Решение показательных уравнений с параметрами
Цели урока: Учащиеся должны знать способы решений уравнений вида
- показательная функция и уметь применять при
решении задач.
Ход урока.
Для первой группы учащихся выдавались следующие задания.
Для каждого значения a решить уравнения:

Задания для второй группы учащихся.
Указать число решений в зависимости от параметра а.

Третья группа решает уравнения, сводящиеся к квадратным.
Задание 1. Решить уравнение p · 4x - 4 · 2x + 1 = 0 и указать число решений в зависимости от параметра p.
Задание 2. При каких a уравнение 9x + (2a + 4) · 3x + 8a + 1 = 0 имеет единственное решение.
Задание 3. Указать число решений уравнения 49x + 2p · 7x + p2 - 1 = 0 в зависимости от параметра p.
Задание 4. При каких значениях p уравнение 4x - (5p - 3) · 2x + 4p2 - 3p = 0 имеет единственное решение.
Выступление первой группы - решение показательных уравнений вида ![]()
Докладывает лидер первой группы и привлекает к своему докладу участников этой группы. То есть диалог идёт ученик - ученик.
Решение исходного уравнения сводится к решению линейного уравнения с параметрами kx = b.
Если k = 0, b = 0, то 0 · x = 0, - любое действительное число.
Если k = 0, b ≠ 0, то 0 · x = b - нет решений.
Если k ≠ 0, то
, один корень.
Задание 1. Решить уравнение
.
Докладчик решает у доски с комментариями, остальные записывают в тетрадях.

Значит уравнение (1) можно представить в виде (a - 1)(a + 4)x = (a - 1)(a - 1)(a - 3).
Исследуем полученное уравнение:

Ответ:

На этом выступление первой группы закончено. Решение остальных заданий этой группы см. Приложение, стр. 1.
Выступление второй группы - решение уравнений вида ![]()
Докладывает лидер второй группы и привлекает к обсуждению этого вопроса всех учащихся. Исходное уравнение равносильно уравнению ax2 + bx + c1 = c0, или ax2 + bx + c = 0.
Далее идёт диалог ученик-ученик.
- Какое уравнение получили? - Это уравнение степени не выше второй.
- При a = 0, bx + c = 0, получили линейное уравнение, которое может иметь одно решение, не иметь корней, или иметь бесконечное множество решений.
- При a ≠ 0, ax2 + bx + c = 0, квадратное уравнение.
- От чего зависит число решений квадратного уравнения? - Число решений квадратного уравнения зависит от дискриминанта. Если D = 0 то квадратное уравнение имеет одно решение. Если D > 0, то два решения. Если D < 0, то решений нет.
Задание 1. Решить уравнение
.
Данное уравнение равносильно (a - 1)x2 + 2(a + 3)x + a + 2 = 0.

Ответ:

На этом выступление второй группы закончено. Решение остальных заданий этой группы см. Приложение, стр. 2.
Выступление третьей группы - решение уравнений вида af2(x) + bf(x) + c = 0, где f(x) - показательная функция. Способ решения - введение новой переменной. f(x) = t, t > 0.
Слово предоставляется выступающему от третьей группы. Он докладывает, что их группа решала уравнения вида: (1) af2(x) + bf(x) + c = 0, где f(x) - показательная функция. Способ решения - введение новой переменной. f(x) = t, t > 0.
Исходное уравнение (1) равносильно

Далее докладчик задаёт вопросы, а учащиеся отвечают на них.
При каких условиях уравнение (1) имеет один корень?
- При a = 0 уравнение (2) становится линейным, значит может иметь только один корень, и он должен быть положительным.
- Если D = 0, уравнение (2) имеет один корень, и он должен быть положительным.
- Если D > 0, уравнение (2) имеет два корня, но они должны быть различных знаков.
- Если D > 0, уравнение (2) имеет два корня, но один из низ нуль. А второй положительный.
При каких условиях уравнение (1) имеет два корня?
Исходное уравнение имеет два корня, если уравнение (2) имеет два корня и оба они положительны.
При каких условиях уравнение (1) не имеет корней?
- Если D < 0, то исходное уравнение не имеет корней.
- Если D ≥ 0.
а) Уравнение (2) имеет один корень, но он отрицательный.
б) Уравнение (2) имеет два корня, но они оба отрицательные.
в) Уравнение (2) имеет два корня. Но один из них нуль, а другой - отрицательный.
Результаты обсуждения этого вопроса заносятся в таблицу.

Далее докладчик решает на доске и класс вместе с ним.
Задание 1. Решить уравнение p · 4x - 4 · 2x + 1 = 0 и указать число решений в зависимости от параметра p.

Ответим на вопрос: При каких значениях p уравнение (1) имеет один корень?
- Если
одно решение. Обсуждается вопрос какие ещё могли быть варианты при t = 0 - нет решений, при t < 0 -
нет решений.
. Это необходимое условие того, чтобы был единственный корень в уравнении (1). Достаточность нужно проверить.
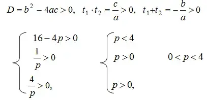
одно решение- Если p ≠ 0, D > 0.
Уравнение будет иметь единственное решение при условии. Что дискриминант уравнения (2) есть число положительное, но корни при этом имеют различные знаки. Эти условия достигаются с помощью теоремы Виета. Чтобы корни квадратного трёхчлена были действительными и имели различные знаки, необходимо и достаточно выполнение соотношений.

Итак, уравнение (1) имеет единственное решение при p ≤ 0, p = 4.
Теперь остаётся ответить на вопрос. При каких условиях исходное уравнение (2) имеет два решения? Это возможно, если уравнение (2) имеет два корня и оба они положительны. По теореме Виета для того, чтобы корни квадратного трёхчлена были действительными и при этом оба были положительными, необходимо и достаточно выполнение соотношений.

Исходное уравнение имеет два корня при 0 < p < 4.
Осталось выяснить при каких значениях p исходное уравнение не имеет корней. Это возможно в двух случаях. Если D < 0, и если D > 0, то уравнение (2) имеет корни, но они оба отрицательны.
Итак, D < 0, 16 - 4p < 0, p > 4. При p > 4 - нет решений. Второе условие равносильно следующим соотношениям.

Значит уравнение (1) не имеет решений при p > 4.
Ответ:
- При p = 4, p ≤ 0 одно решение.
- При 0 < p < 4 два решения.
- При p > 4 нет решений.
На этом выступление третьей группы закончено. Решение остальных заданий этой группы см. Приложение, стр. 3.
Домашнее задание.
Задание 1. Найти все значения параметра a, при которых уравнение (a - 3) · 4x - 8 · 6x + (a +3) 9x = 0 не имеет корней.
Задание 2.Указать число решений уравнения p · 2x + 2-x - 5 = 0 в зависимости от параметра p.
Задание 3. Выяснить при каких значениях a уравнение
. имеет решения, найти эти решения.
Задание 4. Найти все значения p при которых уравнение (p - 1) · 4x - 4 · 2x + (p + 2) = 0 имеет хотя бы одно решение.
Задание 5. Указать число решений уравнения a · 12|x| = 2 - 12-|x| в зависимости от параметра a.