Основы теории вероятностей и математической статистики
ВВЕДЕНИЕ
Многие вещи нам непонятны не потому, что наши понятия слабы;
но потому, что сии вещи не входят в круг наших понятий.
Козьма Прутков
Основная цель изучения математики в средних специальных учебных заведениях состоит в том, чтобы дать студентам набор математических знаний и навыков, необходимых для изучения других программных дисциплин, использующих в той или иной мере математику, для умения выполнять практические расчеты, для формирования и развития логического мышления.
В данной работе последовательно вводятся все базовые понятия раздела математики "Основы теории вероятностей и математической статистики", предусмотренные программой и Государственными образовательными стандартами среднего профессионального образования (Министерство образования Российской Федерации. М., 2002г.), формулируются основные теоремы, большая часть которых не доказывается. Рассматриваются основные задачи и методы их решения и технологии применения этих методов к решению практических задач. Изложение сопровождается подробными комментариями и многочисленными примерами.
Методические указания могут быть использованы для первичного ознакомления с изучаемым материалом, при конспектировании лекций, для подготовки к практическим занятиям, для закрепления полученных знаний, умений и навыков. Кроме того, пособие будет полезно и студентам- старшекурсникам как справочное пособие, позволяющее быстро восстановить в памяти то, что было изучено ранее.
В конце работы приведены примеры и задания, которые студенты могут выполнять в режиме самоконтроля.
Методические указания предназначены для студентов заочной и дневной форм обучения.
ОСНОВНЫЕ ПОНЯТИЯ
Теория вероятностей изучает объективные закономерности массовых случайных событий. Она является теоретической базой для математической статистики, занимающейся разработкой методов сбора, описания и обработки результатов наблюдений. Путем наблюдений (испытаний, экспериментов), т.е. опыта в широком смысле слова, происходит познание явлений действительного мира.
В своей практической деятельности мы часто встречаемся с явлениями, исход которых невозможно предсказать, результат которых зависит от случая.
Случайное явление можно охарактеризовать отношением числа его наступлений к числу испытаний, в каждом из которых при одинаковых условиях всех испытаний оно могло наступить или не наступить.
Теория вероятностей есть раздел математики, в котором изучаются случайные явления (события) и выявляются закономерности при массовом их повторении.
Математическая статистика - это раздел математики, который имеет своим предметом изучения методов сбора, систематизации, обработки и использования статистических данных для получения научно обоснованных выводов и принятия решений.
При этом под статистическими данными понимается совокупность чисел, которые представляют количественные характеристики интересующих нас признаков изучаемых объектов. Статистические данные получаются в результате специально поставленных опытов, наблюдений.
Статистические данные по своей сущности зависят от многих случайных факторов, поэтому математическая статистика тесно связана с теорией вероятностей, которая является ее теоретической основой.
I. ВЕРОЯТНОСТЬ. ТЕОРЕМЫ СЛОЖЕНИЯ И УМНОЖЕНИЯ ВЕРОЯТНОСТЕЙ
1.1. Основные понятия комбинаторики
В разделе математики, который называется комбинаторикой, решаются некоторые задачи, связанные с рассмотрением множеств и составлением различных комбинаций из элементов этих множеств. Например, если взять 10 различных цифр 0, 1, 2, 3,: , 9 и составлять из них комбинации, то будем получать различные числа, например 143, 431, 5671, 1207, 43 и т.п.
Мы видим, что некоторые из таких комбинаций отличаются только порядком цифр (например, 143 и 431), другие - входящими в них цифрами (например, 5671 и 1207), третьи различаются и числом цифр (например, 143 и 43).
Таким образом, полученные комбинации удовлетворяют различным условиям.
В зависимости от правил составления можно выделить три типа комбинаций: перестановки, размещения, сочетания.
Предварительно познакомимся с понятием факториала.
Произведение всех натуральных чисел от 1 до n включительно называют n-факториалом и пишут
.
