Урок-игра по теме "Производная", 11-й класс
Цели урока:
- повторение основных методов и навыков техники дифференцирования,
- воспитание ответственности всех членов коллектива, умение работать в команде,
- ознакомление учащихся с некоторыми историческими сведениями.
Перед уроком ученики были разбиты на 2 однородные группы (в каждой группе есть ''продвинутые'' и слабые ученики).
Если в классе много учеников, то можно разбить на большее количество групп, карточки которых повторяются. В этом случае можно устроить соревнование на скорость выполнения заданий.
Ход урока
Учитель На предыдущих уроках мы с вами находили производные различных функций. Какими формулами мы пользовались?
Ученики Формулами производной линейной, степенной и трансцендентных функций.
Учитель Какие правила необходимо еще знать для нахождения производной функций?
Ученики Правила дифференцирования.
Учитель Сегодня мы применим наши знания и умения для того, чтобы больше узнать о производной и о других интересных фактах из истории математики.
Вы получаете карточки с заданиями (каждая группа получает свою карточку).
Через 15 -20 минут один представитель группы может готовить решение понравившегося примера на доске (можно по тетради).
Для удобства на доске вывешены формулировки заданий каждой группы. Представитель группы должен записать решения примеров и расшифрованный ответ рядом с формулировкой.
Пока ребята будут готовиться у доски, остальные продолжают работу в группах, решая предложенные задачи. (Учитель раздает задания ученикам).
Пока ученики готовятся, учитель может проконсультировать более слабую группу по непонятным ей вопросам.
Задания команде №1
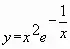
1.Расшифруйте, как И.Ньютон называл производную функцию.
С Я Ю Ф К И Л
9 4 1 8 2
2. Расшифруйте имя и фамилию астронома, математика, чьим именем была названа теорема о вписанном в круг выпуклом четырехугольнике.
И К Д П Т О Й М Е В Л А
6 2 - 6 - 4
2 - 3 - 35 10 - 35
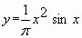
3. Найдите значения производных в точке, и вы узнаете, какой плакат висел при входе в академию Платона.
1 2 3 4 5 6 7 8 9
пусть 960 тут заходят - 12 сюда не - тот 0 математики он знает 2 кто входит 101,25 не геометрии
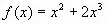
4. Решив эти примеры, вы узнаете фамилию ученого, который вывел формулы, связывающие тригонометрические функции с показательной.
Й Е Э Р Л
-2 57,5
Задания команде № 2
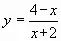
1. Решив эти примеры, вы расшифруете фамилию французского математика, который ввел термин “производная”.
Р Н Г А Ж А Л
2 5 1 -1
2. Решив эти примеры, вы узнаете имя и фамилию крупного французского математика, доказавшего многие теоремы о пределах, которыми мы пользуемся при вычислении производных.
У О Ш Г С Ю К Л Т Е Н И
10 -35 -6 - 3
-4 2
2 6 2
3. Решите данные примеры, и вы узнаете, что сказал Платон одному из желающих поступить в его школу изучать философию, не зная при этом геометрии.
1 2 3 4 5 6 7 8 9
уйди ![]()
выйди -6 из прочь 2 тебя ![]()
у - ![]()
есть нет 0 орудие 12 для 101,25 изучения ![]()
философии 960
4. Решив эти примеры, вы узнаете, у кого возникла идея о необходимости создания единой науки, изучающей процессы сохранения и переработки информации управления и контроля, для которой он предложил название “кибернетика”, получившее общее признание.
Р И Е В Н
ln4 0 12 1
Ответы к карточкам
Задания команде № 1
1. Флюксия.
2. Клавдий Птолемей
3. Пусть не входит сюда тот, кто не знает геометрии.
4. Эйлер.
Задания команде № 2
1. Лагранж.
2. Огюстен Луи Коши.
3. Уйди прочь! У тебя нет орудия для изучения философии.
4. Винер.
Учитель: Итак, мы закрепили пройденный материал по теме “Производная” и познакомились с интересными математическими фактами.
(Далее объявляет оценки выступающим у доски. Группа может поставить оценку и не отвечавшему, если он активно участвовал в обсуждении).
При составлении урока использованы материалы газеты “Математика”.
Все задания для урока подобрала и решила выпускница школы № 156 (2006 год) Тютчева Дарья. Урок проведён в 11-А и 11-Б классах.
