Разработка уроков по теме: "Квадратные уравнения"
Цель: Познакомить учащихся с квадратными уравнениями, дискриминантом, теоремой Виета.
Показать учащимся, как решаются квадратные уравнения различных видов.
Развивать внимание и логическое мышление учащихся.
Воспитывать аккуратность и четкость в записях учащихся.
Оборудование:
Ход урока:
- Оргмомент.
- Составление конспекта лекции.
Определение. Уравнение вида ax2+bx+c=0, где а, b и c - некоторые числа, причем а <> 0, а х - переменная, называется квадратным.
Примеры: 2х2+2х+1=0; -3х2+4х=0; 9х2-25=0. В каждом из уравнений назвать, чему равны коэффициенты.
Определение. Если в уравнении вида ax2+bx+c=0 хотя бы один из коэффициентов b или с равен 0, то уравнение называют неполным квадратным.
1. Если с=0, то уравнение имеет вид ax2+bx=0. Оно решается разложением на множители. Уравнение данного вида всегда имеет два корня, всегда один из них равен нулю.
Пример: 4х2+16х=0 Решить самостоятельно:
4х (х+4) = 0 3х2-6х=0
4х=0 или х+4=0
х=0 х= -4
Ответ: х=0, х= -4.
2. Если b=0, то уравнение имеет вид ax2+c=0. Оно решается только тогда, когда у коэффициентов а и с разные знаки. При решении уравнений применяет формулу разности квадратов.
Пример: 1) 1-4y2=0 2) 6х2+12=0
(1-2y) (1+2y) =0 Решений нет, так как это сумма квадратов, а не разность.
1-2y=0 или 1+2y=0 3) Решить самостоятельно -х2+3=0 2y=1 2y= -1 (3-х)(3+х)=0 y=0,5 y= -0,5 3-х=0 или 3+х=0 Ответ: y=0,5; y= -0,5 х= 3 х=-3 3. Если b=0 и с=0, то уравнение имеет вид ах2=0. Уравнение имеет единственный корень х=0.
Решение полных квадратных уравнений
Определение. Выражение вида D=b2-4ac называют дискриминантом квадратного уравнения.
Примеры. Вычислите дискриминант
2х2+3х+1=0, a=2, b=3, c=1 D=32-4* 2* 4= -23
5х2-2х-1=0, a=5, b=-2, c=-1 D=(-2)2-4* 5* (-1)= 24
Самостоятельно: вычислите дискриминант -2х2-2х+5=0, 3х2+7х-3=0.
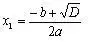
Для нахождения корней квадратного уравнения ax2+bx+c=0 пользуются формулами:
Если второй коэффициент является четным числом, формулу корней удобно записать в другом виде: ax2+2kx+c=0; D= k2-2ac, ![]()
Вывод:
1. Если D>0, то уравнение имеет два разных корня.
2. Если D=0, то уравнение имеет два равных корня.
3. Если D<0, то уравнение не имеет решений.
Примеры:
1) 3х2+5х-8=0
Решение:
a=3, b=5, c=-8, D=32-4E 5* (-8)= 121>0
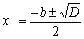
Ответ: ![]()
2) х2+5х+10=0
Решение:
a=1, b=5, c=10, D=52-4E 1* 10= -15<0
Ответ: корней нет.
3) Решить самостоятельно
х2-6х+9=0 a=1, b=-6, c=9
| I способ (х-3)2=0 | II способ D=(-6)2-4* 1* 9= 0 |
| х=6/2 | |
| х=3 | |
| Ответ: х=3. |
Решение задач с помощью квадратных уравнений.
Задача1. Сумма двух чисел равна 13, их произведение равно 40. Найдите эти числа
Решение: I+II=13, I * II=40
Пусть х - первое число, тогда (13-х) - второе число. Зная, что их произведение равно 40, составляем уравнение:
х (13-х)=40,
-х2+13х-40=0,
х2-13х+40=0,
D=(-13)2-4 * 1 * 40= 9
х1=8, х2=5.
Если первое число 8, тогда второе 5; если первое число 5, тогда второе 8.
Ответ: 8 и 5.
Теорема Виета.
Определение. Квадратное уравнение с первым коэффициентом, равным единице, называется приведенным x2+bx+c=0. Любое квадратное уравнение можно сделать приведенным.
5х2-2х+3=0. Разделим обе части уравнения на 5.
- приведенное квадратное уравнение.
Теорема Виета. Сумма корней приведенного квадратного уравнения равна второму коэффициенту, взятому с противоположным знаком, а произведение корней равно свободному члену.
Пример. Проверить теорему Виета для уравнения.
1) х2-9х+20=0.
