Уроки алгебры в 10-м классе на тему "Разложение многочлена на множители. Теорема Безу. Обобщенная теорема Виета"
Урок 1
Тема: Многочлен и его корни.
Цель:
- повторить понятие одночлена и многочлена;
- квадратного трехчлена и его корней;
- дать определение корней многочлена.
I. Актуализация опорных знаний
Устно:
- выбрать многочлены, одночлены:
3x2b; -
ax3; 2x+4y2; 5a (bx+cy);
;
-какие из выражений являются квадратным трехчленом? Назвать коэффициенты:
2x2; -x2+3x-4; x3-x2+x;
x2-5;
-найти корни квадратного трехчлена:
x2-2x-63
3x2-12x+3
17x2-245
II. Изучение нового материала - лекция
1. Определение многочлена n-степени с одной переменной
- члены многочлена
- коэффициенты многочлена
Выражение a0xn + a1xn-1 + a2xn-2 + . . . an-1x + an, (1)
где a0, a1, a2, …, an-1, an - числа, причем a0≠0, х - переменная, называется многочленом n- степени с одной переменной.
Одночлены a0xn; a1xn-1; a2xn-2; . . . an-1x; an называются членами многочлена, числа a0, a1, a2, …, an-1, an - его коэффициентами.
Обозначают многочлен (1) Pn(x) или P(x).
2. Равные многочлены
Два многочлена Pn (x) и Qn(x) называются равными, если соответственно равны их коэффициенты при одинаковых степенях переменной. Записывают Pn(x) ≡ Qn(x)
3. Многочлен нулевой степени
Многочлен P0 (x) ≡ а, где а
R, а ≠ 0 считают многочленом нулевой степени.
4. Линейный двучлен
Многочлен P1 (x) = x + b, где а ≠ 0 называют линейным двучленом.
5. Квадратный трехчлен
Многочлен P2 (x) = ax2 + bx + c, где а ≠ 0 называют квадратным трехчленом.
III. Операции с многочленами
Сумма многочленов
Суммой двух многочленов Pn (x) и Qm(x) (n > m) называют многочлен Еn(х), коэффициенты которого равны сумме соответствующих коэффициентов многочленов Pn (x) и Qm(x).
Произведение многочленов
Произведением многочленов Pn (x) = a0xn + a1xn-1 + a2xn-2 + . . . an-1x
+ an и Qm(x) = b0xm + b1xm-1 + b2xm-2 + . . . bm-1x +
bm называют многочлен
где
![]()
Коммутативный, ассоциативный и дистрибутивный законы
Операции сложения и умножения многочленов подчиняются коммутативному, ассоциативному и дистрибутивному законам:
а) коммутативный:
P(x) + Q(x) = Q(x) + P(x); P(x) ∙ Q(x) = Q(x) ∙ P(x);
б) ассоциативный:
P(x) + ( Q(x) + Z(x) ) = ( P(x) + Q(x) ) + Z(x);
P(x) ∙ ( Q(x) ∙ Z(x) ) = ( P(x) ∙ Q(x) ) ∙ Z(x);
дистрибутивный:
P(x) ∙ ( Q(x) + Z(x) ) = P(x)Q(x) + P(x)Z(x).
IV. Закрепление материала
Сократить дробь
;
; ![]()
2. Упростить выражение
![]()
3. Выполнить сложение (найти сумму многочленов P(x) и Q(x))
а)P(x) = 3x2+2x-4
Q(x) = -3x2+5x+2
б) P(x) = 4x2+ x-8
Q(x) = 2x3 -x+4
в)P(x) = x5-2x3+ x-1
Q(x) = 3x4+x2
- Что можно сказать о степени суммы многочленов в зависимости от степени P(x) и Q(x)?
г) P(x) = 3x2+x
Q(x) = 4x5+3x3+2x2-3
д) P(x) = -1/2x3+3x2-x+12
Q(x) = 2x4-3x2+x-12
4. Выполнить умножение
а) P(x) = x3-3x2+3
Q(x) = 5x-2
б) P(x) = -x2+2x-4
Q(x) = 2x3-x2+x
5. Решить уравнение
a) x6-19x3-216=0
б) 2x4-3x2+5=0
V. Итоги урока
VI. Домашнее задание
1. Найти сумму, разность и произведение многочленов
a) P(x) = 3x3-5x2-1
Q(x) = x4-x3-7x2+13x-6
б) P(x) = 2x4+7x3-2x2-13x+6
Q(x) = 2x3+5x2-x-1
2. Упростить
а) (x+1)(x+2)(x+5)(x+4)
б) 2(x-1)(x+2)(x-1/2)(x+3)
3. Решить уравнение
а) x4+2x2-8=0
б) x6-3x3+2=0
Урок 2
Тема: Разложение многочлена на множители.
