Способ раскрытия модуля
Одним из типов упражнений, рассматриваемых в курсе алгебры, особо выделяются упражнения, содержащие модули. Актуальность данных упражнений вызвана тем, что материалы ЕГЭ и вступительные работы в вузы содержат данный тип упражнений.
Если в задании модуль только один, то он легко раскрывается по определению. Но в решении упражнений, где количество модулей более чем один, у учащихся возникают затруднения, так как нужно определять знаки в одном и том же промежутке, но для различных подмодульных выражений и ещё учесть знаки из упражнения, стоящие перед модулем. В таких случаях мы пользуемся способом "решетки". Название условно, так как просто сопутствующий чертеж напоминает обычную оконную решетку.
Рассмотрим алгоритм решения упражнения способом "решетки":
- Вычислить значение переменной, обращающее каждый модуль в нуль.
- Начертить числовые прямые по количеству модулей в упражнении и подписать их.
- Нанести на числовые прямые значения переменной соответствующие пункту1.
- Провести вертикальные прямые через отмеченные точки.
- Определить знаки подмодульных выражений в " окошках решетки".
- Последовательно рассматривая вертикальные столбцы решетки с учетом уже расставленных знаков раскрыть модули.
- Решить полученные уравнения или неравенства, с учетом промежутков на которых раскрывали модули.
Пример 1:
Решить уравнение ![]()


Ответ: -7.
Пример 2:
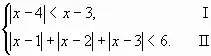
Решить систему неравенств 
Решим неравенство I , используя определение модуля.
![]()


Решение неравенства I: ![]()
Решим неравенство II используя метод "решетки".

![]()



Общее решение системы:

Ответ: ![]()
Методика использования показала, что такие упражнения могут успешно решать как учащиеся математического профиля, так и учащиеся общеобразовательного и гуманитарного профиля, так как наглядность чертежа резко снижает количество ошибок по невнимательности.