Урок алгебры в 11-м классе "Нестандартные приемы решения иррациональных уравнений"
Цели урока:
- обучающие: формирование умений открывать закономерности, находить способы решения задачи в результате обобщения, устанавливать логические связи между этапами решения задач; продолжить формирование умений решать иррациональные уравнения нестандартными способами;
- развивающие: развитие у учащихся умения анализировать задачу перед выбором способа ее решения; навыков исследовательской деятельности, синтеза, обобщения; продолжить формирование логического мышления при переходе от частного к общему;
-
воспитательные: активизация интереса к приобретению новых знаний, умений и навыков; Данный урок позволяет:
- повторить основные теоретические понятия;
- закрепить основные способы решения иррациональных уравнений;
- возместить отсутствие единого обобщения по данной теме в курсе алгебры 11-го класса;
- закрепить нестандартные приемы решения иррациональных уравнений.
Ход урока
1. Организационный момент.
2. Объявление темы, целей и задач урока, мотивация учения.
Продолжим совершенствовать умения и навыки решения иррациональных уравнений. Самостоятельность, ответственность, организованность во время работы поможет сделать шаг вперед по пути саморазвития, самосовершенствования.
3. Повторение и актуализация опорных знаний.
Какие уравнения называются иррациональными?
h.gif" align="absmiddle" WIDTH="73" HEIGHT="26" align="absmiddle"
О чем приходится задумываться и помнить при решении иррационального уравнения? Уравнение, содержащее переменную под знаком радикала, называется иррациональным. При решении иррациональных уравнений используют тождественные преобразования, применяют метод возведения обеих частей уравнения в одну и ту же степень, а также метод введения новых переменных.
Основными причинами появления посторонних корней является возведение обеих частей уравнения в одну и ту же чётную степень, расширение области определения и др. По этим причинам необходимой частью решения иррационального уравнения является проверка, либо использование области определения заданного уравнения.
| Уравнение | Решение | На что обратить внимание | |
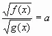
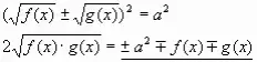
![]() |
|||
![]() |
|||
![]() |
|
Аналогично предыдущему. | |
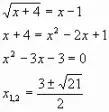
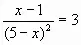
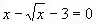
№ 1.
![]() |
ОДЗ:
|
Дополнительное условие:
|
| Найденное значение |
||
Ответ: ![]()
4. Решение уравнений нестандартными приемами.
Рассмотрим несколько уравнений и найдем наиболее рациональные способы решения. № 2.
|
Для решения уравнения введем новую переменную:
|
|
Ответ: 3
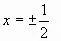
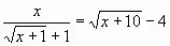
№ 3.
![]()
| 1 способ | 2 способ |
|
Введем новую переменную
|
Возведем в куб:
|
Проверкой убеждаемся, что
корни уравнения.
Ответ: ![]()
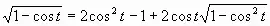
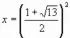
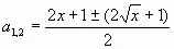
№ 4.
![]()
ОДЗ: ![]()
То, что
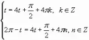
, должно навести учащихся на мысль о применении тригонометрической подстановки
. Тогда:
![]()
![]()
![]()
![]()
Так как ![]()
![]()
![]()
![]()
![]()
. Откуда 


Но
, поэтому остается
. Следовательно,
.
Ответ: ![]()
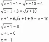
№ 5.
.
Данное уравнение решим искусственным приемом - домножением на сопряженное выражение, но сначала убедимся, что
.
![]()
![]()
![]()
Подставим х=0 в уравнение:
.
- неверно => 0 - не корень
(заметим, что если найденное значение является корнем, его не забыть записать в ответ!).
Пусть
.
![]()

Ответ: ![]()
№ 6.
![]()
И здесь домножим на сопряженное:
![]()
![]()
![]()
![]()
Второй сомножитель не обращается в 0, а
.
Проверкой убеждаемся, что х=2 корень уравнения.
Ответ: ![]()
№ 7.
![]()
ОДЗ: ![]()
Рассмотрим функцию
.
- абсцисса вершины параболы, следовательно
левая часть уравнения - сумма возрастающих на ОДЗ функций, правая часть уравнения - постоянная. Значит, уравнение может иметь не более одного корня. Подбором находим
. Проверка:
, 2=2 - верно.
Ответ: ![]()
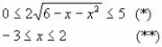
№ 8.
![]()
ОДЗ: 

![]()
1) Оценим левую часть.
![]()
![]()
![]()

Сложив неравенства (*) и (**), получим: ![]()
2) Оценим правую часть.
![]()
![]()
![]()
![]()
![]()
3) Оценив левую и правую часть уравнения, приходим к выводу, что
![]()
![]()
![]()
.
Но, подставив найденное значение
в уравнение, получаем
-
неверно, следовательно, корней нет.
Ответ: корней нет.
№ 9.
ОДЗ:
Дополнительное условие:
![]()
![]()
![]()
Рассмотрим более общее уравнение с параметром:
, совпадающее с (*) при
. Запишем (**) как квадратное относительно
:
![]()
![]()
![]()
![]()
![]()
![]()
![]()
Разложим (**) на множители: ![]()
или ![]()
Вернемся к ![]()
или ![]()
![]()
![]()
![]()
- не удовлетворяет дополнительному условию.
Ответ: 1.
№ 10.
![]()
ОДЗ: ![]()
1) Непосредственной подстановкой убеждаемся, что
является корнем:
![]()
2) ![]()
3) Внесем
под знак корня.
а) При
,
,
:


Пусть
, тогда:
Дополнительное условие: ![]()
![]()
![]()
б) При
,
,
:

![]()
Пусть
, тогда:
![]()
Дополнительное условие: ![]()
![]()
![]()
![]()
![]()
![]()
![]()
![]()
![]()
![]()
![]()
Ответ: 5;
.
5. Итог урока.
Для решения иррациональных уравнений можно применять введение новой переменной; домножение на сопряженное; тригонометрическую подстановку; использование монотонности функций; метод оценки левой и правой частей уравнения. Необходимо обратить внимание учащихся на то, что не всегда нужно искать область допустимых значений переменной, иногда проще в конце решения сделать проверку или следить за равносильностью преобразований. Рассмотренные методы и приемы решения иррациональных уравнений и неравенств позволяют решать огромное количество различных задач.