х1+х2=9 х1=4 D=(-9)2-4* 20= 1
х1E х2=20 х2=5
, х1=4, х2=5
Ответ: х1=4, х2=5.
2) самостоятельно х2+16х+63=0
Обратная теорема. Если два числа в сумме равны b, а в произведении равны с, то эти числа являются корнями квадратного уравнения x2-bx+c=0.
Пример: 1) Составить квадратное уравнение, чтобы корни его были 2 и 3.
Решение. х1+х2=2+3=5, значит, b=-5
х1* х2=6, значит, с=6
Ответ: х2-5х+6=0.
2) самостоятельно х1=4, х2=6. Составить квадратное уравнение.
Определение. Уравнение вида ax4+bx2+c=0, называется биквадратным.
Биквадратное уравнение решается с помощью замены вида x2=t
Пример 1) x4-15x2-96=0
Решение
Пусть x2=t, тогда t2-15t-96=0
t1+t2=15, t1=16
t1* t2=-16, t2=-1
x2=16 x2=-1
х=G 4 корней нет
Ответ: х1=4, х2=-4.
2) самостоятельно x4-11x2-12=0.
Итог урока.
Домашнее задание. Выучить конспект, п 19-23, ответить на вопросы 1-5 после п. 23
Урок решения типовых задач.
Тема: Решение уравнений и задач с помощью составления уравнений.
Цели: Вырабатывать у учащихся умения и навыки по решению уравнения и задач, применяя теорему Виета и формулы корней квадратного уравнения.
Развивать логическое мышление и внимание учащихся.
Проверить усвоение теоретического материала по теме "Квадратные уравнения".
Оборудование; таблицы, кодоскоп, листочки для математического диктанта.
Ход урока:
- оргмомент.
- индивидуальная работа одного ученика у доски по карточке:
-
1. Запишите в общем виде квадратное уравнение.
2. Формула дискриминанта.
3. Формулы корней квадратного уравнения.
4. Теорема Виета.
- В) Устно по кодоскопу со всем классом.
-
1. Назовите коэффициенты в уравнениях
3х2-5х=0 -5х2+3х+6=0 х2-2х-2=0 4х2+7=0 3х2=9
2. Найдите корни уравнения
х2-2х-35=0 b2-10b+24=0
- Г) Математический диктант на листочках.
-
1. Запишите квадратное уравнение, у которого первый коэффициент 3 (-5), второй -5 (3), свободный член равен 0.
2. Запишите приведенное квадратное уравнение, у которого второй коэффициент и свободный член равны -2 (-3).
3. Запишите неполное квадратное уравнение, у которого первый коэффициент равен -5 (-3), свободный член равен 7 (5) и решите его.
4. Запишите неполное квадратное уравнение, у которого первый коэффициент равен 3 (5), второй коэффициент равен 5(7) и решите его.
- Работа с классом.
-
Решите уравнения.
1. 2х2+7х-9=0 2. 3х2=18х Решение: Решение: а=2, b=7, с=-9 3х2-18х=0 D=b2-4ac, D=49-4* 2* (-9), D=121, D>0 2 корня 3x(x-6)=0 
3x=0 или x-6=0 x=0 или х=6 Ответ: x1=1, x2=-4,5. Ответ: 0; 6. 3. 100х2-16=0, 4. х2-2х-35=0 Решение: Решение: (10x+4)(10x-4)=0 х1+х2=2 х1=7 10x+4=0 или 10x-4=0 х1х2=-35 х2=-5 х=-0,4 х=0,4 Ответ: х 1=0,4 х 2=-0,4 Ответ: х1=7; х2=-5 Решите задачи
1. Периметр прямоугольника равен 20 см. Найдите его стороны, если известно, что площадь прямоугольника равна 24 см2.
Решение: Пусть х см длина прямоугольника, тогда y см - ширина. Зная, что Р=20 см и S=24 см2составляем систему уравнений:
2(x+y)=20,
xy=24;
x+y=10, x=6 или х=4
xy=24 у=4 у=6
Ответ: 6 см и 4 см.
2. В уравнении x2+px-18=0 один из корней равен -9. Найдите другой корень и коэффициент р.
Решение: х1+х2=-p, -9+ х2= -р,
х1 * х2=-18; -9 * х2=-18 х2=2, тогда р=7.
Ответ: х2=2, р=7.
Итог урока.
Домашнее задание.
"3": Решите уравнения: 3х2+13х-10=0, 2х2-3х=0, 16х2=49, х2-16х+63=0.
"4" и "5": Решите задачи: 1. Периметр прямоугольника равен 30 см, а площадь 56 см2. Найдите его стороны. 2. В уравнении x2+11x+q=0 х1=-7. Найдите другой корень и коэффициент q.
