Один из методов решения уравнений с параметром
Уравнениями с параметром называются уравнения, у которых коэффициенты заданы не конкретными числовыми значениями, а обозначены буквами.
Решить уравнение с параметром – это значит:
а) исследовать, при каких значениях параметров уравнение имеет корни и при каких не имеет;
б) выяснить количество корней при различных значениях параметров;
в) найти все выражения для корней.
Уравнения с параметром весьма различны по структуре:
Моя работа посвящена отысканию метода решения уравнений с параметрами вида
F(xn; p2) =0
В основе этого метода лежит взгляд на параметр, как на переменную, т.е. уравнение F(xn;p?)=0 можно рассматривать как квадратное относительно параметра р.
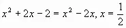
Задача 1. Пусть нужно решить уравнение с параметром
![]()
Преобразуем данное уравнение

Это уравнение 4-й степени относительно х, причём содержит
и
. Как его решить? Но заметим, что это уравнение является
квадратным относительно
, т.е. вида
. Применим наш метод:
1. Перепишем уравнение в виде
, т.е. рассмотрим его как квадратное относительно
.
2. Найдем корни уравнения по формуле корней квадратного уравнения:
![]()

3. Далее используем графический метод. В системе координат
построим параболы
,
и
, ![]()

4. Найдём точки пересечения графиков функций. Для этого приравняем
, отсюда
, т.е. точка пересечения единственная
.
5. По рисунку видно, что горизонтальная прямая не имеет общих
точек с параболами, если она проходит ниже
, т.е.
при
данное уравнение не имеет корней
при
уравнение имеет единственный корень ![]()
при
уравнение имеет два корня
т.к. прямая имеет две
точки пересечения с параболой
, отсюда
,
,
![]()
при
и
- три корня
при

при

при
и
уравнение имеет четыре корня 
Этот метод не является универсальным, но во многих случаях является весьма результативным и позволяет решать уравнения повышенной сложности, второй степени и выше.
Задача 2. Определить число корней уравнения в зависимости от параметра а х4-10х3-2(а-11)х2+2(5а + 6)х +2а + а2 =0 (1)
Решение. Уравнение является квадратным относительно
параметра а. Перепишем (1) в виде
(2)
Найдём дискриминант
![]()
Решая уравнение (2), находим

Построим в системе координат (х; а) графики функций
![]()
и
(рис 2)

Найдем точки пересечения графиков функций. Для этого приравняем
отсюда
. Далее рассуждая аналогично, как и в задаче 1,
получим
Ответ: если
, уравнение корней не имеет;
если
один корень;
если
, уравнение имеет два корня;
если
три корня;
если
- четыре корня.
Задача 3. Найти все значения параметра р, при
которых уравнение
(3)
имеет ровно три решения.
Решении. Уравнение (3) является квадратным относительно р. Перепишем его в виде
![]()
Найдем корни уравнения


В системе координат (х; р) построим параболы
и
(рис.2)
Данное уравнение имеет три решения при тех значениях параметра р, при которых горизонтальная прямая имеет три точки пересечения с параболами. Таким образом, уравнение (3) имеет три решения в следующих случаях:
1) прямая проходит через вершину одной параболы и пересекает
другую в двух точках. Это возможно, когда
т.е. при
уравнение
имеет три решения;
2) прямая проходит через точку пересечения парабол. Найдём абсциссу точки пересечения парабол, для этого решим уравнение
![]()
Если
то
т.е. при
прямая пересекает параболы в
трех точках, значит, исходное уравнение имеет три корня.
Ответ:
![]()
Задача 4. При каких значениях параметра а существует единственная пара (х; у), удовлетворяющая уравнению
(4)
Решение: Уравнение – квадратное относительно х.
(5)
1. Контрольным значением параметра является число
, при
котором уравнение (5) примет вид
отсюда
. Видно,
что в этом случае решениями уравнения будут все пары
, т.е. при
исходное уравнение имеет бесконечное множество решений.
2. Пусть
. Дискриминант уравнения (5)
![]()
Если
т.е.
, то
, исходное уравнение имеет решение только
тогда, когда
, а
- единственное решение.
Если же
, исходное уравнение относительно х имеет
решение при любом у.
Ответ:
.
Задача 5. Решите уравнение
(6)
относительно х
Решение. Уравнение является квадратным относительно р. Перепишем уравнение (6) в виде
(7)
Дискриминант квадратного уравнения (7)
![]()
Решая (7), получим

Здесь возможны случаи.
1. Уравнение (6) имеет четыре корня, если
![]()
Решая систему, получаем
. Таким образом, при
уравнение
(6) имеет четыре корня
, ![]()
2. Уравнение (6) имеет три корня, если
![]()
Решая систему, получим
Значит, при
уравнение
(6) имеет три корня ![]()
3. Уравнение (6) имеет два корня, если
![]()
Решая систему, получим
, значит, при этих значениях
параметра р уравнение (6) имеет два корня ![]()
4. Уравнение (6) имеет один корень, если
![]()
Решая систему, получим
. Следовательно, при
решением
уравнения (6) будет
.
5. Уравнение (5) не имеет корней, если
![]()
Ответ: если
- корней нет;
если ![]()
если
;
если ![]()

если ![]()
Этот метод не является универсальным, но во многих случаях является весьма результативным и позволяет решать уравнения повышенной сложности. Иногда трудно предвидеть будет ли применение этого метода результативным, но такие уравнения существуют и поэтому его надо знать.
Например, с помощью этого метода можно решить следующие уравнения:
из сборника для подготовки к ЕГЭ.
из сборника Сканави

и другие.