Построение графиков функций и зависимостей, содержащих знак модуля с использованием информационных технологий
Проблема: повышение уровня математической подготовка учащихся через решение задач повышенной сложности с использованием в учебном процессе современных информационных технологий.
При решении последних заданий в работах, предлагаемых на выпускных экзаменах за курс средней школы, а также при решении задач, предлагаемых на вступительных экзаменах в вузы по математике, могут быть использованы любые известные учащимся математические методы.
Как правило, применение «нестандартных» методов позволяет более эффективно решать многие задачи повышенной сложности. Мой опыт работы в школе показывает, что задания на построение графиков функций и зависимостей, содержащих знак модуля, вызывают у учащихся затруднения.
Цель работы: рассмотреть построение графиков трех видов: y = f(|x|), y = |f(x)|, |y| = f(x) - для дальнейшего применения данного материала на уроках алгебры, на факультативных и дополнительных занятиях.
Построение графиков функций и зависимостей, содержащих знак модуля
В методической литературе этому вопросу уделяется немало внимания; наблюдения показывают, что такие задачи вызывают у учащихся затруднения и они допускают ошибки при построении указанных графиков.
Одна из причин таких ошибок кроется, на мой взгляд, в непонимании учащимися определения модуля числа:
При работе над определением модуля числа учитель должен обратить внимание учащихся на то, что число - x может быть как отрицательное (при x < 0), так и положительное (при х > 0).
В курсе алгебры неполной средней школы на уроках и в период проведения внеклассной работы целесообразно рассмотреть построение графиков трех видов:
y = f(|x|), y = |f(x)|, |y| = f(x).
Для построение всех типов графиков учащимся достаточно хорошо понимать определение модуля и знать виды простейших графиков, изучаемых в школе.
Так, для построения графика функции y = f(|x|) на основании модуля имеем:
Следовательно, график функции y = f(|x|) состоит из двух графиков: y = f(x) - в правой полуплоскости, y = f(-x) - в левой полуплоскости.
Например:

После того, как учащиеся познакомятся с определением четной и нечетной функции, их можно познакомить с правилом 1.
Правило 1: функция y = f(|x|) - четная, поэтому для построения ее графика достаточно построить график функции y = f(x), для всех х ≥ 0 из области определения и отразить полученную часть симметрично оси ординат.
Знание этого правила облегчает построение графиков функций вида y = f(|x|).
Целесообразно предлагать учащимся строить графики двумя способами:
1) на основании определения модуля;
2) на основании правила 1.
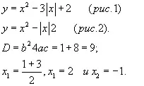
После знакомства с квадратичной функцией весьма интересным и полезным является построение графиков функций:

![]() |
![]() |
| Рисунок 1 | Рисунок 2 |
В старших классах после знакомства учащихся с графиками тригонометрических функций полезно построить графики функций y = sin(|x|), y = cos(|x|), y = tg(|x|), обратив внимание учащихся, что график функции y = cos(|x|) совпадает с графиком y = -cos(|x|) (y = cos(|x|) - четная функция).
В современном образовании одним из важных и актуальным вопросом является разработка методики внедрения и использования информационных, компьютерных и мультимедийных продуктов в учебном процессе.
Одной из удобной форм активизации передачи и восприятия информации, на наш взгляд, является компьютерная интерактивная презентация, которую целесообразно использовать учителю в качестве сопровождения при объяснении нового материала.
Пример слайдов компьютерной презентации, иллюстрирующих правило 1:



Знакомство учащихся с построением графиков функций вида y = |f(x)| лучше начинать сразу же, как только они хорошо усвоят определение модуля.
Правило 2: для построения графика функции y = |f(x)| для всех x из области определения, надо ту часть графика функции y = f(x), которая располагается ниже оси абсцисс (f(x) < 0), отразить симметрично этой оси.
Таким образом, график функции y = |f(x)| расположен только в верхней полуплоскости.
Пример: y = |x2 - 4|.
Строим график функции y = x2 - 4 (рис. 3).
![]() |
![]() |
| Рисунок 3 | |
Как правило, учащиеся хорошо понимают правило построения графика такой функции. Его можно легко довести до автоматизма. Во избежание формализма в знаниях и умениях учащихся необходимо чередовать построение графиков вида y = f(|x|) и y = |f(x)|.
С построением графиков зависимостей вида |y| = f(x) учащихся можно познакомить на внеклассных занятиях, ибо такие графики вызывают наибольшие затруднения. Учитывая, что в формуле |y| = f(x) f(x) ≥ 0 и на основании определения модуля
перепишем формулу |y| = f(x) в виде y = ±f(x), где f(x) ≥ 0.
Исходя из этого, можно сформулировать правило 3.
Правило 3: для построения графиков зависимости (а не функции) достаточно построить график функции y = f(x) для тех x из области определения, при которых f(x) ≥ 0 и отразить полученную часть графика, симметрично оси абсцисс.
Таким образом, график зависимости |y| = f(x) состоит из графиков двух функций: y = f(x) и y = -f(x), где f(x) ≥ 0.
Мы убедились, что учитель, проводящий урок с помощью компьютера, имеет возможность интенсифицировать процесс обучения, сделать его более наглядным, динамичным. Такие уроки вызывают большой интерес у учащихся, способствуют повышению качества знаний, расширяют горизонты школьной математики.

В соответствии с этим правилом можно предложить учащимся построить графики (рис. 4):
![]() |
![]() |
| Рисунок 4 |
Конечно, нет необходимости требовать от учащихся запоминания правил построения.
Пример экзаменационной работы:
![]()
|
X |
1 |
2 |
4 |
½ |
|
Y |
2 |
1 |
½ |
4 |
Так как |y| ≥ 0, x ≠ 0, x > 0 y = |f(|x|)|.
Правило 4: для того, чтобы построить график функции y = |f(|x|)|, надо скачала построить график функции y = f(x) при x > 0, затем при х < 0 построить изображение, симметричное ему относительно оси 0y, а затем на интервалах, где f(|x|) < 0, построить изображение, симметричное графику f(|x|) относительно оси Ох.
Рассмотрим еще несколько интересных заданий.
| 1. Построить график функции | ОДЗ: x ≠ -1 |

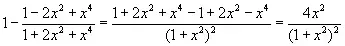
| 2. Построить график функции |
| 3. Построить график функции | ![]() |
Упростим:
Получим:

| 1) | |
| 2) | |
| 3) |
Все рассмотренные задания можно использовать на уроках алгебры, факультативных и дополнительных занятиях.






