Конспект урока по алгебре "Исследование системы линейных уравнений с двумя переменными"
Оборудование: компьютерный класс, мультимедиа проектор, презентации.
Цели:
- Формировать способность учащихся к самостоятельному исследованию системы линейных уравнений с двумя переменными.
- Развивать способности к самостоятельному планированию, организации работы.
- Воспитывать познавательный интерес к математике и информатике.
I. Организационный момент.
- Здравствуйте, ребята!
- Сегодня мы продолжим решать системы линейных уравнений с двумя переменными.
II. Актуализация ЗУН.
1. Выразите x через y, y через x.
а) 3x - 2y = 6
б) 2x +2y = - 8
в) 2x = 3y.
2. Принадлежит ли точка А(- 2;2) графикам уравнений
а) x - y = - 4
б) x + 2 = 2y
- Что значит "решить систему линейных уравнений с двумя переменными"? (Найти общее решение двух или более уравнений).
- Что называется решением системы? (Пара чисел, которая является решением каждого из уравнений, входящих в систему).
3. Является ли пара чисел (2;8) решением системы уравнений

- Что является геометрической интерпретацией системы линейных уравнений с двумя переменными? (Пара пересекающихся прямых, параллельных прямых, совпадающих прямых).
- Сколько решений может иметь система линейных уравнений с двумя переменными? (одно, бесконечное множество или не иметь решений).
- Какова же цель нашего урока?
- Выясним, можно ли, не прибегая к геометрическим методам, ответить на вопрос, сколько решений имеет система линейных уравнений с двумя переменными.
- Итак, сформулируйте тему сегодняшнего урока. (Исследование системы линейных уравнений с двумя переменными).
III. Исследовательская работа в группах.
Задания группам. Используя программу PowerPoint:
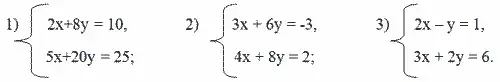
1 гр.
а) Убедитесь в том, что графическая модель системы - это совпадающие прямые.
б) Сравните отношение коэффициентов при x, при y и свободных членах в системе. Сформулируйте признак, по которому можно определить, что система имеет бесконечно много решений.
2 гр.
а) Убедитесь в том, что графическая модель системы - это параллельные прямые.
б) Сравните отношение коэффициентов при x, при y и свободных членах в системе. Сформулируйте признак, по которому можно определить, что система не имеет решений.
3 гр.
а) Убедитесь в том, что графическая модель системы - это пересекающиеся прямые.
б) Сравните отношение коэффициентов при x, при y и свободных членах в системе. Сформулируйте признак, по которому можно определить, что система имеет единственное решение.

Представители каждой группы обосновывают свои ответы. (Приложение 1)
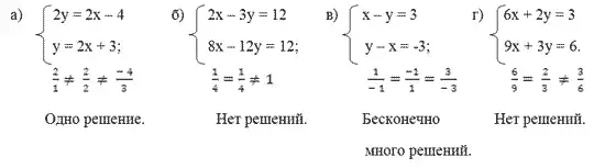
Итак, сделаем выводы. (Приложение 2)
IV. Первичное закрепление.
1. Не выполняя построения, определите, как расположены графики уравнений и сделайте вывод относительно числа ее решений:

2. Дано уравнение 5x + y = 10. Составьте еще одно уравнение так, чтобы вместе с данным оно образовало систему:
а) имеющую бесконечно много решений;
б) не имеющую решений.
V. Самостоятельная работа с самопроверкой.
Существует ли такое значение a, при котором система уравнений

а) имеет бесконечно много решений;
б) не имеет решений. (Приложение 3)

Ответ: таких значений а не существует. Ответ: при а = 6 система не имеет решений
VI. Включение в систему знаний.
Решить систему уравнений:

Система имеет единственное решение, если a/8
2/a, т. е. a2
16, а
±4.

Если а = 4, то 4/8 = 2/4 = 4/8 - свободные члены пропорциональны коэффициентам при переменных.
При а = 4 система имеет бесконечное множество решений.
Если а = - 4, то

- 4/8 = 2/- 4
- 4/- 8 - свободные члены не пропорциональны коэффициентам при переменных. Система не имеет решений.
VII. Рефлексия.
Возможность формулировать одни и те же утверждения и на геометрическом, и на алгебраическом языке дает нам система координат, изобретение которой, как вы уже знаете, принадлежит Рене Декарту. Преимуществом геометрического языка является его наглядность, зато алгебраический язык позволяет сводить задачу к вычислениям. В силу этого обстоятельства он более приспособлен для передачи функций человека компьютеру.
- Какая была цель нашего урока?
- Достигнута ли поставленная цель?
- Что помогло нам в работе?
- Где эти знания можно применить?
- Что необходимо для успешной работы на следующих уроках?
VIII. Домашнее задание.
Составить задачи с параметром, которые решаются с помощью составленных признаков, и решить эти задачи аналитически.
Литература.
- Г. В. Дорофеев "Математика: алгебра. Функция. Анализ данных ". М.: Просвещение, 2006.
- М. В. Величко "Математика. 9 - 11 классы: проектная деятельность учащихся". Волгоград: Учитель, 2007.
- Н. В. Богомолов "Практические занятия по математике". М.: Высшая школа, 1990.