Интегрированный урок информатики и математики по теме "Теорема Пифагора" с использованием УМК "Живая математика"
Цели урока:
- Изучение теоремы Пифагора, ее роль в геометрии, использование теоремы в решении задач.
- Развитие логическое мышление, познавательного интереса, творческого поиска, самостоятельности.
- Воспитание у учащихся ответственного отношения к учению, культуры математической речи.
Оборудование:
- Стенд с работами: легенды о Пифагоре, нравственные заповеди пифагорейцев, исторические задачи, пифагорова головоломка.
- Чертежные инструменты.
- Компьютер, мультимедийный проектор, экран, колонки, программа MS Office 2003 Power Point.
План урока:
- Организационный момент.
- Сообщение о жизни Пифагора Самосского.
- Работа над теоремой.
- Решение задач с применением теоремы.
- Историческая справка о теореме Пифагора.
- Веселая минутка.
- Подведение итогов урока.
Ход урока
1. Организационный момент.
2. Сообщение о жизни Пифагора Самосского.
Презентация Power Point (Приложение1)
(Слайд 1) Его мне хотелось бы начать с четверостишья:
“Да, путь познания не гладок.
Но знаем мы со школьных лет,
Загадок больше, чем разгадок,
И поискам предела нет!”
И я предлагаю вам разгадать одну из таких загадок.

(Слайд 2) Сегодня на уроке мы познакомимся с одной из важнейших теорем геометрии – теоремой Пифагора. Она является основой решения множества геометрических задач и базой изучения теоретического материала в дальнейшем. Докажем эту теорему и решим несколько задач с ее применением.

Откройте тетради, запишите число и тему урока “Теорема Пифагора”.
(Слайд 3) Знаменитый греческий философ и математик Пифагор Самосский, именем которого названа теорема, жил около 2,5 тысяч лет тому назад. Дошедшие до нас биографические сведения о Пифагоре отрывочны и далеко недостоверны. С его именем связано много легенд.
Родился Пифагор на острове Самос в Эгейском море, в семье купца Мнезарха. Путешествуя с отцом, будто бы в возрасте 18–20 лет он посетил старого тогда уже Фалеса (о. Самос почти рядом с Милетом!), который и пробудил интерес юноши к математике и астрономии, посоветовал ему поехать для основательного образования в Египет. Пифагор последовал совету. Затем были Вавилон, Индия...

По возвращении на Самос Пифагор основал свою школу, но затем покинул остров. В южноиталийском г. Кротоне им был основан знаменитый пифагорейский союз, бывший одновременно и научной школой, и политическим и религиозным сообществом, в котором Пифагор почитался чуть ли не божеством...
В школе Пифагора рассматривались четыре mathema (науки): арифметика, музыка (гармония), геометрия и астрономия с астрологией. Пифагорейцы считали, что в основе всего лежат числа и гармония, ими поддерживаемая, но что все в математике нужно доказывать. Изучению математики придавался мистический характер, что не помешало найти доказательство теоремы Пифагора, а из нее получить (доказать!) иррациональность корня из двух! Это были великие математические открытия... Однако в школе существовал Декрет, по которому авторство всех математических работ приписывалось Пифагору.
Пифагор был убит в уличной схватке во время народного восстания. После его смерти ученики окружили тайной имя своего учителя, так что установить правду о Пифагоре невозможно.
3. Работа над теоремой.
(Слайд 4) Без преувеличения можно сказать, что это самая известная теорема геометрии, ибо о ней знает подавляющее большинство населения планеты, хотя доказать ее способна лишь очень незначительная его часть.
Иоганн Кеплер писал: “Геометрия владеет двумя сокровищами: одно из них – это теорема Пифагора”.

Ребята, а вы когда-нибудь слышали о теореме Пифагора?
(Слайд 5) Наверняка многие из вас слышали шутливый стишок:
“Пифагоровы штаны
Во все стороны равны”.
Смотрите, а вот и “Пифагоровы штаны”. Такие стишки придумывали учащиеся средних веков при изучении теоремы.

(Слайд 6) На самом деле теорема звучит совсем иначе.
Предполагают, что во времена Пифагора теорема звучала по-другому.

