Урок информатики по теме "Циклы с предусловием и постусловием"
Цели урока:
- повторение материала по теме «Разветвляющиеся алгоритмы»;
- ознакомление с алгоритмической конструкцией «Цикл», записанной на языке программирования Паскаль;
- стимулирование интереса учащихся к данной теме и предмету в целом;
- воспитание у учащихся самостоятельности, коллективизма, ответственности за себя и других членов коллектива;
- развитие мышления, умения применять полученные знания при решении задач различной направленности.
Оборудование: доска, раздаточный материал, ПК.
Ход урока
I. Организационный момент.
Сегодня на уроке:
- Повторение темы «Разветвляющиеся алгоритмы»
- Ознакомление с темой «Циклы»
- Развитие навыков групповой и индивидуальной работы.
II. Повторение пройденного материала.
Задание 1.
1. В 1871 году в английском журнале «Панч» было напечатали стихотворение:
Служа науке, он терпел лишенья,
Был рок его тревожен и суров,
Он злой судьбою избран был мишенью
Скорей ударов, нежели даров.
С тех пор, когда влекомый блеском таинств,
Присущих математике, решил
Ступить на многотрудный путь, пытаясь
Достичь математических вершин.
Кому оно посвящено? Каков вклад этого человека в развитие ВТ?
(Беббидж. Главное дело жизни - вычислительные машины, над созданием которых он работал более 50лет. Беббидж сконструировал аналитическую машину - прообраз современных компьютеров, которую в то
время не смогли построить.)
Определить имя по программе: VAR X: INTEGER;
BEGIN
X:=1; WRITE('Б');
IF X>0 THEN WRITE ('Е') ELSE WRITE ('A');
X:=X-2;
IF X>0 THEN WRITE ('Д') ELSE WRITE ('Б');
X:=X+1;
IF X<0 THEN WRITE ('O') ELSE WRITE ('Б');
X:=X+2;
IF X>1 THEN BEGIN WRITE ('И'); X:=X-3; END ELSE WRITE ('У');
IF X>=5 THEN BEGIN WRITE ('К"); X:=X+7; END ELSE WRITE ('Д');
IF X<4 THEN BEGIN WRITE ('A"); X:=X-1; END ELSE WRITE ('Ж');
END.
2. Кому принадлежат пророческие слова:
Нам говорят «безумец» и «фантаст».
Но, выйдя из зависимости грустной,
С годами мозг мыслителя искусный
Мыслителя искусственно создаст.
(Иоганн Вольфганг Гёте - немецкий мыслитель, поэт, естествоиспытатель)
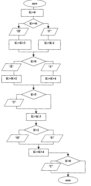
Определить имя по блок-схеме (рис. 1).

Рисунок 1
3. Кто автор этих строк и какое они имеют отношение к информатике?
«Мы почитаем всех нулями,
А единицами себя».
(А.С.Пушкин, двоичная система счисления). В случае затруднения определить ответ по программе:
PROGRAM RR;
VAR X: INTEGER;
BEGIN
X:=1;
IF X>=1 THEN WRITE ('ПУ') ELSE WRITE ('НЕ');
X:=X+2;
IF X<3 THEN WRITE ('КР') ELSE WRITE ('ШК');
X:=X-2;
IF X<5 THEN WRITE ('АС') ELSE WRITE ('И');
X:=X+4;
IF X>3 THEN WRITE ('H") ELSE WRITE ('OB');
X:=X-5;
END.
Задание 2.
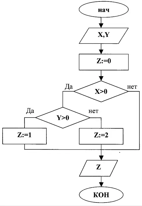
Какое значение получит переменная Z в результате выполнения следующего алгоритма?

Рисунок 2
А) Х=1, Y=1, Z=…;
Б) X=1, Y=-1, Z=…;
B) X=-1, Y=1, Z=… .
Задание 3.
Найти значение:

В шаблоне блок-схемы алгоритма расставьте «да» и «нет» и заполните пустые блоки.

Рисунок 3
Задание 4.
Работа по карточкам на ПК (рис. 4, 5, 6).

