Урок алгебры в 9-м классе по теме "Решение систем уравнений второй степени способами подстановки и сложения"
Цели урока:
- Обеспечить повторение, обобщение и систематизацию материала темы; создать условия самоконтроля и взаимоконтроля усвоения знаний и умений;
- Способствовать формированию умения выделять главное, переноса знаний в новую ситуацию, развитию мышления, внимания;
- Содействовать воспитанию активности, организованности, любви к родному краю.
Тип урока: урок обобщения и систематизации знаний.
Учебник "Алгебра, 9" под редакцией С. А. Теляковского.
Оборудование: карточки для игры "Домино" и карточки для самостоятельной работы, плакат с девизом урока, копировки.
Ход урока
I. Организационный момент:
а) сообщение темы урока;
б) сообщение целей и задач урока: учащиеся должны показать, как они умеют решать системы уравнений второй степени способами подстановки и сложения;
в) девиз урока:
"Учиться можно только весело, чтобы переваривать знания, надо поглощать их с аппетитом."
Французский писатель Анатоль Франс.
Ребята! Прислушаемся к совету писателя: будем на уроке внимательными, активными, будем с большими желанием "поглощать" знания, они ведь вам пригодятся.
II. Проверка домашней работы.
№263 (а) - один ученик решает на доске,
№263 (г) - другой ученик также решает на доске.
Пока они готовятся к ответу, остальные учащиеся работают устно.
III. Устная работа.
1. Решите уравнения:
Корни следующих уравнений - числа, знакомые вам из истории, из средств массовой информации и т.д. Решив их, ответьте чем знамениты эти даты:
а) (х2 +7) (х - 1147) = 0; х = 1147
[1147г. - год основания города Москвы]
б) (х - 1574)2 = 0; х=1574
[1574г. - год основания города Уфы ]
в) (1922-х)(-25-х2) = 0; х=1922
[С 1922 года город Уфа становится столицей Башкортостана]
2. Выразите одну переменную через другую:
2у - 6х = 5;
3х - у = 1;
ху = -5.
3. Сколько решений может иметь система уравнений вида:

[Графики уравнений, окружность и гипербола, могут не иметь общих точек, могут иметь две общие точки, четыре общие точки. Значит, данная система уравнений может не иметь решений, может иметь 2 решения, может иметь 4 решения.]
IV. Проверка работы у доски.
Каждый из отвечающих у доски учеников частично комментирует выполнение домашнего задания, указывает способ решения системы уравнений. Учитель задаёт дополнительные вопросы.
V. Игра " Математическое домино".
(Для этой игры надо подготовить карточки размером 3см х 15 см из плотной бумаги. Каждую карточку следует разделить чертой на 2 половинки).
За каждой партой сидят по 2 ученика. На каждую парту по 1 комплекту заданий даётся. Учитель знакомит учащихся с правилами игры и говорит: "За какой партой учащиеся лучше и быстрее "сыграют в домино"?"
Все играют одновременно по 2 учащихся, сидящие за одной партой.
После того, как все закончат игру, проводится взаимопроверка.
Затем объявляется команда - победительница. Ниже привожу 1 комплект заданий для игры с изображением карточек.
|
Решите систему уравнений
|
| (-2; - 1), (2; 3) |
Решите систему уравнений
|
| (3; - 2) |
Решите систему уравнений
|
| (7; 2) |
Решите систему уравнений
|
| Решений нет |
Решите систему уравнений
|
| (-5; - 2), (5; 2) |
VI. Решение систем уравнений:
№ 264 (б) - вызывается к доске ученик

Данная система решается на доске двумя способами: способом подстановки и способом сложения. Решение комментируется.
VII. Самостоятельная работа с последующей самопроверкой.
Самостоятельная работа ( по двум вариантам) выполняется под копировку. Листки с выполненными заданиями собираются, при этом один экземпляр самостоятельной работы остаётся у учеников. Хорошо успевающие ученики, из каждого варианта по ученику, выполняют самостоятельную работу на обратной стороне крутящейся доски. Самопроверка (Работающие у доски по своим записям комментируют выполнение заданий. Остальные учащиеся сами оценивают свою работу, выставляя оценку карандашом .Заранее норма оценок указана на доске) Решите систему уравнений:
I. Вариант

II. Вариант

VIII. Домашнее задание.
Учитель: "Большую роль в прочном и сознательном усвоении знаний, полученных в классе, играет выполнение домашнего задания.
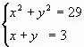
Домашнее задание записано на листке, который спрятан в вашем классе. Чтобы найти этот листок, надо решить систему уравнений, решение которой нам поможет найти лист с домашним заданием".
Итак, решим следующую систему уравнений:
Ответ: (2; 1)
Эту систему уравнений решает ученик на доске.
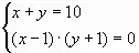
Сообщаю учащимся, что в этой паре 1-ое число означает номер ряда, 2-ое число номер парты. Значит, листок спрятан в первой парте второго ряда. Учащиеся подходят к этой парте второго ряда, ищут и находят лист с домашнем заданием. (Спрятать надо так, чтобы ученики могли его найти быстро).
Ученики читают запись на листочке: "Решите систему уравнений
".
К доске вызывается один ученик и он решает эту систему уравнений. Ответ: (258; 311)
Запишите домашнее задание: № 258 (а, б); №311 ( а ) - для желающих. Желаю успехов в выполнении домашнего задания!
IX. Подведение итогов урока.
Итак, урок подошел к завершению. Вы блестяще справились с заданиями.
Выставление оценок и их комментирование.
Какой теоретический материал помог вам больше всего на уроке при решении систем уравнений? (Учащиеся отвечают).
Ваши знания и умения по решению систем уравнений нужны будут вам уже на следующем уроке, на котором мы будем изучать новую тему: "Решение задач с помощью систем уравнений второй степени".
Спасибо за урок.


