Открытый урок по теме "Показательная функция. Функционально-графические методы решений уравнений и неравенств"
Цель: рассмотреть задачи Единого государственного экзамена базового, повышенного и высокого уровня сложности с применением функционально- графических методов на примере
показательной функции у = ах, а>1, а
0.
Задачи урока:
- повторить свойство монотонности показательной функции;
- свойство ограниченности показательной функции;
- повторить определение абсолютной величины; работа с графиками, содержащими модуль;
- ввести понятие сложной функции; рассмотреть графики сложной функции и их область значений;
Оборудование: презентация графиков функций, подготовленная с применением графической программы "Advanced Grapher".
Ход урока:
1. Вступительное слово учителя.
Слайд 0. Показательная функция. "Функционально - графические методы решения уравнений и неравенств"
Функционально - графический метод основан на использовании графических иллюстраций, применении свойств функции и позволяет решать многие задачи математики.
Сегодня мы рассмотрим задачи Единого государственного экзамена базового, повышенного и высокого уровня сложности с применением функционально- графических методов на примере показательной функции у
= ах, а>1, а
0. С помощью графической "Advanced Grapher" выполним иллюстрации ко всем задачам.
Слайд 0а. Почему так важно знать свойства показательной функции?.
- По закону показательной функции размножалось бы все живое на Земле, если бы для этого имелись благоприятные условия, т.е. не было естественных врагов и было вдоволь пищи. Доказательство тому - распространение в Австралии кроликов, которых там не было раньше. Достаточно было выпустить пару особей, как через некоторое время их потомство стало национальным бедствием.
- В природе, технике и экономике встречаются многочисленные процессы, в ходе которых значение величины меняется в одно и то же число раз, т.е. по закону показательной функции. Эти процессы называются процессами органического роста или органического затухания.
- Например, рост бактерий в идеальных условиях соответствует процессу органического роста; радиоактивный распад веществ - процессу органического затухания.
- Законам органического роста подчиняется рост вклада в Сберегательном банке, восстановление гемоглобина в крови у донора или раненого, потерявшего много крови.
2. Актуализация знаний учащихся.
Группа А.
На первом этапе урока устно по готовым чертежам повторим свойства показательной функции:
- определение по графику функции соответствующей формулы;
- свойство монотонности показательной функции;
- свойство ограниченности показательной функции;
Слайд 1. Определить вид графика (устная работа 5 минут). На рисунке изображены графики показательных функций. Соотнесите график функции с формулой.

Рисунок1.

Рисунок2.

Рисунок3.

Рисунок4.
Слайд 2. Свойство монотонности показательной функции (устная работа 2 минуты).
Назовите функцию, возрастающую (убывающую) на множестве действительных чисел. Соотнесите график с соответствующей формулой

Рисунок5.

Рисунок6.
При 1<а<0 показательная функция возрастает.
При а>0 показательная функция убывает.
Слайд 3. Свойство ограниченности показательной функции (устная работа 2 минуты).
Укажите множество значений функции.

Рисунок7.
Графические методы дают возможность решать неравенства, содержащие разные функции.
Слайд 4. Решить графически неравенство.
Что можно сказать про графики функций
и график функции у=12 - 1,5х?
(График показательной функции лежит выше функции, записанной в правой части уравнения).
>12 - 1,5х

Рисунок8.
Ответ: х>2. О
![]()

Рисунок9.
Oтвет: х>0.
2. Показательная функция содержит знак модуля в показателе степени.
Группа В - это комбинированные задачи. Рассмотрим задачи, содержащие абсолютную величину (модуль).
Повторим определение модуля.
(запись на доске)
Слайд 5. Укажите множество значений функции (5 минут).
Сделать записи в тетради:
1). 
2). 
Графическая иллюстрация представлена на слайде 5. Объяснить, как построены графики.
![]()

Рисунок10.
Е(у)=[1;![]()
![]()

Рисунок11.
Е(у)=(0;1]
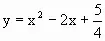
3. Нахождение области значений сложной функции.
Достаточно непросто определять область значений сложных функций.
Определим, что такое сложная функция. Если функция f ставит в соответствие числу х число у, а функция g - числу у число z, то говорят что h есть сложная функция, составленная из функции g и f и пишут h=g(f(x)).
При этом D(h) является E(f) или его частью D(h)
E(f).
Слайд 7. Используя умение строить график квадратичной функции, определите последовательно координаты вершины параболы, найдите область значений.
,
- вершина параболы.
![]()

Рисунок12.
![]()

Рисунок13.
Вопрос: определите характер монотонности функции.
Показательная функция у = 16t возрастает, так как 16>1 .
При наименьшем значении показателя функции
.
Е(у)=[2;
.
График иллюстрирует наш вывод.


Рисунок14.
Вопрос: определите характер монотонности функции.
Показательная функция у =
убывает, так как
<1.
При наименьшем значении показателя функции
. Е(у)=(0;
].
График иллюстрирует наш вывод.
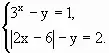
4. Решение графически систем уравнений, содержащих показательную функцию.
Слайд 8. Найти значение выражения х
+ у
,если (х
;у
) является решением системы уравнений. 
Решение:
![]()
-параллельный перенос на 1 единицу влево.
- параллельный перенос на 2 единицы влево.
х
=-1, у
=1
х
+ у
=0.

Рисунок15.
Ответ: 0.
5. Решение уравнений, содержащих параметры.
Наиболее сложные задания содержатся в группе С.
Слайд 9. Найдите все значения р, при которых уравнение
имеет единственный корень.
Решение:
Пусть 3х=t, t>0.
3t (3t2-6t) + 9t - 5 = p.
Введем функцию f(t) = 9t3 -18t2 + 9t - 5.
Исследуем функцию с помощью производной и построим ее график.
f '(x) =27t2 - 36t + 9.
Найдем стационарные точки: f '(x)=0.
27t2 - 36t + 9 = 0.
3t2 - 4t + 1 = 0.
t1=1, t2=
.

f(
)=9
=
-2+3-5=
,
f(1)=9-18+9-5= - 5.
График функции f(t) = 9t3 -18t2 + 9t - 5 изображен на рисунке. Уравнение имеет 1 корень при р = -5 и р>
.
![]()

Рисунок16.
Графическая иллюстрация решения выполнена с использованием программы "Advanced Grapher".

Рисунок17.
Домашнее задание:
1).
2).
3).Найдите все значения р, при которых уравнение
имеет ровно два корня.
6. Самостоятельная работа (при наличии времени).
Решить графически неравенство.
1).
. Ответ: (-
;2].
2).
. Ответ: (-1;0)
7. Итоги урока
По мере изучения курса алгебры постоянно возрастает применение функционально-графических методов, что позволяет быстро и красиво решать многие уравнения и неравенства Единого Государственного экзамена.