Рисунок 4

Рисунок 5

Рисунок 6
Задание 5.
Тест.
Чему будет равно значение Х, после выполнения следующей последовательности операторов?
- X:= 1;
Y:= 2;
X:= X*X;
Y:=Y*Y;
X:= X+Y.
A) 3; Б) 5; В) 6.
- X:= 2;
Y:= X*X+2*X;
X:= X-Y;
X:=X+Y.
A) 10; Б) 2; B) -8.
- X:= 5;
Y:= X*2;
X:= Y*Y+Y;
X:= X+Y.
A) 30; Б) 20; B) 120.
- F:= 5; D:= 7;
IF F>=D THEN X:= F ELSE X:= D;
A) 7; Б) 5; B) 12.
- F:= 3; B:= 4;
IF A>B THEN X:= A*B ELSE X:= A - B;
A) 12; Б) -1; B) 1.
- A:= 53; B:= 14;
IF A<=B THEN X:=A+B ELSE X:=2*A-4*B;
A) 67; Б) 42; B) 50.
- A:= 5; B:= 4; C:=3;
IF A>B THEN X:=A+B ELSE BEGIN A:=B+C; X:=A-3*B END;
A) 7; Б) 9; B) -5.
- A:=9; B:=8; C:=2;
IF (A>B) AND (B>C) THEN X:=2*A+B+C ELSE X:=A-B+C;
A) 38; Б) 3; B) 28.
- A:=1; B:=4; C:=8;
IF (A<=B) OR (A>C) THEN X:=5*A-B ELSE X:=4*A*B;
A) 1; Б) 16; B) -15.
- A:=7; B:=3; C:=6;
IF (A<B) OR (A>C) THEN X:= 4*A-A*B ELSE X:= (A-B).
A) 7; Б) 4: B) 63.
Проводится взаимопроверка.
III. Изучение нового материала.
Определение. Алгоритм, предусматривающий многократное повторение одного и того же действия над новыми данными, называется циклическим.
Определение. Цикл, для которого нельзя указать число повторений, и проверка окончания которого происходит по достижению нужного условия, называется итерационным.
Блок-схемы базовых структур.

Пример циклической программы.

Из таблицы (рис. 7) хорошо видно, как менялись значения переменных. Новое значение, присвоенное переменной, стирает ее старое значение (здесь не повторяется запись значения переменной, если оно
не изменяется; в таком виде таблица менее загромождена числами). Последнее значение F равно 6.
3!=6.

Рисунок 7
IV. Закрепление
1. Объяснить, в чем заключается синтаксическая ошибка (или ошибки) в приведенной программе:
Program пример;
Var k; I; d; s: integer;
Writeln ('Введите значение к: ');
Readln (k);
For I:= 100 to 300 do
Begin
D:=2; s:=0;
While d<=I div 2 + 1 do
(If I mod d = 0 then s:=s+d;
D:= d+1);
If s=k then writeln (I)
End
End.
2. Выписать последовательно значения, которые будут выводиться программой по ходу ее выполнения:
Program pr;
Var I, j: integer;
Begin I:=0; j:=0;
Repeat
I:=I+1;
J:=J+10;
Write (I, J)
Until j>50;
I:=0;
J:=0;
While j<40 do
Begin I:=I+1; j:=j+10;
Write (I, j); end; end.
Ответ: 1, 10 2, 20 3, 30 4, 40 5, 50 6, 60
1, 10 2, 20 3, 30 4, 40
3. Групповая работа.
Какое значение будет принимать переменная Y после выполнения фрагментов программ:

4. По блок-схеме составить программу на языке Паскаль и восстановить условие задачи (кол-во цифр числа) (рис. 8).

Рисунок 8
5. Решение задач по группам:
- Поменяйте местами первую и последнюю цифры числа (I гр).
- Поменяйте порядок цифр числа на обратный (2 гр).
- Найдите количество четных цифр целого положительного числа (З гр).
- Найдите самую большую цифру целого числа (I гр).
- Найдите сумму цифр целого числа, больших 5 (2 гр).
- Найдите сумму цифр числа (З гр).
6. Дополнительные задачи:
* Дана непустая последовательность натуральных чисел, за которой следует 0. Вычислить сумму положительных элементов последовательности, порядковые номера которых нечетны.
* Найти 10 первых натуральных чисел, оканчивающихся на цифру «7», кратных числу 9 больших 100.
V. Домашнее задание:
1. Сколько раз будут выполнены операторы внутри цикла в следующем фрагменте:
Х:= 2; Y:= 10;
While Y-Х>1 dо
Веgin
Х:= Х+1; Y:= Y-1;
Еnd;
Sum:= X+Y;
2. Что будет выведено на экран после выполнения следующих операторов:
P:=1; I:=1;
Repeat P:=P*2;
I:=I-1;
Until I<=1; Write (P, I);
3. а) Ученик в 1 день выучил 5английских слов. В каждый следующий день он выучивал на 2 слова больше, чем в предыдущий. Сколько английских слов выучил ученик в 10-й день занятий?
б) Воспользовавшись шаблоном, составьте блок-схему алгоритма определения, через сколько дней ученик будет знать 250английских слов (рис. 9).

Рисунок 9
VI. Итог урока:
- Повторение новых видов алгоритмов.
- Вывод о качестве полученных знаний
- Оценки учеников.