19.03.2008
Разноуровневые контрольные работы по алгебре для 8-х классов
поделиться
Вариант 1.
Уровень 1.
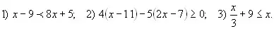
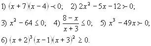
- Решите неравенства:

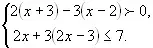
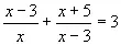
- Решите систему неравенств:

- Решите двойное неравенство:

Уровень 2.
- Решите неравенства:

- Решите систему неравенств:

- Решите двойное неравенство:

Дополнительные задания.
- Известно, что
. Оцените значение выражения 
- Решите неравенства:

- Докажите неравенство:

Вариант 2.
Уровень 1.
- Решите неравенства:

- Решите систему неравенств:

- Решите двойное неравенство:

Уровень 2.
- Решите неравенства:

- Решите систему неравенств:

- Решите двойное неравенство:

Дополнительные задания.
- Известно, что
. Оцените значение выражения 
- Решите неравенства:

- Докажите неравенство:

Контрольная работа по теме "Квадратные корни"
Вариант 1.
Уровень 1.
- Упростите выражения:

- Сравните значения выражений:
и
. - Освободитесь от иррациональности в знаменателе дроби:

- Сократите дроби:

- Решите уравнение, предварительно упростив его правую часть

Уровень 2.
- Упростите выражения:

- Сравните значения выражений:
и
. - Освободитесь от иррациональности в знаменателе дроби:

- Сократите дроби:

- Докажите, что данное уравнение имеет целые корни, и найдите их

Вариант 2.
Уровень 1.
- Упростите выражения:

- Сравните значения выражений:
и
. - Освободитесь от иррациональности в знаменателе дроби:

- Сократите дроби:

- Решите уравнение, предварительно упростив его правую часть

Уровень 2.
- Упростите выражения:

- Сравните значения выражений:
и
. - Освободитесь от иррациональности в знаменателе дроби:

- Сократите дроби:

- Докажите, что данное уравнение имеет целые корни, и найдите их

Контрольная работа по теме "Квадратные уравнения"
Вариант 1.
Уровень 1
- Решите уравнения:

- При каких значениях х равны значения многочленов
и
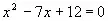
? - Решите уравнение
с помощью теоремы, обратной теореме Виета. - Один из корней квадратного уравнения
равен 2. Найдите второй корень и коэффициент а.
Уровень 2
- Решите уравнения:

- При каких значениях х равны значения многочленов
и
? - Решите уравнение
с помощью теоремы, обратной теореме Виета. - Один из корней квадратного уравнения
в 2 раза больше другого. Найдите корни уравнения и коэффициент с.
Вариант 2.
Уровень 1
- Решите уравнения:

- При каких значениях х равны значения многочленов
и
? - Решите уравнение
с помощью теоремы, обратной теореме Виета. - Один из корней квадратного уравнения
равен 2. Найдите второй корень и коэффициент а.
Уровень 2
- Решите уравнения:

- При каких значениях х равны значения многочленов
и
? - Решите уравнение
с помощью теоремы, обратной теореме Виета. - Один из корней квадратного уравнения
в 2 раза больше другого. Найдите корни уравнения и коэффициент к.
Контрольная работа по теме "Квадратичная функция"
Вариант 1.
Уровень 1.
- При каких значениях х функция
принимает значение, равное 6? - Найдите нули функции
. - Вычислите координаты вершины параболы
. - Постройте график функции
.
Уровень 2.
- При каких значениях х функция
принимает значение, равное 5? - Найдите нули функции
. - Постройте график функции
. Найдите с помощью графика: 1) промежутки возрастания и убывания функции; 2) значения х,
при которых у< 0 и у> 0; 3) наименьшее или наибольшее значение функции. - Решите графически неравенство
< 15.
Вариант 2.
Уровень 1.
- При каких значениях х функция
принимает значение, равное
? - Найдите нули функции
. - Вычислите координаты вершины параболы
. - Постройте график функции
.
Уровень 2.
- При каких значениях х функция
принимает значение, равное
? - Найдите нули функции
. - Постройте график функции
. Найдите с помощью графика: 1) промежутки возрастания и убывания функции; 2) значения х,
при которых у< 0 и у> 0; 3) наименьшее или наибольшее значение функции. - Решите графически неравенство
> 17.
Контрольная работа по теме "Квадратные неравенства"
Вариант 1.
Уровень 1.
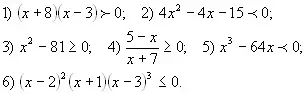
- Решите неравенства:

- При каких значениях х имеет смысл выражение
.
Уровень 2.
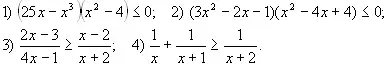
- Решите неравенства:

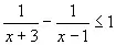
- При каких значениях х имеет смысл выражение
.
Вариант 2.
Уровень 1.
- Решите неравенства:

- При каких значениях х имеет смысл выражение
.
Уровень 2.
- Решите неравенства:

- При каких значениях х имеет смысл выражение
.
Итоговая контрольная работа по алгебре
Вариант 1
- Упростите выражение
. - Решите неравенство
. - Решите уравнение
. - Решите неравенство
. - Решите уравнение
. - Постройте график функции
и опишите ее свойства. - Упростите выражение
. - Решите неравенство
. - При каких значениях а уравнение
имеет два корня? Запишите пример такого уравнения. - Два пешехода выходят навстречу друг другу из двух пунктов, расстояние между которыми 30 км. Если первый выйдет на 2 ч раньше второго, то он встретит второго пешехода через 4,5 ч после своего выхода. Если второй выйдет на 2 ч раньше первого, то он встретит первого пешехода через 5 ч после своего выхода. С какой скоростью идет каждый пешеход?
Вариант 2
- Упростите выражение
. - Решите неравенство
. - Решите уравнение
. - Решите неравенство
. - Решите уравнение
. - Постройте график функции
и опишите ее свойства. - Упростите выражение
. - Решите неравенство
. - При каких значениях а уравнение
имеет два корня? Запишите пример такого уравнения. - Из двух пунктов, расстояние между которыми 36 км, отправляются навстречу друг другу велосипедист и пешеход. Если велосипедист отправится в путь на 1 ч раньше пешехода, то они встретятся через 1,5 ч после выхода пешехода. Если пешеход выйдет на 1 ч раньше велосипедиста, то они встретятся через 2 ч после выезда велосипедиста. Найдите скорости велосипедиста и пешехода.
поделиться