Решение иррациональных неравенств методом интервалов
Учащиеся сельских школ не имеют возможности обучаться в специализированных классах или в классах с углубленным изучением математики, поэтому с детьми, которым нравится математика, мы более глубоко изучаем темы, не вошедшие в обязательную программу, но знания которых позволяют им успешно справиться с заданиями ЕГЭ и тем самым без проблем поступить в ВУЗы и продолжить образование. Одной из таких тем является "Решение иррациональных уравнений и неравенств". Если решение иррациональных уравнений в некоторых школьных учебниках рассматривается, то решение иррациональных неравенств нет. Я хочу предложить вам разработку урока по теме "Решение иррациональных неравенств методом интервалов", который я проводила для учащихся 9-10-х классов.
Для изучения выбрала этот метод, т.к. при его использовании повторяется решение иррациональных уравнений.
ХОД УРОКА
I. Приветствие учителя, обоснование темы и цели урока.
Тема, с которой я вас хочу познакомить, поможет при сдаче ЕГЭ и непременно понадобится вам для продолжения образования. А в том, что вы захотите его продолжить, я ничуть не сомневаюсь. Надеюсь, что наше сотрудничество будет полезным и для вас и для меня.
Я желаю вам успехов в сегодняшней работе и хочу привести вам слова великого Микеланджело: "Если бы люди знали, как много я тружусь, чтобы добиться мастерства, они перестали бы считать меня таким уж талантливым". Слайд 1.
Действительно, только упорный труд приводит нас к успеху. Мне бы очень хотелось, чтобы на сегодняшнем уроке вы это почувствовали. Кто из вас сейчас может с уверенностью сказать: "Я знаю все досконально и могу без труда решать иррациональные неравенства методом интервалов?" Пожалуй, никто. Я, например, готовясь к сегодняшнему уроку, еще много нового открыла для себя, и хочу этим поделиться с вами.
Открываем тетради, записываем дату и тему урока. Слайд 2.
Тема: Решение иррациональных неравенств методом интервалов
Цель урока:
- Усвоить алгоритм решения иррациональных неравенств методом интервалов.
- Научиться решать иррациональные неравенства с применением алгоритма. Слайд 3
II. Итак, перейдем к реализации нашей цели:
Вспомним определение иррационального неравенства: Слайд 4.
Иррациональным называют неравенства, в которых переменные входят под знак корня.
Совместная работа учителя и учащихся при разборе решения иррациональных неравенств методом интервалов.
Решим неравенства: Слайд 5
1)![]()
2)![]()
3) ![]()
Разберем решение неравенств: Слайды 6-9.
1.
равносильно ![]()
Шаг 1. Рассмотрим иррациональную функцию
и найдем область определения
![]()
- область определения
Шаг 2. Вычислим нули функции

- нуль функции
Шаг 3. На координатной прямой отмечаем нуль функции принадлежащий области определения. Получается два промежутка: [5;6) и (6;+
). Определяем знак функции на каждом промежутке. Выписываем промежуток, на котором ![]()


Ответ: ![]()
2.
равносильно ![]()
Шаг 1. Рассмотрим иррациональную функцию
, найдем область определения
![]()
- область определения
Шаг 2. Вычислим нули функции ![]()
![]()

![]()

![]()

- нуль функции
Шаг 3. На координатной прямой отмечаем нуль функции, принадлежащий области определения. Получаем два промежутка [-7;2) и (2;+
). Определяем знак функции на каждом промежутке. Выписываем промежуток на котором
.


Ответ: ![]()
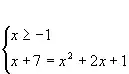
3. ![]()
Шаг 1. Рассмотрим иррациональную функцию
, найдем область определения
и
область определения.
Шаг 2. Вычислим нули функции

![]()
-1; 1; 2 - нули функции
Шаг 3. На координатной прямой отмечаем нули функции, принадлежащие области определения, получается два промежутка (-
;-1] и [2;+
). Определяем знак функции на каждом промежутке и выписываем промежуток на котором ![]()

![]()
Ответ:
и ![]()
III. Итак, мы рассмотрели с вами решение трех неравенств. Вы проследили порядок выполнения заданий. Какие вопросы появились по ходу объяснения? Если нет вопросов, то попробуйте сами сформулировать алгоритм решения иррационального неравенства методом интервала. (учащиеся сами формулируют этапы решения иррационального неравенства). Затем на экран проецируется алгоритм, и, учащиеся проговаривают этапы решения, особое внимание уделяется третьему этапу.
Алгоритм решения иррациональных неравенств. Слайд 10
- Рассмотрим иррациональную функцию; найдем область определения функции.
- Вычислим нули функции.
- На координатной прямой:
- отметим нули функции, принадлежащие области определения;
- определим знак функции на каждом промежутке;
- с учетом знака неравенства выпишем ответ.
Сейчас мы перейдем к очень ответственному моменту, вы будете самостоятельно решать задания с применением приведенного алгоритма. Я предлагаю вам двигаться в своем собственном темпе.
(Во время самостоятельной работы проходит по рядам и смотрит, как ребята справляются с заданиями, выделяет для себя группу контроля. Если возникает необходимость дает незначительные консультации на местах)
IV. Задания для самостоятельной работы: Слайд 11
1. ![]()
2. ![]()
3. ![]()
V. Затем на экран проецируется пошаговая проверка. За каждый правильный шаг, учащиеся ставят себе плюс. Каждое задание оценивается отдельно.
Проверяем: Слайд 12
1 неравенство: ![]()
1 шаг ![]()
2 шаг ![]()
3 шаг ![]()
2 неравенство![]()
1 шаг
и ![]()
2 шаг ![]()
3 шаг ![]()
3 неравенство ![]()
1 шаг ![]()
2 шаг
и ![]()
3 шаг ![]()
На экран проецируем критерии оценки. Слайд 13
- 5 баллов - задание выполнено полностью и верно.
- 4 балла - задание верно выполнено на первом и втором шаге. Допущена ошибка в вычислениях на третьем шаге.
- 3 балла - задание верно выполнено на первом шаге, вычислительная ошибка на втором шаге.
- В остальных случаях - 2 балла.
VI. Затем каждый ученик получает лист самоконтроля, на котором дано полное решение всех трех неравенств, и с его помощью, устраняет ошибки, допущенные в своей работе.
VII. Подводятся итоги урока и дается задание на дом с ответами. Cлайд 14
1.
Ответ ![]()
2.
Ответ ![]()
3.
Ответ ![]()

