"Количественная оценка влияния давления на состояние химического равновесия"
Реакции, которые могут одновременно протекать в двух взаимно противоположных направлениях, называются обратимыми. Состоянием химического равновесия называется состояние системы, когда в ней протекает с одинаковой скоростью два противоположно направленных химических процесса.
Состояние химического равновесия характеризуется константой химического равновесия и зависит от ряда факторов, основные из которых - давление, температура, концентрация компонентов. Изменение хотя бы одного из этих факторов приводит к смещению равновесия. Под смещением химического равновесия понимают переход реакционной системы из одного состояния равновесия в другое.
Влияние различных факторов на состояние химического равновесия качественно описывается принципом смещения равновесия Ле-Шателье (1884г): если на систему, находящуюся в химическом равновесии, производится какое-либо внешнее воздействие, то оно способствует протеканию той из двух реакций, которая будет ослаблять это воздействие.
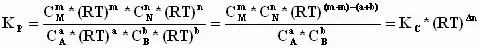
Величина константы химического равновесия может быть выражена через концентрации реагирующих веществ. Например, для обратимого процесса с участием газообразных веществ:
![]()
![]()
![]()
![]()
Для гомогенных реакций газов при небольших давлениях (когда газ подчиняется законам идеальных газов) вместо концентрации компонентов пользуются величинами соответствующих парциальных давлений. В этом случае выражение для константы химического равновесия выглядит следующим образом:
![]()
Далее с целью установления взаимосвязи между Kc и Kр обратимся к уравнению Менделеева-Клапейрона:

где с - молярная концентрация
Таким образом
т.е. ![]()
и т.д.
Тогда
![]()
Где
![]()
-изменение числа молей газов в результате прямой реакции.
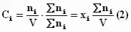
Чтобы количественно оценить процесс смещения химического равновесия и обнаружить зависимость величины константы равновесия от давления в системе необходимо константу равновесия выразить через молярные доли. С этой целью введём обозначения:
Сi - молярная концентрация i-го компонента
ni - число молей i-го компонента
V - объём смеси
ni - общее число молей газовой смеси
хi - молярная доля i-го компонента
Тогда:
![]()
![]()
![]()
Умножим числитель и знаменатель дроби (1) на
ni
![]()
Для идеальных газов ![]()
Исходя из этого выражения
![]()
С учетом этого преобразуем выражение (2)
(3)
Выразим константу химического равновесия с учетом выражения (3)

или ![]()
Известно, что константа химического равновесия, выраженная через парциальные давления реагентов (Кр) связана с константой химического равновесия, выраженной через равновесные концентрации компонентов смеси (Кс) уравнением
![]()
из которого следует, что
![]()
Подставим это выражение в уравнение (4)

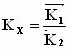
Таким образом, в отличие от КС и КР величина КX действительно зависит от давления:
(5)
Применим уравнение (5) с целью количественной оценки влияния давления на смещение химического равновесия процесса синтеза аммиака
![]()
![]()
Прямая реакция протекает с уменьшением числа молей газообразных веществ, т.е.
n<0, здесь
n=-2. Как следует из
уравнения (5) с увеличением значения Р величина КХ возрастает (при условии, что
n<0)
![]()
Таким образом быстрее растет скорость прямой реакции, т.к. константа химического равновесия - это всегда отношение константы скорости прямой реакции к константе скорости обратной реакции:

Химическое равновесие смещается вправо; увеличивается выход аммиака. Т.е. если прямая реакция идет с уменьшением числа молей газообразных компонентов, как в случае синтеза аммиака, то повышение давления приводит к более быстрому росту скорости прямой реакции. Причем, то, насколько сильно произойдет смещение химического равновесия, можно оценить количественно, используя выражение (5) и зная изменение числа молей газообразных компонентов в реакционной смеси.
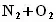
Рассмотрим обратимый процесс, сопровождающийся увеличением числа молей газов:
![]()
![]()
![]()
Т.е.
n>0, здесь
n=1
Тогда, исходя из выражения (5) можно заключить, что КХ тем больше, чем меньше Р. Значит для обратимых процессов, протекающих с увеличением числа молей газообразных веществ, рост давления способствует уменьшению константы химического равновесия. Это означает, что соотношение скоростей прямой и обратной реакций меняется в пользу последней.
В случае, если реакция протекает без изменения числа молей в газовой фазе, (
n=0) величины КХ=КР=КС , т.е. независимо от
способа выражения величина константы равновесия не зависит от давления, как, например, в случае процесса
![]()
![]()
![]()
Рассмотренные закономерности влияния давления на состояние химического равновесия справедливы для реакций с участием газовой фазы при низких давлениях, когда газ подчиняется законам идеальных
газов. В этих условиях изменение числа молей газообразных компонентов
n эквивалентно изменению объема газовой смеси
V.
Поэтому при повышении давления равновесие реакции смещается в сторону уменьшения объема, занимаемого системой. Для взаимодействий в твердой и жидкой фазах (без участия газовой) влиянием давления пренебрегают, т.к. эти взаимодействия сопровождаются малым изменением объема.