Пример 1.
Вычислить: а)
; б)
; в)
.
Решение. а)
.
б) Так как
и
, то можно вынести за скобки ![]()
Тогда получим
.
в)
.
Перестановки.
Комбинация из n элементов, которые отличаются друг от друга только порядком элементов, называются перестановками.
Перестановки обозначаются символом Рn, где n- число элементов, входящих в каждую перестановку. (Р - первая буква французского слова permutation- перестановка).
Число перестановок можно вычислить по формуле
![]()
или с помощью факториала:
![]()
Запомним, что 0!=1 и 1!=1.
Пример 2. Сколькими способами можно расставлять на одной полке шесть различных книг?
Решение. Искомое число способов равно числу перестановок из 6 элементов, т.е.
.
Размещения.
Размещениями из m элементов в n в каждом называются такие соединения, которые отличаются друг от друга либо самими элементами (хотя бы одним), либо порядком из расположения.
Размещения обозначаются символом
, где m- число всех имеющихся элементов, n- число элементов в
каждой комбинации. (А-первая буква французского слова arrangement, что означает "размещение, приведение в порядок").
При этом полагают, что n
m.
Число размещений можно вычислить по формуле
,
т.е. число всех возможных размещений из m элементов по n равно произведению n последовательных целых чисел, из которых большее есть m.
Запишем эту формулу в факториальной форме:
.
Пример 3. Сколько вариантов распределения трех путевок в санатории различного профиля можно составить для пяти претендентов?
Решение. Искомое число вариантов равно числу размещений из 5 элементов по 3 элемента, т.е.
.
Сочетания.
Сочетаниями называются все возможные комбинации из m элементов по n, которые отличаются друг от друга по крайней мере хотя бы одним элементом (здесь m и
n-натуральные числа, причем n
m).
Число сочетаний из m элементов по n обозначаются
(С-первая буква французского слова
combination - сочетание).
В общем случае число из m элементов по n равно числу размещений из m элементов по n, деленному на число перестановок из n элементов:
![]()
Используя для чисел размещений и перестановок факториальные формулы, получим:
![]()
Пример 4. В бригаде из 25 человек нужно выделить четырех для работы на определенном участке. Сколькими способами это можно сделать?
Решение. Так как порядок выбранных четырех человек не имеет значения, то это можно сделать
способами.
Находим по первой формуле
.
Кроме того, при решении задач используются следующие формулы, выражающие основные свойства сочетаний:
![]()
(по определению полагают
и
);
.
1.2. Решение комбинаторных задач
Задача 1. На факультете изучается 16 предметов. На понедельник нужно в расписание поставить 3 предмета. Сколькими способами можно это сделать?
Решение. Способов постановки в расписание трех предметов из 16 столько, сколько можно составить размещений из 16 элементов по 3.
.
Задача 2. Из 15 объектов нужно отобрать 10 объектов. Сколькими способами это можно сделать?
Решение.

Задача 3. В соревнованиях участвовало четыре команды. Сколько вариантов распределения мест между ними возможно?
Решение.
.
Задача 4. Сколькими способами можно составить дозор из трех солдат и одного офицера, если имеется 80 солдат и 3 офицера?
Решение. Солдат в дозор можно выбрать
![]()
способами, а офицеров
способами. Так как с каждой командой из солдат может пойти любой офицер, то всего имеется
способов.
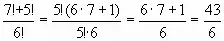
Задача 5. Найти
, если известно, что
.
Решение.
Так как
, то получим
,
,
,
![]()
,
.
По определению сочетания следует, что
,
. Т.о.
.
Ответ: 9
1.3. Понятие о случайном событии. Виды событий. Вероятность события
Всякое действие, явление, наблюдение с несколькими различными исходами, реализуемое при данном комплексе условий, будем называть испытанием.
Результат этого действия или наблюдения называется событием.