Урок-зачет по теме "Квадратные уравнения".
Цели: Проверить знания учащихся, полученные на уроках по заданной теме.
Систематизировать знания, умения и навыки учащихся по решению квадратных уравнений.
Развивать логическое мышление учащихся.
Работать над четкостью и аккуратностью записей учащихся.
Оборудование: Зачетные карточки, рис.1, рис.2, кодоскоп.
Ход урока:
- Оргмомент.
- Устно по кодоскопу:
-
1. Укажите в квадратном уравнении его коэффициенты:
х2+4х+5=0, 3х2-2х-11=0, 12х2-4х=0, х2-3=0.
2. Решите уравнение: 4х2-9=0, 1- 4y2=0, 5u2-u=0.
- Работа учащихся у доски.
-
1. Решить уравнения 3х2-7х=0, х2-5=0.
2. Записать коэффициенты и вычислить D: -2х2+3х+7=0, 3х2-х+2=0.
3. Решить уравнение х2-х-12=0.
4. Составить уравнение по его корням:

5. Решить уравнения выделением квадрата: х2+8х-1=0, х2+10х+25=0.
6. Решить биквадратное уравнение: x4-13x2+36=0.
- Вопросы:
-
- Какое уравнение называется квадратным?
- Какое уравнение называется неполным квадратным?
- Виды неполного квадратного уравнения и способы их решения.
- Какое уравнение называется приведенным квадратным?
- Способы решения приведенного квадратного уравнения.
- Какое выражение называется дискриминантом?
- Сколько корней может иметь квадратное уравнение?
- Формулы корней квадратного уравнения.
- Как читается теорема Виета?
Дополнительно, на "4" и "5":
- Вывести формулу корней квадратного уравнения.
- Доказать теорему Виета и ей обратную.
- Какое уравнение называется биквадратным? Как оно решается?
Практическая часть зачета (в 4 вариантах, задания аналогичные).
1) Решить уравнения: 16х2-625=0, 100х2-10х=0, 3х2-5х-2=0, х2-6х-7=0.
2) Найдите два последовательных целых числа, сумма квадратов которых равна 221.
- Составьте квадратное уравнение, чтобы оно имело корни: 0 и 7/3, 1 и 10.
Итог урока.
Домашнее задание по [1] (на две недели):
"3": № 510 (а,д), 507 (б,г), 526 (а), 534 (а,б), 556.
"4": № 512 (а), 515, 526 (в), 536 (д,е), 551 (б), 559, 557.
"5": № 514 (б,д), 517, 525 (г), 540 (е,ж), 551 (а), 564, 567.
Обобщающий урок "Оцени себя" по теме "Квадратные уравнения".
Цели:
Обобщить, систематизировать и расширить знания учащихся по теме "Квадратные уравнения".
Развивать логическое мышление и элементы творческой деятельности учащихся.
Воспитывать стремление к непрерывному совершенствованию своих знаний, формировать дружеские отношения и умение контролировать свои действия.Оборудование: телефоны (2 шт.), кодоскоп, табло "Секундная стрелка", три подсказки (50х50, звонок другу, помощь зала), задания игрокам.
Ход урока:
- Оргмомент.
- Учащиеся разбиты на три группы.
Ведущая: учитель математики
Помощники: два ученика из класса.
Диктор: ученик класса.
I отборочный тур (на ответ 10 секунд). Расположите в порядке изучения нами тем.
1. Квадратные уравнения.
2. Квадратные корни.
3. Рациональные дроби.
Ответ: 3, 2, 1.
Победитель отборочного тура отвечает на 9 вопросов. Ответы: A, B, C, D. Оценка ставится в зависимости от числа правильных ответов: за три первых вопроса - оценка "3", за три следующих вопроса - оценка "4", за три последних - оценка "5". В случаях, когда количество ответов находится в промежутке между 3 и 6 или 6 и 9, оценка ставится по нижней границе интервала ответов. Участник может воспользоваться тремя подсказками.
Вопросы:
1. Квадратным уравнением называется уравнение вида …
a) ax2+bx+c=0; b) bx+c=0,; c) ax2+c=0,; d) ax2=0, где х- переменная и а<>0.
2. В каком из квадратных уравнений правильно указаны его коэффициенты?
a) 5х2-9х+4=0, a=5, b=9, c=4; b) х2+3х-10=0, a=1, b=3, c=-10;
c) -х2-8х+1=0, a=1, b=-8, c=1; d) 6х2-30=0, a=3, b=-30, c=0.
3. Решите уравнение 2х2=0. a) 2; b) -1; c) 1; d) 0 .
