Квадратный трехчлен и его производная
Цели урока:
- Научить учащихся применять ранее полученные знания о квадратном трехчлене, линейной функции, производной, её геометрическом смысле в новой для них нестандартной ситуации;
- Показать учащимся при решении задач естественную неразрывную связь между алгеброй и геометрией.
- Формировать у учащихся навыки исследовательской работы.
Методы:
- лекция,
- практикум.
Пособия:
- слайды презентации PowerPoint с чертежами к уроку.
План урока:
- Организационный момент;
- Объявление темы урока, постановка целей урока;
- Лекционное изложение нового материала с элементами закрепления:
- Закрепление материала практическим решением нестандартных задач.
- Итоги урока, постановка домашнего задания.
Ход урока:
1. Организационный момент.
Приветствие учащихся. Сообщение темы, целей и плана урока.
2. Повторение свойств линейной и квадратичной функций;
По готовым слайдам презентации повторить свойства линейной и квадратичной функции.
3. Лекционная часть урока "Квадратный трехчлен и его производная"
Рассмотрим две функции: квадратный трехчлен
и его производную
, которая,
очевидно, является линейной функцией. На рисунке 1 изображены их графики - парабола
и прямая
, которые иллюстрируют известный факт, что если на промежутке
>0, то квадратный трехчлен на этом промежутке
возрастает, если на промежутке
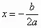
<0, то квадратный трехчлен на этом промежутке убывает, а точка
является точкой экстремума.
Как известно, прямая и парабола могут не пересекаться или иметь одну или две общих точек. Ясно, что это зависит от математических связей между коэффициентами
и
. Найдем эту связь.
Из курса алгебры и начал анализа известно также, что существует бесконечно много квадратных трехчленов, имеющих производную
. Выясним,
график какого квадратного трехчлена касается графика своей производной. В этом случае уравнение
имеет единственный корень, значит
дискриминант квадратного уравнения
равен нулю, то есть
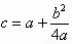
.


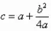
Выразив из этого уравнения свободный член
, получим, что при
парабола
квадратного трехчлена
касается графика своей производной.
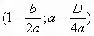
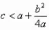
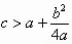
Решая соответствующие неравенства нетрудно выяснить, что
при
:
- если
, то прямая
не имеет общих точек с параболой
квадратного трехчлена
; - если
, то прямая
является касательной к параболе
квадратного трехчлена
; - если
, то прямая
пересекает параболу
квадратного трехчлена
.
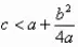
при
:
- если
, то прямая
не имеет общих точек с параболой
квадратного трехчлена
; - если
, то прямая
является касательной к параболе
квадратного трехчлена
; - если
, то прямая
пересекает параболу
квадратного трехчлена 
В каждом из этих трех случае при
решим по одной задаче.
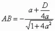
Задача 1. Найти расстояние от прямой
до ближайшей точки параболы
, если прямая и парабола не имеют общих точек.
Решение. Ясно, что искомое расстояние равно расстоянию АВ между прямой
и касательной к параболе
, параллельной прямой
, где А - точка касания и АВ^
.
Касательная имеет вид
. Чтобы найти величину АВ нужно вычислить координаты точки А касания. Их нетрудно посчитать. Точка касания имеет
координаты A
, где
. Составим уравнение касательной, зная угловой коэффициент
и координаты точки касания, получим уравнение касательной
. Это значит что
. Теперь можно вычислить DF=
. В прямоугольном треугольнике DCF острый угол α
равен углу между касательной и положительным направлением оси абсцисс, поэтому
. Решая треугольник DCF находим СВ, а значит и искомое
расстояние
.

Задача 2. Как показано выше график квадратного трехчлена
касается графика своей производной. Найдите координаты
точки касания и докажите, что эта точка касания расположена всегда правее вершины параболы на одну единицу.
Решение. Координаты точки А касания посчитать нетрудно, А
. Простой анализ координат точки А показывает, что абсцисса точки касания на
единицу больше, чем абсцисса вершина параболы.
Задача 3. Парабола
квадратного трехчлена
и прямая
, график его производной пересекаются в двух точках А и В. К параболе
через
точки А и В проведены две касательные с угловыми коэффициентами
и
. Докажите,
что
.
Решение. Абсциссы точек А и В пересечения параболы
и прямой
найдем из
уравнения
,
,
,
, ![]()
Найдем угловые коэффициенты
и
касательных, проведенные через точки А и В.
Они равны значению функции
в точках
и
, фактически эти значения совпадают с ординатами точек А и В. Вычислим их:
,
. Теперь ясно, что
.
Еще один интересный момент. Если угловой коэффициент прямой АВ обозначить через
, то учитывая, что
, нетрудно установить удивительно простую зависимость между угловыми коэффициентами этих прямых:
.

4. Практикум по решению задач.
- Пусть
некоторый квадратный трехчлен. Рассмотрим параболы
и
. Докажите, что вторая парабола получается из первой параллельным переносом на вектор
. - Последовательность квадратных трехчленов, задана реккурентным соотношением
,
,
. Докажите, что все параболы, являющиеся графиками функций из этой последовательности, имеют общую касательную. - Как продолжить последовательность функций из предыдущей задачи влево, если убрать ограничение
, то есть найдите квадратный
трехчлен, непосредственно предшествующий квадратному трехчлену
. - Парабола
пересекает ось 
в двух точках. Через каждую из них проведены касательные, которые пересекаются в точке С. Найдите координаты точки С.
Ответы к задачам: 3.
; 4.
.
5. Самостоятельная работа в двух вариантах.
Вариант 1. Решите задачу:
Парабола
и прямая
пересекаются в двух точках А и В. К параболе через
точки А и В проведены две касательные, которые пересекаются в точке С. Докажите, что: медиана СМ треугольника АВС параллельна оси ординат;
Вариант 2. Решите задачу:
Парабола
и прямая
пересекаются в двух точках А и В. К параболе через
точки А и В проведены две касательные, которые пересекаются в точке С. Докажите, что одна из средних линий треугольника АВС является касательной к параболе
.
6. Разбор задач самостоятельной работы
Разбор проводится по заранее подготовленным слайдам презентации PowerPoint. Оба варианта рассматриваются одновременно, потому что первая часть решения задач обоих вариантов одинакова, вторая же, различная часть, будет интересна учащимся обоих вариантов.
7. Задание на дом:
- Рассмотрим четыре параболы
,
,
и
, где
- некоторый квадратный
трехчлен. Докажите, что вершины этих парабол совпадают с вершинами некоторого квадрата. - Творческое задание (для желающих). Придумать свою задачу по теме "Квадратный трехчлен и его производная"