Если событие при заданных условиях может произойти или не произойти, то оно называется случайным. В том случае, когда событие должно непременно произойти, его называют достоверным, а в том случае, когда оно заведомо не может произойти,- невозможным.
События называются несовместными, если каждый раз возможно появление только одного из них.
События называются совместными, если в данных условиях появление одного из этих событий не исключает появление другого при том же испытании.
События называются противоположными, если в условиях испытания они, являясь единственными его исходами, несовместны.
События принято обозначать заглавными буквами латинского алфавита: А, В, С, Д, : .
Полной системой событий А1, А2, А3, : , Аn называется совокупность несовместных событий, наступление хотя бы одного из которых обязательно при данном испытании.
Если полная система состоит из двух несовместных событий, то такие события называются противоположными и обозначаются А и
.
Пример. В коробке находится 30 пронумерованных шаров. Установить, какие из следующих событий являются невозможными, достоверными, противоположными:
достали пронумерованный шар (А);
достали шар с четным номером (В);
достали шар с нечетным номером (С);
достали шар без номера (Д).
Какие из них образуют полную группу?
Решение. А - достоверное событие; Д - невозможное событие;
В и С - противоположные события.
Полную группу событий составляют А и Д, В и С.
Вероятность события, рассматривается как мера объективной возможности появления случайного события.
1.4. Классическое определение вероятности
Число, являющееся выражением меры объективной возможности наступления события, называется вероятностью этого события и обозначается символом Р(А).
Определение. Вероятностью события А называется отношение числа исходов m, благоприятствующих наступлению данного события А, к числу n всех
исходов (несовместных, единственно возможных и равновозможных), т.е.
.
Следовательно, для нахождения вероятности события необходимо, рассмотрев различные исходы испытания, подсчитать все возможные несовместные исходы n, выбрать число интересующих нас исходов m и вычислить отношение m к n.
Из этого определения вытекают следующие свойства:
Вероятность любого испытания есть неотрицательное число, не превосходящее единицы.
Действительно, число m искомых событий заключено в пределах
. Разделив обе части на n, получим
.
2. Вероятность достоверного события равна единице, т.к.
.
3. Вероятность невозможного события равна нулю, поскольку
.
Задача 1. В лотерее из 1000 билетов имеются 200 выигрышных. Вынимают наугад один билет. Чему равна вероятность того, что этот билет выигрышный?
Решение. Общее число различных исходов есть n=1000. Число исходов, благоприятствующих получению выигрыша, составляет m=200. Согласно формуле, получим
.
Задача 2. В партии из 18 деталей находятся 4 бракованных. Наугад выбирают 5 деталей. Найти вероятность того, что из этих 5 деталей две окажутся бракованными.
Решение. Число всех равновозможных независимых исходов n равно числу сочетаний из 18 по 5 т.е.
![]()
Подсчитаем число m, благоприятствующих событию А. Среди 5 взятых наугад деталей должно быть 3 качественных и 2 бракованных. Число способов выборки двух бракованных деталей из 4 имеющихся бракованных равно числу сочетаний из 4 по 2:
![]()
.
Число способов выборки трех качественных деталей из 14 имеющихся качественных равно
.
Любая группа качественных деталей может комбинироваться с любой группой бракованных деталей, поэтому общее число комбинаций m составляет
.
Искомая вероятность события А равна отношению числа исходов m, благоприятствующих этому событию, к числу n всех равновозможных независимых исходов:
.
1.5. Теорема сложения вероятностей несовместных событий
Суммой конечного числа событий называется событие, состоящее в наступлении хотя бы одного из них.
Сумму двух событий обозначают символом А+В, а сумму n событий символом А1+А2+ : +Аn.
Теорема сложения вероятностей.
Вероятность суммы двух несовместных событий равна
сумме
вероятностей этих событий.
или
![]()
Следствие 1. Если событие А1, А2, : ,Аn образуют полную систему, то сумма вероятностей этих событий равна единице.