Цель:
- повторить разложение на множители квадратного трехчлена;
- сформировать навык деления многочлена на многочлен «уголком» и использования схемы Горнера для деления многочлена на линейный двучлен.
I. Повторение изученного материала - в виде самостоятельной работы
1. Решить уравнения
x2-10x+21=0
5y2+9y-2=0
2. Сократить дробь
; ![]()
3. Разложить на множители
x2-8x+15=0
x2-10x+21=0
x2-9=0
x2-16=0
II. Изучение нового материала - лекция
1. Деление многочлена на многочлен
P(x): Q(x) =Z(x) и R1(x) - остаток
P(x) = Q(x)Z(x)+R1(x) при R1(x)=0; P(x)
Q(x) - без остатка.
Схема Горнера для деления многочлена
a0xn + a1xn-1 + a2xn-2 + . . . an-1x + an на линейный двучлен x-a
. . .
. . .

В частном получаем многочлен (n-1) степени
a0xn-1 + b1xn-2 + b2xn-3 + . . . + bn-2x + bn-1 и остаток bn = abn-1 + an
Например:
(2x4-2x2+3x-1) : (x-2) = (2x3+4x2+6x+15) остаток 45
|
|
2 |
0 |
-2 |
3 |
-1 |
|
2 |
2 |
2*2+0=4 |
2*4+(-2)=6 |
2*6+3=15 |
2*15+(-1)=29 |
|
|
2x3 |
4x2 |
6x |
15 |
R=29 |
3. Деление «углом».

Метод неопределенных коэффициентов
(3x2 + 5x-2) : (x-3)
Пусть (ax + b) - некоторое частное, число с - остаток,
тогда
3x2 + 5x - 2 = (x-3)(ax + b) + c
3x2 + 5x - 2 = ax2 + (b-3a) x-3b + c
остаток 40.
III. Закрепление.
1. Выполнить деление «углом».
P(x) = x4 + x3 + 2x2 + x + 1 на Q(x) = x2 - x + 1
2. Методом неопределенных коэффициентов найти неполное частное и остаток от деления Р(х) на Q(x), выполнить проверку, используя деление «углом».
P(x) = х3-19х-3
Q(x) = х2 + 1
3. С помощью схемы Горнера поделить многочлен P(x) на линейный двучлен Q(x)
P(x) = 2х4-х3-9х2 + 13х-5
Q(x) = х-2
Найти остаток от деления многочлена P(x) на двучлен Q(x)
P(x) = х6-4х4 + х3-2х2 + 5
Q(x) = х + 3
IV. Итоги урока.
V. Домашнее задание.
1. Выполнить деление «углом».
P(x) = х4 + 2х3-3х2 + 5х-2
Q(x) = х2-2х-2
2. Методом неопределенных коэффициентов найти неполное частное и остаток от деления Р(х) на Q(x), выполнить проверку, используя деление «углом».
P(x) = х3-16х2 + 11х + 6; Q(x) = х2-1
С помощью схемы Горнера поделить многочлен P(x) на линейный двучлен Q(x)
P(x) = 2х5-6х4-3х2 + 4х
Q(x) = х + 2
3. Найти остаток от деления многочлена P(x) на двучлен Q(x)
P(x) = х6-х5-х4 + 3х3-2х2 + 5х-4
Q(x) = х + 2
Урок 3
Тема: Решение задач. Самостоятельная работа.
Цель: способствовать развитию навыков основных приемов деления многочлена на многочлен; контроль знаний учащихся.
I. Решение упражнений.
1. Найти остаток от деления многочлена на двучлен
а) 2х3-5х2 + 3х + 7 на х-2
б) х4 + х3 + х2-2х + 4 на х + 3
в) х2 + 5х + 6 на х-2
2. Доказать, что данный многочлен делится на данный двучлен без остатка
2х4-3х3-7х2 + 6х + 8 на х-2
2х3-х-5х2 + 1 на х + 1/2
3. Доказать тождество
2х4 + 7х3-2х2-13х + 6 = (х-1)(х + 2)(х + 3)(2х-1)
(рассмотреть разность правой и левой части и показать, что эта разность равна 0, подставляя х = 0; х = ± 1; х = ± 2.
Сделать вывод о разложении многочлена n - степени на множители:
a0xn + a1xn-1 + . . . + an = a0 (x - α1)(x - α2) . . . (x - αn), где α1; α; αn - корни этого множителя.
II. Самостоятельная работа (см. Приложение1)
III. Итоги урока
IV. Домашнее задание
Задание другого варианта самостоятельной работы.
Урок 4
Тема: Теорема Безу и обобщенная теорема Виета.
Цель: рассмотреть теорему Безу и обобщенную теорему Виета; учить раскладывать многочлен на множители, пользуясь теоремой Безу.
