Урок по теме "Решение систем линейных уравнений, содержащих параметры"
Если в задаче меньше трех переменных, это не задача; если больше восьми – она неразрешима. Энон.
Задачи с параметрами встречаются во всех вариантах ЕГЭ, поскольку при их
решении наиболее ярко выявляется, насколько глубоки и неформальны знания
выпускника. Трудности, возникающие у учащихся при выполнении подобных заданий,
вызваны не только относительной их сложностью, но и тем, что в учебных пособиях
им уделяется недостаточно внимания. В вариантах КИМов по математике встречается
два типа заданий с параметрами. Первый: «для каждого значения параметра решить
уравнение, неравенство или систему». Второй: «найти все значения параметра, при
каждом из которых решения неравенства, уравнения или системы удовлетворяют
заданным условиям». Соответственно и ответы в задачах этих двух типов
различаются по существу. В первом случае в ответе перечисляются все возможные
значения параметра и для каждого из этих значений записываются решения
уравнения. Во втором – перечисляются все значения параметра, при которых
выполнены условия задачи. Запись ответа является существенным этапом решения,
очень важно не забыть отразить все этапы решения в ответе. На это необходимо
обращать внимание учащихся.
В приложении к уроку приведен дополнительный материал по теме «Решение систем
линейных уравнений с параметрами», который поможет при подготовке учащихся к
итоговой аттестации.
Цели урока:
- систематизация знаний учащихся;
- выработка умений применять графические представления при решении систем уравнений;
- формирование умения решать системы линейных уравнений, содержащих параметры;
- осуществление оперативного контроля и самоконтроля учащихся;
- развитие исследовательской и познавательной деятельности школьников, умения оценивать полученные результаты.
Урок рассчитан на два учебных часа.
Ход урока
- Организационный момент
Сообщение темы, целей и задач урока.
- Актуализация опорных знаний учащихся
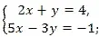
Проверка домашней работы. В качестве домашнего задания учащимся было предложено решить каждую из трех систем линейных уравнений
а)
б)
в)
![]()
графически и аналитически; сделать вывод о количестве полученных решений для каждого случая
Ответы:
![]()
Заслушиваются и анализируются выводы, сделанные учащимися. Результаты работы под руководством учителя в краткой форме оформляются в тетрадях.
В общем виде систему двух линейных уравнений с двумя неизвестными можно
представить в виде:
.
Решить данную систему уравнений графически – значит найти координаты точек пересечения графиков данных уравнений или доказать, что таковых нет. Графиком каждого уравнения этой системы на плоскости является некоторая прямая.
Возможны три случая взаимного расположения двух прямых на плоскости:
- если
(если
хотя бы один из знаменателей равен нулю, последнее неравенство надо понимать
как
),
то прямые пересекаются в одной точке; в этом случае система имеет
единственное решение

<Рисунок1>;
- если
то
прямые не имеют общих точек, т.е. не пересекаются; а значит, система решений
не имеет

<Рисунок2>;
- если
то
прямые совпадают. В этом случае система имеет бесконечно много решений

<Рисунок3>.
К каждому случаю полезно выполнить рисунок.
- Изучение нового материала
Сегодня на уроке мы научимся решать системы линейных уравнений, содержащие параметры. Параметром будем называть независимую переменную, значение которой в задаче считается заданным фиксированным или произвольным действительным числом, или числом, принадлежащим заранее оговоренному множеству. Решить систему уравнений с параметром – значит установить соответствие, позволяющее для любого значения параметра найти соответствующее множество решений системы.
Решение задачи с параметром зависит от вопроса, поставленного в ней. Если нужно просто решить систему уравнений при различных значениях параметра или исследовать ее, то необходимо дать обоснованный ответ для любого значения параметра или для значения параметра, принадлежащего заранее оговоренному в задаче множеству. Если же необходимо найти значения параметра, удовлетворяющие определенным условиям, то полного исследования не требуется, и решение системы ограничивается нахождением именно этих конкретных значений параметра.
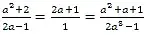
Пример 1. Для каждого значения параметра решим систему уравнений
![]()
Решение.
- Система имеет единственное решение, если
![]()
В этом случае имеем
![]()
![]()
- Если а = 0, то система принимает вид
![]()
Система несовместна, т.е. решений не имеет.
- Если то система запишется в виде
![]()
Очевидно, что в этом случае система имеет бесконечно много решений вида
x = t;
где
t-любое действительное число.
Ответ:
- при
система имеет единственное решение

- при а = 0 — нет решений;
- при а = 3 — бесконечно много решений вида
где t
R
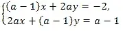
Пример 2. При каких значениях параметра a система уравнений
![]()
- имеет единственное решение;
- имеет множество решений;
- не имеет решений?
Решение.
- система имеет единственное решение, если