.
Следствие 2. Сумма вероятностей противоположных событий
и
равна единице.
.
Задача 1. Имеется 100 лотерейных билетов. Известно, что на 5 билетов попадает выигрыш по 20000 руб., на 10 - по 15000 руб, на 15 - по 10000 руб., на 25 - по 2000 руб. и на остальные ничего. Найти вероятность того, что на купленный билет будет получен выигрыш не менее 10000 руб.
Решение. Пусть А, В, и С- события, состоящие в том, что на купленный билет падает выигрыш, равный соответственно 20000, 15000 и 10000 руб. так как события А, В и С несовместны, то
.
Задача 2. На заочное отделение техникума поступают контрольные работы по математике из городов А, В и С. Вероятность поступления контрольной работы из города А равна 0,6, из города В - 0,1. Найти вероятность того, что очередная контрольная работа поступит из города С.
Решение. События "контрольная работа поступила из города А", "контрольная работа поступила из города В" и "контрольная работа поступила из города С" образуют полную систему, поэтому сумма их вероятностей равна единице:
, т.е.
.
Задача 3. Вероятность того, что день будет ясным,
. Найти вероятность
того, что день будет облачным.
Решение. События "день ясный" и "день облачный" противоположные, поэтому
, т.е
.
1.6. Теорема умножения вероятностей независимых событий
При совместном рассмотрении двух случайных событий А и В возникает вопрос:
Как связаны события А и В друг с другом, как наступление одного из них влияет на возможность наступления другого?
Простейшим примером связи между двумя событиями служит причинная связь, когда наступление одного из событий обязательно приводит к наступлению другого, или наоборот, когда наступление одного исключает возможность наступления другого.
Для характеристики зависимости одних событий от других вводится понятие условной вероятности.
Определение. Пусть А и В - два случайных события одного и того же испытания. Тогда условной вероятностью события А или вероятностью события А при
условии, что наступило событие В, называется число
.
Обозначив условную вероятность
, получим формулу
,
.
Задача 1. Вычислить вероятность того, что в семье, где есть один ребенок- мальчик, родится второй мальчик.
Решение. Пусть событие А состоит в том, что в семье два мальчика, а событие В - что один мальчик.
Рассмотрим все возможные исходы: мальчик и мальчик; мальчик и девочка; девочка и мальчик; девочка и девочка.
Тогда
,
и по формуле находим
.
Событие А называется независимым от события В, если наступление события В не оказывает никакого влияния на вероятность наступления события А.
Теорема умножения вероятностей
Вероятность одновременного появления двух независимых событий равна произведению вероятностей этих событий:
.
Вероятность появления нескольких событий, независимых в совокупности, вычисляется по формуле
.
Задача 2. В первой урне находится 6 черных и 4 белых шара, во второй- 5 черных и 7 белых шаров. Из каждой урны извлекают по одному шару. Какова вероятность того, что оба шара окажутся белыми.
Решение. Пусть
- из первой урны извлечен белый шар;
- из второй урны извлечен белый
шар. Очевидно, что события
и
независимы.
Так как
,
, то по формуле
находим
.
Задача 3. Прибор состоит из двух элементов, работающих независимо. Вероятность выхода из строя первого элемента равна 0,2; вероятность выхода из строя второго элемента равна 0,3. Найти вероятность того, что: а) оба элемента выйдут из строя; б) оба элемента будут работать.
Решение. Пусть событие А- выход из строя первого элемента, событие В- выход их строя второго элемента. Эти события независимы (по условию).
а) Одновременное появление А и В есть событие АВ. Следовательно,
.
б) Если работает первый элемент, то имеет место событие
(противоположное событию А- выходу этого элемента из строя); если
работает второй элемент- событие В. Найдем вероятности событий
и
:
;
.
Тогда событие, состоящее в том, что будут работать оба элемента, есть
и, значит,
.