Урок-сказка в 6-м классе "Координаты на плоскости и решение уравнений"
Цели:
- Создать условия для эффективного повторения по темам координаты на плоскости и решение уравнений.
- Способствовать развитию умственной деятельности и вычислительных навыков, в соответствии с индивидуальными особенностями обучающихся
- Формировать у обучающихся коммуникативность, умение сдерживаться и преодолевать трудности.
Ход урока
В некотором царстве, в некотором государстве жил- был царь. И была у него дочь красавица. Забавой ее звали. А умница-другой такой не сыскать. Вот царь решил, что пришла пора дочке замуж выходить. Разослал он приглашения добрым молодцам, и в назначенный срок явились добры молодцы во дворец. Много их собралось.
Никак Забава жениха себе выбрать не может. И придумала она для них испытание: кто построит Летучий корабль да прилетит на нем во дворец, за того она, Забава, замуж и выйдет.
Поспешили добры молодцы, как вы думаете, куда? Конечно в лес. Ведь в те давние времена корабли строили только деревянные. А лес - то за рекой. И дорога туда одна - через мост. Мост же подъемный и опустится только для тех, кто справиться с заданием:
1. Восстановите запятые в примерах:
а) 32+18=5 г) 736-336=4
б) 3+108=408 д) 57-4=17
в) 42+17=212 е) 63-27=603
Расставьте знаки действий так, чтобы равенства оказались верными:
а) 2,3*4,7*0,3=2,1
б) 0,2*0,3*0,5=1
в) 0,2*0,3*0,5=0
г) 0,2*0,3*0,5=0,25
д) 2,3*4,7*0,3=6,7
Молодцы! С заданием справились, мост опустился и добрались добры молодцы до леса. А лес тот не простой. Никакому топору не поддаются деревья.
Чтобы срубить дерево нужно сказать заветное слово, а это мы сможем сделать, выполнив следующее задание.
Вам предлагается решить пример, результат которого поможет вам выбрать нужную букву для составления заветного слова.
2.

1 2 3 4 5 6 7 8
п о ж а л у йс та
А, когда мы это слово используем в своей речи?
В словаре С.И. Ожегова слово «пожалуйста» - это выражение вежливого обращение, просьбы, согласия, ответа на благодарность.
Дружно работают молодцы, помогают друг другу. Решили строить один корабль. Интересно узнать, сколько времени они затратили на постройку корабля?
Считайте.
Задача.
Каждый молодец работал один день. Сколько же дней затратили молодцы работая вместе, если их было 8 человек?
Ответ: 1 день.
Давайте и мы построим свой Летучий корабль.
А (6;-3)
В(-6;3)
С(10;2)
Д(-10;2)
М(-2;2)
К(-2;10)
Н(4;0)
Чудные получились у вас корабли.
На какие геометрические фигуры можно разбить многоугольник представляющий собой контур нашего корабля.
Какие геометрические фигуры вы получили? (треугольник, трапеция, квадрат, четырехугольник).
Чтобы подняться на корабль нам нужно построить трап.
И каждое уравнение - это ступенька на лестнице. Чтобы быстрее справиться с этим испытанием, разбились добры молодцы на группы.
6х - 12 = 2 + 4 х = 4 - по
5х - 3х -1,3 = 1,1 х =1,2 - ле
10х + 3,72 = 5,69 х = 0,197 - те
3 + 11у = 203 + у у = 10 - ли
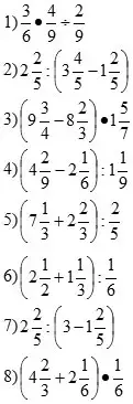
А в полет каждый молодец взял себе задание, для того, чтобы Забава могла выбрать себе суженого.
Откройте дневники и запишите домашнее задание.