Урок по алгебре 7-го класса с применением группового обучения
Цель урока:
Образовательная: отработать навыки умножения одночлена на многочлен при выполнении упражнений и решение уравнений.
Развивающая: развитие у учащихся умение осуществлять основные мыслительные операции через активность, самостоятельность, познавательный интерес.
Воспитательная: формирование навыков продуктивного, делового взаимодействия и принятия групповых решений.
Ход урока:
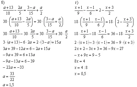
1. Проверка домашнего задания №686 (б,г)
Найти и исправить ошибку.

№695 Заполнить пропущенные места.
|
S |
V |
t |
|
| От турбазы до привала |
4,5х км |
4,5 км/ч |
х ч |
| Обратно |
4 |
4 км/ч |
|
| 1) 4,5х = 4 |
2) …….. = 9 (км) |
| 4,5х = 4х + … | |
| 4,5х - … = 1 | |
| 0,5х = 1 | |
| х = 1 : 0,5 | |
| х = 2 |
2. Устная работа
Приведите заданные выражения к стандартному виду. Назовите правила, которые применялись при вычислении?
а) 1,8ab2? 5a3b =
б) -2a2b? (-3ab3) =
в) (-3a2b)2 =
Заполните пропуски:
а) 0,6х2у? …. = 3х3у5
б) …. ? (-2ab5) = a3b7
в) 6х2у3 ? …. = 18х3у4
3. Работа в группах
Задание 1
Задание для 1 группы.
После многолетнего перерыва, длившегося пятнадцать столетий, были возрождены олимпийские игры. Произошло это в 1896 году в Греции. За прошедшее столетие Олимпийские игры однажды проводились и в Москве. Узнайте в каком году это было. Для этого упростите выражение и найдите его значение при указанных значениях переменной:
2ab(10b - 1) - (b - 6)• ab =
Если a = 4, b = 5, то ….
Ответ: Олимпийские игры в Москве состоялись летом …. года.
У олимпийского движения есть свой флаг, на котором изображен главный символ: пять переплетенных колец.(рис1)
Задание для 2 группы.
Узнайте, какого цвета полотно и кольца олимпийского флага. Создайте цветное изображение этого олимпийского символа. Для этого упростите выражения и запишите результаты в стандартном виде:
Красный: 2b - (b - a2) - a2 =
Оранжевый: 2b + (b - a2) + a2 =
Желтый: 2b(b - a2) + a2 =
Задание для 3 группы.
Узнайте, какого цвета полотно и кольца олимпийского флага. Создайте цветное изображение этого олимпийского символа. Для этого упростите выражения и запишите результаты в стандартном виде:
Зеленый: 2b + (b - a2)•a2 =
Синий: 2b•(b - a2)•a2 =
Белый: -(a3 - b)•2ab =
Задание для 4 группы.
Узнайте, единение каких континентов эти кольца символизируют. Для этого упростите выражения. В соответствии с найденными ответами надпишите названия континентов на рисунке флага.
Австралия: ![]()
Азия: ![]()
Задание для 5 группы.
Узнайте, единение каких континентов эти кольца символизируют. Для этого упростите выражения. В соответствии с найденными ответами надпишите названия континентов на рисунке флага.
Америка: ![]()
Антарктида: ![]()
Африка: ![]()

Рис.1
Задание 2
1 и 2 группы
Оставшееся на флаге кольцо - черное. В следующем равенстве впишите в прямоугольник выражение - ответ, связанный с черным кольцом, а в овале подберите и запишите многочлен, чтобы равенство был верным.
![]()
3,4 и 5 группы
Оставшееся кольцо символизирует Европу. В следующем равенстве впишите в прямоугольник выражение - ответ, связанный с этим континентом, а в овале подберите и запишите выражение, чтобы равенство было верным.

Задание 3
Олимпийский девиз состоит из трех слов, выражающих смысл честной спортивной борьбы.
Составьте написание этого девиза на русском языке. Для этого решите уравнения. Первое слово девиза связано с уравнением, у которого наименьший корень, а последнее - с уравнением, у которого корень наибольший.

3 группа (быстрее)
1,3 (2х2+3) - х(2,6х - 5) = 2(2х + 2,7)
2,6х2 + 3,9 - 2,6х2 + 5х = 4х + 5,4
5х - 4х = 5,4 - 3,9
х = 1,5

4. Итог урока.
|
ОЦЕНОЧНЫЙ ЛИСТ ФИ _____________________ |
|||
| Вид работы | Самооценка | Оценка консультанта | Итоговая оценка |
| Проверка д/з | |||
| Устная работа | |||
| Задание 1 | |||
| Задание 2 | |||
| Задание 3 | |||
5. Домашнее задание.
П.26, №687 (д,е), №697.