Показательные и логарифмические уравнения и неравенства
Цели урока:
- обобщение и систематизация знаний учащихся по теме "Показательная и логарифмическая функция";
- закрепление навыков решения показательных и логарифмических уравнений и неравенств;
- развитие грамотной устной и письменной математической речи учащихся.
Ход урока
1. Организационный момент:
Сообщение темы урока, его целей.
2. Математический диктант.
Выполняется под копирку в двух вариантах, с последующей взаимопроверкой.
3. Устная работа.
4. Решение упражнений.
Работа у доски.
5. Самостоятельная работа
(в группах)
Класс разбит на группы. Каждая группа получает задание.
В конце урока - выборочно решить те уравнения, которые вызвали затруднения.
6. Итог урока.
Математическая диктант.
1 вариант
1. верно ли, что показательная функция:
а) определена на всём множестве действительных чисел?
б) является четной
в) принимает значение равное 1?
г) имеет экстремумы?
д) принимает значение от -
до +
?
2. Записать формулу:
а) а logab=
б) loga b/с =
в) log a k b =
3. Вычислить:
Lg34- lg3,4; log324; -log35; 2log232; 2log225; log2log216; log816+log84
4. Найти О.О.Ф.
а) y = log3(x-1)
б) y = lg |x|;
в) y = log5(-x2)
2 вариант
1. Верно ли, что логарифмическая функция:
а) принимает значение, равное 0?
б) определена на множестве положительных чисел?
в) является нечетной?
г) имеет наибольшее (наименьшее) значение?
д) принимает только неотрицательные значения?
2. Записать формулу:
а) logabc =
б) logabn =
в) logab =
(переход к новому основанию)
3. Вычислить:
Log1/81/4; (2log27)2; 10log100; 3 log264; log3log327; log333- log311; lg25+ lg4
4. Найти О.О.Ф.
а) y = log2(3-x)
б) y = log5(-x)
в) y = ln |1/x|
Устная работа.
"Найди ошибку". Задания спроецированы на доску.

Решение задач.
У доски работают 4 ученика.
Задание: решить уравнение или неравенство.
- log3(log22(x-4)) = 0
- log3(4*3x-1) = 2x+1
- (3/2)x2-6x-10< 8/27
- log2(x+14)+2 log4(x+2)< 2log1/2 1/8
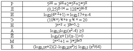
Групповая работа.
1 группа
Решив задания, вы узнаете другое название показательной функции.

| 10 | 3 | [2; + |
0 | (0;1) | -3 | (-1; |
-3 | (- |
2 |
(экспонента)
2 группа
Выполнив упражнения, вы узнаете фамилию ученого, который вывел формулы, связывающие тригонометрические функции с показательной.

| 10 | (-1; 0) | 5 | (0; 2] | 1 |
(Эйлер)
3 группа
Выполнив задания, вы узнаете, как И. Ньютон называл функцию.

(Флюента)
4 группа
Выполнив задания, вы узнаете фамилию французского математика, который ввел термин "производная".

(Лагранж)
Итог урока, оценка работы учащихся.
Литература:
- Ш.А. Алимов, Ю. М. Колягин и др. "Алгебра и начала анализа". Учебник для 10 -11 классов. - М. ; Просвещение,2002.
- Е.Б. Ваховский, А.А.Рывкин. "Задачи по элементарной математике повышенной трудности". - М.; Наука, 1969.
- А.Я. Симонов, Д. С. Бакаев, А. Г. Эпельман и др."Система тренировочных задач и упражнений по математике".- М.; Просвещение,1991.
- Математика. Еженедельное приложение к газете "Первое сентября" №34 - 2000 Статья Н. Гутман.
- П.В. Чулков."Уравнения и неравенства в школьном курсе математики" - М.; Педагогический университет "Первое сентября", 2006.