Избранные методы решения уравнений. Фрагмент занятия элективного курса для 11-го класса
Я обращаюсь ко всем, кто обучается математике, элементарной или высшей, и заинтересован в овладении ею, и говорю: "Конечно, будем учиться доказывать; но давайте также учиться догадываться". (Д.Пойа)
Цели
I Обучающая: привести в систему и углубить навыки решения уравнений различными методами:
- Использование преобразований, приводящих к равносильным уравнениям.
- Использование неотрицательности функций.
- Использование ограниченности функций.
- Использование числовых неравенств.
- Использование производной.
II Развивающая: продолжить развитие умений и навыков самостоятельного пополнения знаний; развитие умения сопоставить факты, способность переводить теоретические знания в практические навыки.
III Воспитательная: прививать интерес к предмету, сформировать коммуникативные навыки и волевые качества личности; пробудить общественную активность школьников.
Тип занятия. Обобщение и систематизация знаний, учащихся.
Метод. Частично поисковый.
Основные этапы занятия
- Фронтальная работа.
- Работа в группах.
- Выступления учащихся.
- Подведение итогов занятия.
Оборудование. Компьютер, мультимедийнный проектор и раздаточный материал.
Ход занятия
1. Организационный момент
2. Фронтальная работа
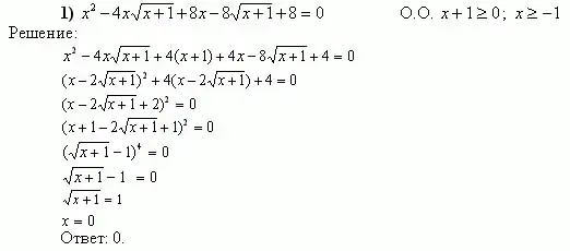
Обсуждение и совместный поиск путей решения уравнений. Для их решения предлагается вспомнить формулы сокращенного умножения. (На доску проектируются само уравнение, а в процессе обсуждения, на доске появляется и его решение.)





3. Работа в группах
Все учащиеся класса предварительно (в начале занятия) делятся на пять групп. Каждая группа, получив задание, знакомится со своим методом и готовится к выступлению у доски.
Группа №1
Использование преобразований, приводящих к равносильным уравнениям
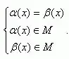
Теорема. Пусть область существования функции f(u) есть промежуток М и пусть эта функция непрерывна и строго монотонна (т.е. возрастает или убывает) на этом промежутке. Тогда уравнение
![]()
Равносильно системе
.
Частный случай. Пусть А - область существования функции f(u) и пусть эта функция непрерывна и строго монотонна на А, тогда равносильны уравнения
.

Решение: Область существования
есть R. Так как эта функция непрерывна и убывает на R, то уравнение равносильно уравнению ![]()
Уравнение имеет два корня: х1= -2 и х2= 3, тогда и равносильное ему уравнение имеет те же корни.
Ответ: -2; 3.
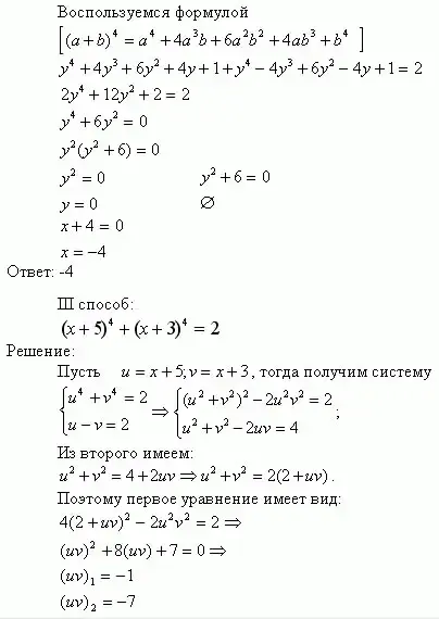
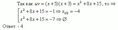
Примеры для самостоятельного решения:

Группа №2. Использование неотрицательности функций
Группа №3. Использование ограниченности функций
Группа №4. Использование числовых неравенств
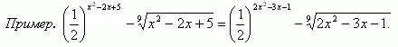
Группа №5. Использование производной для решения уравнений
4. Выступления учащихся
5. Подведение итогов занятия
ЛИТЕРАТУРА
- Алгебра и начала анализа: Учебник для 11 класса общеобразовательных учреждений / С.М. Никольский, М.К.Потапов и др. - 2-е изд. - М.: Просвещение, 2003. - 448с.
- С.В.Кравцев, Ю.Н.Макаров и др. Методы решения задач по алгебре. - М.: Издательство "Экзамен", 2003. - 543с.
- М.К.Потапов, С.Н.Олехник, Ю.В.Нестеренко. Варианты экзаменационных задач по математике для поступающих в ВУЗы. - М.: Издательский дом "Дрофа", 1997. - 192с.