I. Анализ самостоятельной работы
Разобрать задания, в которых были допущены ошибки.
II. Изучение нового материала - лекция
- корень многочлена (х = а; Р(а) = 0)
- теорема Безу: остаток от деления многочлена Р(х) на линейный двучлен (х-
-а) равен значению этого многочлена при х = а, т.е. Р(а)
- рассмотреть 1 задание 2 варианта из самостоятельной работы и проверить его с помощью теоремы Безу
- следствия из теоремы:
1) если х = а корень многочлена Р(х), то Р(х)
(х-а)
2) если Р(х)
(х-а), то а - корень многочлена Р(х)
3) если многочлен Р(х) делится на (х-а)к, но не делится на (х-а)к+1, то число а называют корнем кратности к многочлена Р(х)
4) при к=1 корень называется простым.
5) Многочлен n-степени имеет не более чем n корней.
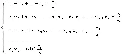
Обобщенная теорема Виета:
Пусть х1; х2… хn - корни многочлена
Р(х) = a0xn + a1xn-1 + an-1x + an
тогда

- рациональные корни многочлена
Р(х) = a0xn + a1xn-1 + an-1x + an с целыми коэффициентами имеют вид x =
, где m - делитель свободного члена an, p - делитель старшего коэффициента a0
- приведенный многочлен с целыми коэффициентами (a0 = 1) не может иметь дробных корней. Целые корни такого многочлена являются делителями его свободного члена.
III. Закрепление.
1) Доказать, что Р(х) делится на Q(x) без остатка
a) Р(х) = х8-5х6-3х2 + 7
Q(x) = х-1
б) Р(х) = х50-2х49 + х3-х-6
Q(x) = х-2
2) Решить у доски и в тетрадях: при каком значении а остаток от деления Р(х) на Q(x) равен R, если Р(х) = х3-3х2 + 5х + а;
Q(x) = х-1;
R = 4
3) Разложить на множители
а) х3-7х2 + 16х-12
б) х4-2х3 + 5х2-8х + 4
IV. Итоги урока
V. Домашнее задание
1. Разложить на множители
а) х4-3х3 + х2-3х-2
б) х5 + х4-6х3-14х2-11х-3
2. При каком значении а многочлен 2х5-3х3 + 11х2-х + а при делении на х + 2 дает в остатке 3?
3. Найти остаток от деления Р(х) на Q(x)
Р(х) = 3х4-2х3 + 5х2-х + 2
Q(x) = х-1
Урок 5
Тема: Решение упражнений. Подготовка к контрольной работе.
Цель: развивать навыки деления многочленов, разложения многочленов на множители, применения теоремы Безу и решению задач.
I. Актуализация опорных знаний
2 человека у доски выполняют задания на карточках:
|
К-1 |
К-2 |
|
1) Найти остаток от деления Р(х) на Q(х) |
|
|
Р(х) = х5 + х4-3х3 + 4х2-5х-6 Q(x) = х + 1 |
Р(х) = 2х4 + х3-3х2 + 7х-5 Q(x) = х-2 |
|
2) Разложить на множители |
|
|
х5 + х4-6х3-14х2-13х-3 |
х4-3х3 + х2 + 3х-2 |
В это время проводится устный опрос:
- что называется корнем многочлена?
- если многочлен Р(х) делится без остатка на: (х + 1); (х-4); (х-5);
(х + 2), то его корень равен…
- что значит разложить многочлен на множители?
- сколько корней может иметь многочлен n-степени?
- каким образом можно найти корни приведенного многочлена?
Р(х) = х3-8х2 + 13х-6
класс решает уравнение х3-8х2 + 13х-6 = 0
Затем делается проверка работ по карточкам.
II. Решение упражнений
- найти корни многочлена Р(х) и разложить на множители:
а) Р(х) = х4-3х3-14х2-20х-24
б) Р(х) = х3-19х-30
в) Р(х) = 2х3-3х2-11х + 15
г) Р(х) = 2х4-х3-9х2 + 13х-5
- решить уравнение:
а) х3-4х2 + х + 6 = 0
б) х4-2х3 + 5х2-8х + 4 = 0
- найти сумму и произведение корней многочлена Р(х)
а) Р(х) = х5-2х4-4х3 + 4х2-5х + 6
б) Р(х) = 3х3-17х2 + 13х-2
- представить многочлен Р(х) в виде многочлена Р(х - а), если
Р(х) = х4-4х3 + 7х2-12х + 12; а = -2
III. Итоги урока
VI. Домашнее задание
1. х3-х2-21 +45
2. х3-х2-8х + 12 = 0
3. Р(х) = х4-3х3-8х2 + 12х + 16
Урок 6
Тема: Контрольная работа по теме «Многочлены» (см. Приложение 2).