Решение показательных уравнений с использованием свойств функций

27.03.2008

Цели урока:

  • проверка усвоения навыков решения различных видов показательных уравнений;
  • рассмотрение способа решения показательных уравнений с использованием свойств функции;
  • решение уравнений функциональным методом.

Ход урока

I. Проверка выполнения домашнего задания.

Учащимся на прошлом уроке было предложено решить показательные уравнения из вступительных экзаменов в вузы. Те учащиеся, которые справились с решением, записывают решение на доске, остальные проверяют свои решения и исправляют ошибки.

1. (МГУ, физический факультет) Ответ: 1;3.

2. (МГУ, факультет почвоведения) Ответ: 0;8.

3. (Финансовая академия при правительстве РФ)

Ответ:

4. (Финансовая академия при правительстве РФ) Ответ: 3.

5. (МГТУ им. Баумана) Ответ: 4.

6. (МГТУ им. Баумана) Ответ: 1.

7. (МГТУ им. Баумана) Ответ: 0,5; - 0,5.

II. Самостоятельная работа учащихся.

Решите уравнения:

1 вариант 2 вариант
1. ;

2. ;

3. ;

4. ;

5. .

1. ;

2. ;

3. ;

4. ;

5. .

Учащиеся выполняют самостоятельную работу и сдают ее на проверку.

III. Решение показательных уравнений с использованием свойств показательной функции.

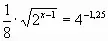
1.

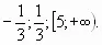
Это уравнение № 457 (а) в учебнике под ред. А.Н. Колмогорова предлагается решить графическим способом. Учащимся предлагается выполнить задание, а затем ответить на вопрос: “Обязательно ли для решения этого уравнения строить графики функций?”. Ответ: “Функция возрастает на всей области определения, а функция - убывает. Следовательно, графики таких функций имеют не более одной точки пересечения, а значит, уравнение имеет не более одного корня. Подбором находим, что ”.

Далее предлагается, используя свойство монотонности функций, решить следующие уравнения:

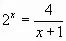
2.

3.

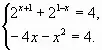
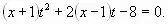
4.

Для решения этого уравнения нужно вспомнить еще одно свойство функций: ограниченность. Функция принимает значения >1, а – 1 < > 1, поэтому равенство возможно только в том случае, если обе части уравнения одновременно равны 1. Значит, Решая эту систему, находим, что х = 0.

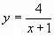
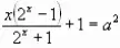
5. Найти число решений уравнения и дать обоснование ответа.

Решение. Рассмотрим две функции: и Преобразуем их:

, .

Значит, равенство возможно, если Эта система решений не имеет, а значит, и данное уравнение тоже не имеет решения.

6. При каких значениях параметра а уравнение имеет нечетное количество корней?

Для того чтобы ответить на этот вопрос, нужно вспомнить еще одно свойство функций – четность, нечетность. Функция является четной, так как . Так как график четной функции симметричен относительно оси ординат, то если является корнем уравнения, то и тоже является корнем уравнения. Поэтому данное уравнение может иметь нечетное количество корней только тогда, когда является корнем. Подставляя в уравнение, имеем:

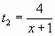
7. Решите уравнение

Решение. Пусть , t > 0. Тогда уравнение принимает вид Это уравнение является квадратным относительно t. Решая его, находим корни , что не удовлетворяет условию введения новой переменной и . Значит, . Это уравнение при х < - 1 решений не имеет, т.к. > 0, а < 0. При х > - 1 функция является возрастающей, а функция - убывающей, значит, уравнение имеет не более одного корня. Подбором находим х = 1.

IV. Домашнее задание

Прочитать п. 36 учебника и выполнить № 465, 471.


aid: 516243