- подставим в пропорцию
значение
а = 1, получим
, т.е. система имеет бесконечно много
решений; - при а = -1 пропорция примет вид:
. В этом случае система не имеет решений.
Ответ:
- при
система имеет единственное решение; - при
система имеет бесконечно много решений; - при
система не имеет решений.
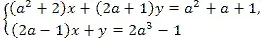
Пример 3. Найдем сумму параметров a и b, при которых система
![]()
имеет бесчисленное множество решений.
Решение. Система имеет бесчисленное множество решений, если
![]()
То есть если a = 12, b = 36; a + b = 12 + 36 =48.
Ответ: 48.
- Закрепление изученного в ходе решения задач
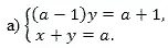
- № 15.24(а) [1]. Для каждого значения параметра решите систему уравнений
![]()
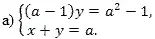
- № 15.25(а) Для каждого значения параметра решите систему уравнений
![]()
- При каких значениях параметра a система уравнений
![]()
а) не имеет решений; б) имеет бесконечно много решений.
Ответ: при а = 2 решений нет, при а = -2 бесконечное множество решений
- Практическая работа в группах
Класс разбивается на группы по 4-5 человек. В каждую группу входят учащиеся с разным уровнем математической подготовки. Каждая группа получает карточку с заданием. Можно предложить всем группам решить одну систему уравнений, а решение оформить. Группа, первой верно выполнившая задание, представляет свое решение; остальные сдают решение учителю.
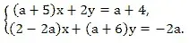
Карточка. Решите систему линейных уравнений
![]()
при всех значениях параметра а.
Ответ: при
система имеет единственное решение
; при
нет решений; при
а = -1бесконечно много решений вида , (t; 1- t) где t
R
Если класс сильный, группам могут быть предложены разные системы уравнений, перечень которых находится в Приложении1. Тогда каждая группа представляет классу свое решение.
Отчет группы, первой верно выполнившей задание
Участники озвучивают и поясняют свой вариант решения и отвечают на вопросы, возникшие у представителей остальных групп.
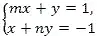
- Самостоятельная работа
Вариант 1
- При каком значении k система
имеет бесконечно много решений? - При каком значении p система
не имеет решений?
Вариант 2
- При каком значении k система
имеет бесконечно много решений? - При каком значении p система
не имеет решений?
- Итоги урока
Решение систем линейных уравнений с параметрами можно сравнить с исследованием, которое включает в себя три основных условия. Учитель предлагает учащимся их сформулировать.
При решении следует помнить:
- для того, чтобы система имела единственное решение, нужно, чтобы прямые, отвечающие уравнению системы, пересекались, т.е. необходимо выполнение условия;
- чтобы не имела решений, нужно, чтобы прямые были параллельны, т.е. выполнялось условие,
- и, наконец, чтобы система имела бесконечно много решений, прямые должны совпадать, т.е. выполнялось условие.
Учитель оценивает работу на уроке класса в целом и выставляет отметки за урок отдельным учащимся. После проверки самостоятельной работы оценку за урок получит каждый ученик.
- Домашнее задание
При каких значениях параметра b система уравнений
![]()
- имеет бесконечно много решений;
- не имеет решений?
Графики функций y = 4x + b и y = kx + 6 симметричны относительно оси ординат.
- Найдите b и k,
- найдите координаты точки пересечения этих графиков.
Решите систему уравнений
при всех значениях m и n.
Решите систему линейных уравнений при всех значениях параметра а (любую на выбор).
Литература
- Алгебра и начала математического анализа: учеб. для 11 кл. общеобразоват. учреждений : базовый и профил. уровни / С. М. Никольский, М. К. Потапов, Н. Н. Решетников, А. В. Шевкин – М. : Просвещение, 2008.
- Математика : 9 класс : Подготовка к государственной итоговой аттестации / М. Н. Корчагина, В. В. Корчагин – М. : Эксмо, 2008.
- Готовимся в вуз. Математика. Часть 2. Учебное пособие для подготовки к ЕГЭ, участию в централизованном тестировании и сдаче вступительных испытаний в КубГТУ / Кубан. гос. технол. ун-т; Ин-т совр. технол. и экон.; Сост.: С. Н. Горшкова, Л. М. Данович, Н.А. Наумова, А.В. Мартыненко, И.А. Пальщикова. – Краснодар, 2006.
- Сборник задач по математике для подготовительных курсов ТУСУР: Учебное пособие / З. М. Гольдштейн, Г. А. Корниевская, Г. А. Коротченко, С.Н. Кудинова. – Томск: Томск. Гос. ун-т систем управления и радиоэлектроники, 1998.
- Математика: интенсивный курс подготовки к экзамену/ О. Ю. Черкасов, А.Г.Якушев. – М.: Рольф, Айрис-пресс, 1998.