(Слайд 7) Игорь Дырченко написал шутливое стихотворение, которое помогает запомнить формулировку “теоремы Пифагора”:

(Слайд ЖГ 1) Итак, теорема Пифагора.
Запишите в тетрадях формулировку теоремы:
“В прямоугольном треугольнике квадрат гипотенузы равен сумме квадратов катетов”.

(Слайд ЖГ 2) Для доказательства теоремы рассмотрим прямоугольный треугольник с катетами равными а и b, и гипотенузой равной с. Для простоты построения, пусть a= 3 см, b = 2 см.
Достроим треугольник до квадрата со стороной
так, как
показано на чертеже.
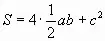
Площадь этого квадрата равна ![]()
С другой стороны этот квадрат составлен из четырех равных
прямоугольных треугольников, площадь каждого из которых равна
,
и квадрата со стороной с, поэтому
.
Таким образом
,
.
Теорема доказана.

(Слайд ЖГ 3) Предлагаю вашему вниманию еще одно доказательство теоремы Пифагора, которое состоит из одного-единственного слова: “Смотри”.

4. Решение задач с применением теоремы.
(Слайд ЖГ 4, 5, 6, 7)
А сейчас рассмотрим решение задач с применением теоремы Пифагора.
Задача 1. Найдите гипотенузу прямоугольного треугольника, если катеты равны 6 см и 8 см.

Задача 2. Найдите катет прямоугольного треугольника, если гипотенуза равна 13 см, а второй катет – 12 см.

Задача 3. Три стороны четырехугольника имеют длины 4 см, 7 см и 8 см; два противоположных угла прямые. Найдите длину четвертой стороны.

Задача 4. В прямоугольный треугольник с углом 60° вписан ромб со стороной 6 см так, что угол 60° - общий и все вершины ромба лежат на сторонах треугольника. Найдите стороны треугольника.

Ребята, а последняя решенная нами задача предлагалась на вступительных экзаменах в Государственном университете управления.
5. Историческая справка о теореме Пифагора.
Итак, сегодня на уроке мы познакомились с одной из главных теорем геометрии: “теоремой Пифагора”, ее доказательством, решили несколько задач.
Хотя эта теорема и связывается с именем Пифагора, она была известна задолго до него. В вавилонских текстах она встречается за 1200 лет до Пифагора. По-видимому, он первым нашёл её доказательство.
Сохранилось древнее предание, что в честь своего открытия Пифагор принёс в жертву богам быка, по другим свидетельствам – даже сто быков. Но это противоречит сведениям о моральных и религиозных воззрениях Пифагора. Говорят, что он “запрещал даже убивать животных, а тем более ими кормиться, ибо животные имеют душу, как и мы”. В связи с этим более правдоподобной можно считать следующую запись: “… когда он открыл, что в прямоугольном треугольнике гипотенуза имеет соответствие с катетами, он принес в жертву быка, сделанного из пшеничного теста”.
(Слайд 8) Легенда о том, что в честь своего открытия Пифагор принес в жертву быка или сто быков, как рассказывали другие, послужила поводом для рассказов писателей и стихов поэтов. Вот одно из стихотворений, которое написал немецкий поэт А. Шамиссо:…

6. Веселая минутка.
(Слайд 9) А сейчас веселая минутка.
В завершении хотелось бы сказать: Причина популярности теоремы Пифагора триедина - это красота, простота и значимость!

(Слайд 10) Спасибо! Урок закончен!
Презентация Power Point (Приложение1)
7. Подведение итогов урока.
Домашнее задание:
- п. 54 прочитать стр. 129-131;
- вопрос для повторения 8 стр134;
- задачи: № 483 (б, в); № 484 (а, в); № 486 (в, г).
Литература:
- www.1sept.ru/ru
- Геометрия 7- 9, Авторы: Л.С. Атанасян и др.
- Геометрия 7- 9, Авторы: В.Г. Болтянский, Г.Д. Глейзер.
- Методические рекомендации для учителя к учебнику Л.С. Атанасяна. Уроки геометрии в 7- 9 классах, Авторы: В.И. Жохов, Г.Д. Карташева, Л.Б. Крайнева.
- Сборник задач по математике для поступающих в ВУЗы, под редакцией М.И.Сканави.