4. Какое из выражений называют дискриминантом?
a) d=b2-4ac; b) d=-(-b)2-4ac; c) d=b2+4ac; d) d=b-4ac.
5. Чему равен дискриминант квадратного уравнения 2х2+3х+1=0?
a) 0; b) 2; c) -1; d) 1.
6. При каком условии дискриминанта уравнение не имеет корней?
a) d>0; b) d>1; c) d<0; d) d=0.
7. Какой теоремой можно пользоваться при решении приведенного квадратного уравнения?
a) Пифагора; b) Виета; c) о сумме углов; d) нет такой теоремы.
8. Найдите значение корня † 2809. a) 35; b) 33; c) 53; d) 43 .
9. Решите уравнение х2-7х+10=0. a) 5 и 2; b) -5 и 2; c) -5 и -2; d) 5 и -2 .
Итог I тура. Рекламная пауза. Сообщение "Квадратные уравнения в Древнем Вавилоне". [2]
II отборочный тур. В какой последовательность был нами изучен материал по теме "Квадратные уравнения":
1. Решение задач с помощью квадратных уравнений.
2. Определение квадратного уравнения.
3. Решение квадратных уравнений по формуле.
Вопросы.
1. Как правильно пишется слово d?
a) дискриминант; b) дескриминант; c) дискреминант; d) дискрименант .
2. Сколько корней имеет квадратное уравнение, если d=25?
a) нет корней; b) 1; c) 2; d) 5 .
3. Какой формулой пользуемся при решении квадратного уравнения?
a)
b)
c)
d) 
4. Назовите, чему равна сумма и произведение корней квадратного уравнения х2-37х+27=0.
a) 37, 27; b) -37, 27; c) -37, -27; d) 37, -27 .
5. Найдите корни уравнения х2-6=0. a) 6; b) -6; c) +/- 6; d) 6.
6. Найдите подбором корни уравнения х2-9х+20=0.
a) -5 и -4; b) 9 и 11; c) 5 и 4; d) -5 и 4 .
7. В уравнении х2+pх-35=0 один из корней равен 5. Найдите другой корень.
a) -7; b) 7; c) 30; d) 35 .
8. Если в уравнении левая и правая части являются рациональными выражениями, то такие уравнения называются…
a) квадратными; b) неполными; c) целыми; d) рациональными.
9.Вычислите 552.
a) 3025; b) 2525; c) 2025; d) 110.
Итог II тура. Рекламная пауза. Сообщение "Как составлял и решал квадратные уравнения Диофант" [2].
III отборочный тур. При решении дробных уравнений целесообразно поступать следующим образом…
1. Исключить из его корней те, которые обращают в нуль общий знаменатель.
2. Решить получившееся целое уравнение.
3. Умножить обе части уравнения на общий знаменатель.
4. Найти общий знаменатель дробей, входящих в уравнение.
Вопросы.
1. Выберите биквадратное уравнение
a) k4-3k2+2=0; b) k3+3k2+k=0; c) k2+3=0; d) 4k2-k=0 .
2. При каком условии d уравнение имеет один корень? a) d=0; b) d<0; c) d>0; d) d=1.
3. Найди корни уравнения х2=-16. a) решений нет; b) 4, -4; c) 4; d) -4 .
4. Реши уравнение х2-8х+7=0. a) -7 и -1; b) -7 и 1; c) 7 и -1; d) 7 и 1 .
5. Автор учебника, где рассматривается тема "Квадратные уравнения"?
a) Виленкин; b) Погорелов; c) Пифагор; d) Макарычев.
6. Реши уравнение 2х2+3х=0. a) 0 и 1,5; b) 0 и -1,5; c) 0; d) 1,5 .
7. При каких значениях х верно равенство (3х+1)2=3х+1?
a) 0; b) -1; c) 1; d) нет таких значений .
8. Как устроен данный числовой "угол"? Как будет выглядеть следующая строка?
1
2 6
3 9 27
a) 4, 12, 36, 108; b) 4, 8, 16, 32; c) 4, 9, 13, 18; d) 4, 15, 26, 37 .
9. Вычисли 196+ 7396. a) 10; b) 14; c) 86; d) 100 .
Итог III тура. Рекламная пауза. Сценка на уроке алгебры в 8 классе - тема "Квадратный корень" (связь с биологией тема "Корень").
Итог урока. Выставление оценок учащимся.
Список литературы
1. Алгебра. Учебник для 8 класса общеобразовательных учреждений. Под ред. С. А. Теляковского. - М.: Просвещение, 2000.
2. Глейзер Г. И. История математики в школе. VII-VIII классы. - М.: Просвещение, 1982.

