Практикум по решению уравнений с методическими рекомендациями на тему "Решение алгебраических уравнений методом замены переменной"
Пояснительная записка
"Уравнение представляет собой наиболее серьёзную и важную вещь в математике… Процесс решения уравнения есть просто акт приведения его к возможно более простой форме. В какой бы форме уравнение ни было написано, его информационный характер остаётся тот же. Но в некоторых формах его нелегко прочесть". (Лодж О)
Умение решать уравнения является одним из основных критериев уровня математической подготовки обучающихся. Наиболее распространённым методом решения уравнений является метод введения новой переменной, относительно которой уравнение принимает более простой вид. Этот метод не требует специальной подготовки и основан на применении знаний и фактов программного материала. Сделать замену переменной иногда удобно сразу, а иногда её можно выявить в результате каких-то преобразований. Данный материал поможет обучающимся научиться удачно вводить новую переменную при решении уравнений, что является важным моментом математической культуры школьника.
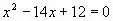
1. Уравнения, в которых замена очевидна
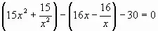
|
|
|
Способ решения:
Приведём данное уравнение к виду
и,
сделав замену
, решим получившееся уравнение
. Получим
или
. Вернемся к замене и решим еще два уравнения:
1)
или
2)
; ![]()
![]()
Ответ:
;
; ![]()
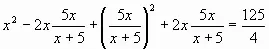
3. Уравнения вида ![]()
|
|
|
Способ решения:
Обратим внимание, что сумма свободных членов первой и четвертой скобки равна сумме свободных членов
второй и третьей скобки. Перемножив эти скобки, получим
. Сделаем замену
, получим уравнение
, раскроем скобки
, найдем корни по
теореме обратной теореме Виета
или
. Возвращаемся к замене и решаем
еще два уравнения:
1)
![]()
![]()
, решений нет.
2)![]()
или ![]()
Ответ:
; ![]()
3. Уравнения вида ![]()
.
|
|
|
Способ решения:
. Сначала умножим обе части уравнения на
, чтобы поменять местами слагаемые во второй скобке. Получим уравнение
. Перемножим те скобки, в которых произведение
свободных членов одинаково, т. е. первую скобку на четвертую, а вторую на третью. Получим
. Так как
не является корнем данного уравнения, то разделим обе части уравнения на
; получим
; преобразуем полученное выражение
; сделаем замену переменной
; и решим уравнение
;
;
. Возвратимся к замене и решим ещё два уравнения:
1)
;
;
;
.
2)
;
;
, ![]()
Ответ:
;
; ![]()
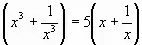
4. Симметрические уравнения и возвратные уравнения
|
|
|
Способ решения:
. Так как
не является корнем уравнения,
разделим обе части уравнения на
, получим
; группируем
; выносим за скобки общий множитель
(*); делаем замену переменной
; возводим обе части полученного равенства в квадрат
; выражаем
; подставляем полученное выражение в уравнение (*) и решаем уравнение
;
;
;
или
. Возвращаемся к замене и решаем уравнения 1)
;
;
;
.
2)
;
;
;
;
;
.
Ответ:
;
; ![]()
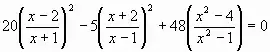
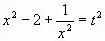
5. Дробно-рациональные уравнения
|
1. 2. 3. 4. 5. |
6. 7. 8. 9. 10. |
Способ решения:
ОДЗ: ![]()
Сделаем замену
; возведем обе части в квадрат, получим
, выразим
и подставим в исходное уравнение, получим
. Решаем полученное
уравнение
;
;
;
получаем два уравнения:
1)
;
;
;
.
2)
;
;
,
.
Ответ:
;
; ![]()
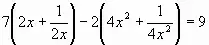
6. Однородные уравнения
|
|
|
Способ решения:
Так как
не является корнем уравнения,
разделим обе его части на
, получим
; сделав замену переменной
; и, решив полученное уравнение
, находим корни
;
; Возвратившись к замене, решим ещё два уравнения:
1)
;
;
;
; ![]()
2)
;
;
; ![]()
, решений нет.
Ответ:
;![]()
Уравнения, решаемые методом выделения квадрата двучлена
|
1) 2) 3) 4) |
5) 6) 7) |
8) 9) 10) |
Способ решения:
ОДЗ:
. Обратим внимание на то, что
знаменателем дроби является квадрат суммы двучлена, значит выделять будем квадрат разности
![]()
; сделав замену переменной
, получим уравнение
; преобразуем его к виду
и решим:
;
;
;
. Возвратимся к замене и решим уравнения:
1)
;
;
;
;
;
.
2)
;
;![]()
, решений нет.
Ответ:
; ![]()
Список литературы
- Шарыгин И.Ф."Математика для поступающих в ВУЗы. М.: Дрофа, 2000.
- Сканави М.И. 2500 задач по математике для поступающих в ВУЗы. М.: Оникс, 2003.
- Белоненко Т.В. и др. Сборник конкурсных задач по математике. С-Пб., специальная литература, 1997.
- Черкасов О., Якушев А. Математика. М.: Айрис, 2000.
- Олехник С.Н. и др. Нестандартные методы решения уравнений и неравенств. М.: МГУ, 1991.
- Белоносов В.С., Фокин М.В. Задачи вступительных экзаменов по математике. Новосибирск: изд-во НГУ, 1995.
- Галицкий М.Л., Гольдман А.М., Звавич Л.И. Сборник задач по алгебре. М.: Просвещение,1994.
- Титаренко А.М. Форсированный курс подготовки к экзамену по математике. Практикум. Изд-во "Эксмо", 2005.

