Урок геометрии в 11-м классе: "Объём пирамиды"
Цели и задачи урока:
- вывести формулы: объема пирамиды с использованием основной формулы объема тел и объема усеченной пирамиды.
- систематизировать теоретические знания по теме нахождения объема пирамиды.
- сформировать навык нахождения объема пирамиды, у которой вершина проецируется в центр вписанной или описанной около основания окружности.
- выработать навыки решения типовых задач на применение формул объемов пирамиды и усеченной пирамиды.
Ход урока
I. Объяснение нового материала.
Доказательство теоремы выполняется с помощью мультимедийного проектора
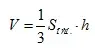
Докажем теорему: объем пирамиды равен одной трети, произведения площади основания на высоту.


Рис. 1
Доказательство:
Сначала докажем теорему для треугольной пирамиды, затем для произвольной.
1. Рассмотрим треугольную пирамиду ОАВС с объемом V, площадью основания S и высотой h . Проведем ось ох (ОМ2 - высота), рассмотрим сечение
А1В1С1 пирамиды плоскостью, перпендикулярной к оси ох и, значит, параллельной плоскости основания. Обозначим через х абсциссу точки
М1пересечения этой плоскости с осью ох, а через S{x) - площадь сечения. Выразим S(x) через S, h и х .
Заметим, что ![]()
В самом деле
, следовательно,
.
Прямоугольные треугольники
, тоже подобны (они имеют общий острый угол с вершиной О).

Применим теперь основную формулу для вычисления объемов тел при a = 0, b = h получаем


Pис. 2
2. Докажем теперь теорему для произвольной пирамиды с высотой h и площадью основания S . Такую пирамиду можно разбить на треугольные пирамиды с общей высотой h. Выразим
объем каждой треугольной пирамиды по доказанной нами формуле и сложим эти объемы. Вынося за скобки общий множитель
, получим в скобках
сумму оснований треугольных пирамид, т.е. площадь S оснований исходной пирамиды.
Таким образом, объем исходной пирамиды равен
. Теорема доказана.
II. решить задачи по готовым чертежам .

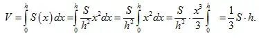
Задача 1. (рис. 3)
Дано: АВСD - правильная пирамида, АВ =3; AD=
. Найти:
а)Sосн; б) АО; в) DO г) V.
Задача 2. (рис. 4)
Дано: АВСDF - правильная пирамида,
.
Задача 3. (рис. 5)
Дано : АВСDEKF - правильная пирамида, ![]()
Найти: а) Sосн; б) V.
Задача 4. (рис. 6)

Найти: V.
Проверка задач выполняется с помощью мультимедийного проектора с подробным анализом поэтапного решения.
Задача 1. (рис. 3)
Решение:
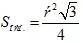
а)
(используется формула для вычисления площади правильного треугольника)
АВ =
= 3, имеем ![]()
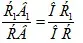
б)
(формула радиуса описанной окружности через сторону правильного треугольника)
.

Задача 2. (рис. 4)
Решение:
1) Рассмотрим
следовательно,
- равнобедренный, ОС = FО = 2.

Задача 3. (рис. 5)
Решение:

Задача 4. (рис. 6)
Решение:

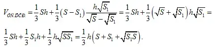
III. Проверка вывода формулы для вычисления объема усеченной пирамиды (сообщение ученика у доски выполняется с помощью мультимедийного проектора)
Ответ ученика:
Объем усеченной пирамиды рассматриваем как разность объемов полной пирамиды и той, что отсечена от нее плоскостью, параллельной основанию (рис. 1).


Подставим это выражение для х в первую формулу,

Pабота в форме теста, с проверкой через мультимедийный проектор.
1.В наклонной призме боковое ребро равно 7 см, перпендикулярное сечение - прямоугольный треугольник с катетами: 4 см и 3 см. найдите объем призмы.
а) 10 см3, б) 42 см3, в) 60 см3, г) 30 см3.
2. В правильной шестиугольной пирамиде сторона ее основания 2 см. Объем пирамиды равен 6 см3. Чему равна высота?

3. Объем пирамиды равен 56 см3, площадь основания 14 см2. Чему равна высота?
а) 14 см, б) 12 см, в) 16 см.
4. В правильной треугольной пирамиде высота равна 5 см, стороны основания 3 см. Чему равен объем пирамиды?

5. В правильной четырехугольной пирамиде высота равна 9 см. Сторона основания 4 см. найдите объем пирамиды.
а) 50 см3, б) 48 см3, в) 16 см3.
6. Объем правильной четырехугольной пирамиды равен 27 см3, высота 9 см. найти сторону основания.
а)12 см, б) 9 см, в) 3 см.
7. Объем усеченной пирамиды равен 210 см3, площадь нижнего основания 36 см2, верхнего 9 см2. Найдите высоту пирамиды.
а) 1см, б) 15 см, в) 10см.
8. Равновеликие призма и правильная четырехугольная пирамида имеют равные высоты. Чему равна сторона основания пирамиды, если площадь основания призмы равна S?

Таблица ответов.
| Задача | 1 | 2 | 3 | 4 | 5 | 6 | 7 | 8 |
| Ответ | б | а | б | а | б | в | в | в |
Домашняя работа: 1. Решить задачи №695в, №697, №690
2. Рассмотреть базовые задачи
Задача 1.
Докажите, что если боковые ребра пирамиды равны (или составляют равные углы с плоскостью основания), то вершина пирамиды проецируется в центр окружности, описанной около основания.

Pис. 2
Задача 2.
Докажите, что если двугранные углы при основании пирамиды равны (или равны высоты боковых граней, проведенные из вершины пирамиды), то вершина пирамиды проецируется в центр окружности, вписанной в основание пирамиды.

Pис. 3