Обобщающий урок по алгебре "Функция y = x2"
Цели урока:
- Образовательные:
- совершенствовать знания по следующим направлениям:
- нахождение наибольшего и наименьшего значения функции на заданном промежутке;
- построение и чтение графика кусочной функции;
- составление аналитической записи функции по её графику.
- Воспитательные:
- воспитывать аккуратность при построении чертежей и работе на доске, умение работать в группе.
- Развивающие:
- развивать вычислительные навыки и пространственное мышление учащихся.
Оборудование:
- чертёжный инструмент;
- проектор;
- экран.
Ход урока:
- Организационный момент.
- Выполнение устных заданий, спроектированных на экране, на нахождение наибольшего и наименьшего значения функции.
- Работа у доски.
- Устная работа с использованием проектора.
- Соревнование на построение и чтение графика кусочной функции.
- Составление аналитической записи функции по её графику.
- Выполнение задания повышенной сложности.
- Итог урока.
Ход урока
1. Организационный момент.
На экране появляются цели урока. Учащиеся по очереди читают цели, поставленные на данном уроке.
2. Устные задания.
К доске вызывается один человек выполнять следующее задание:
Задание 1.
Найти наибольшее и наименьшее значение функции у=х2:
а) на отрезке [1;3];
б) на отрезке [-3;-2];
в) на отрезке [-3;2].
Класс в это время выполняет устные задания, которые выводятся на экран.
Какому промежутку оси абсцисс соответствует выделенная часть графика, найти наибольшее и наименьшее значение функции. (Приложение 1)
Далее класс проверяет задания ученика, работавшего у доски.
3. Работа у доски.
Задание 2.
Найти точки пересечения параболы у=х2 и прямой у=х+2. (Один ученик выполняет у доски, остальные в тетради). Ответ: (-1;1); (2;4). (Рисунок 1)
Задание 3.
Решить уравнение: х2+2х-3=0.
Решение: х2 =3-2х;
у= х2 ;
у=3-2х.
Ответ: -3; 1.
Почему задания 2 и 3 мы выполняли одинаково, а ответы записали по разному?
Ответы учеников:
В задании 2 просили найти точки пересечения графиков, поэтому ответ мы записали в виде координат. В задании 3 надо решить уравнение, т.е. найти неизвестную величину х.
4. Устная работа с использованием проектора.
Следующие задания класс выполняет устно. Задания проектируются на экране. Затем ответы появляются на экране и сверяются с записями на доске.
Задание 4. (устно)
Дана функция:
f(х)= -3х+2.
Найти: f(0); f(3); f(а); f(х)+8; f(-х); f(2х).
Ответ:
f(0) = 2
f(3) = -7
f(а) = -3а+2
f(х)+8 = -3х+10
f(-х) = 3х+2
f(2х) = -6х+4
Аналогично выполняется следующее задание.
Задание 5. (устно)
Дана функция:
| f(х) = | ![]() |
х2, если х <-4,5 |
Вычислить: f(-5) = 25; f(-4) = 23; f(3) = -5; f(-6) = 36; f(0) = 7;
- Как называется функция, предложенная в последнем задании? (Кусочная).
- Сейчас мы посмотрим, как вы умеете строить кусочные функции.
5. Соревнование.
В соревновании участвуют три команды (по рядам). К доске выходят три ученика, им выдаётся задание. Первая тройка учеников записывает задание на доске, следующая строит координатную плоскость, далее ученики по эстафете строят функцию по частям. Последняя тройка учеников описывает свойства своей функции. Побеждает та команда, у которой правильно и аккуратно выполнен чертёж.
Команда 1.
Постройте график функции:
| у = | ![]() |
-1, если –4 ≤ х ≤ -1 |
Команда 2.
Постройте график функции:
| у = | ![]() |
х2, если -3≤х≤0 |
Команда 3.
Постройте график функции:
| у = | ![]() |
х2, если -3≤х≤-1 |
6. Составление аналитической записи функции по её графику.
Задание 6.
Составьте аналитическую запись функции по предложенному (на экране) графику:
Ученики по одному вызываются к доске. (Приложение 1)
Ответ:
| у = | ![]() |
2х, если -2≤х<1 2, если 1≤х≤4 |
у = | ![]() |
2, если -5≤х<-2 -х, если -2≤х≤4 |
у = | ![]() |
х2, если -2≤х<0 -х, 0≤х≤4 |
| у = | ![]() |
х2, если -1≤х<2 4, если 2≤х≤3 |
у = | ![]() |
х2, если -2≤х<0 х, если 0≤х<2 2, если 2≤х≤4 |
у = | ![]() |
х, если -4≤х<0 3х, если 0≤х<1 3, если 1≤х≤3 |
| у = | ![]() |
3, если -3≤х<-1 3х,если -1≤х≤0 х2, если 0<х≤2 |
у = | ![]() |
-х, если -4≤х<-1 х2, если -1≤х≤1 2х, если 1≤х |
7. Выполнение задания повышенной сложности.
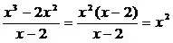
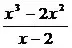
- Мы работали с линейными функциями, с функцией у=х2, а сейчас я предложу построить график функции, в которой содержится неизвестная третьей степени. На экране появляется задание.
Задание 6.
Дана функция: у =
. Построить и прочитать её график.
(Ученики должны догадаться, что данную функцию надо упростить, если необходимо, подвести их к этой мысли).
у =
.
Итак, необходимо построить функцию у=х2, но учесть, что х не равен 2.
Построения выполняются на доске, затем ученики по очереди описывают свойства этой функции.
- Область определения функции состоит из двух открытых лучей (-∞; 2) и (2; +∞).
- унаим.=0 (при х=0), унаиб. не существует.
- Функция прерывается в точке х=2.
- у=0 при х=0.
- у>0, если х€(-∞; 0), если х€(0; 2) и если х€(2; +∞).
- Функция убывает на луче (-∞; 0] и возрастает [0; 2) и (2; +∞).
8. Итог урока.
На экране по очереди появляются три задания, выполненные на уроке, соответствующие разным целям урока. Ученики отвечают на вопрос, какое задание мы выполняли с каждым из предложенных рисунков.
Домашнее задание: № 1046, № 1052, повторение № 1003 (в, г).
