррациональные уравнения" с использованием ИКТ (9-й класс)
Цель урока:
- Обобщить и систематизировать знания учащихся по теме “Иррациональные уравнения”;
- Способствовать формированию практических навыков в выборе наиболее рациональных способов решения иррациональных уравнений.
Методы работы:
- Наглядный;
- Практический;
- Репродуктивный;
- Проблемно-поисковый;
- Метод самостоятельной работы.
Формы работы:
- Фронтальная;
- Индивидуальная;
- Самостоятельная.
ХОД УРОКА
1. Организационный момент.
- Сообщение темы урока, краткий план урока;
- Проверка домашнего задания.
2. Устная работа (презентация 1)
а) Доказать, что уравнения не имеют корней:
![]()
![]()
![]()
![]()
3. Работа по теме урока.
а) Повторение основных вопросов теории:
- Какие уравнения называются иррациональными?
- Что значит решить уравнение?
- Какие основные методы решения уравнений были изучены?
Определение. Уравнение с одной переменной называют иррациональным, если хотя бы одна из функций содержит переменную х под знаком радикала.
Определение. Решить уравнение – значит найти все его корни или доказать, что оно не имеют корней.
Основные методы: (презентация 2)
- Использование равносильности;
- Использование определение арифметического квадратного корня;
- Введение новой переменной;
- Умножение на сопряженный радикал;
- Выделение полного квадрата;
- Исследование области допустимых значений.
б) закрепление:
Учебник “Алгебра-9” Н.Я. Виленкин
№ 66 (в)
![]()
Решение.
(при решении уравнения используем равносильность)

Ответ: х = -1
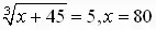
№ 82 (а)
![]()
Решение.
(при решении используем метод введения новой переменной)
Пусть
, тогда уравнение принимает следующий вид

Тогда,
и ![]()
Ответ: х=80
№ 84 (в)
![]()
Решение.
(при решении используем метод выделения квадрата)
![]()
![]()
Далее используем метод решения уравнения с модулями, получаем
х = -6,5 и х = 3,5
Ответ: -6,5; 3,5
4. Самостоятельная работа (презентация 3)
Вариант 1
Решить уравнения:
1) ![]()
2)![]()
3) ![]()
Вариант 2
Решить уравнения:
1) ![]()
2) ![]()
3) ![]()
Ответы:
Вариант 1 1) 8; 2) 0; 4 3) 0; 3; 4;
Вариант 2 1) 5; 2) 0; -1 3) 0; -2
Дополнительные задания:
Вариант 1
1) ![]()
2) ![]()
Вариант 2
1) ![]()
2) ![]()
5. Подведение итогов, запись и обсуждение домашнего задания, выставление оценок в журнал и дневник.