Комплексные числа
Цели урока:
- расширить понятие числа, ввести понятие комплексного числа;
- рассмотреть действия над комплексными числами;
- рассмотреть геометрическую интерпретацию комплексного числа;
- ввести тригонометрическую и показательную формы комплексного числа;
- развивать у учащихся интерес к дальнейшему изучению математики;
- расширить математический кругозор учащихся.
Задачи урока:
1. Образовательные:
- повторить историю развития чисел;
- показать необходимость расширения множеств натуральных, рациональных, действительных чисел;
- научить выполнять действия над комплексными числами;
- научить выполнять переход от одной формы комплексного числа к другой.
2. Развивающие:
- развитие логического мышления;
- развитие абстрактного мышления;
- развитие пространственного воображения.
Оборудование: компьютер, видеопроектор, экран.
План урока:
- Вводная часть.
- История развития числа.
- Понятие комплексного числа.
- Действия над комплексными числами.
- Геометрическая интерпретация комплексного числа.
- Тригонометрическая форма комплексного числа.
- Показательная форма комплексного числа.
- Подведение итогов.
1. Вводная часть.
Сегодня мы поговорим о числах, изучаемых в курсе математики. С какими числами вы уже знакомы? (Ответы учащихся). Зачем человеку нужно было придумывать различные множества чисел? (Потому что во множестве натуральных чисел не всегда можно выполнить вычитание и деление, во множестве рациональных чисел нельзя извлечь корень квадратный из положительного числа). Как геометрически можно изобразить натуральные, целые, рациональные, действительные числа? Мы кратко повторили историю развития понятия числа, а теперь посмотрим презентацию этого материала, подготовленную Долгополовым О. После просмотра вы должны выполнить самостоятельную работу.
2. История развития числа (Презентация).
На первых этапах существования человеческого общества числа служили для примитивного счета предметов, дней, шагов. В первобытном обществе человек нуждался лишь в нескольких первых числа. С развитием цивилизации ему потребовалось изобретать все больше числа, этот процесс продолжался на протяженности многих столетий и требовал напряженного интеллектуального труда. При обмене продуктами появилась необходимость сравнивать числа, возникли понятия больше, меньше, равно. На этом же этапе люди стали складывать числа, затем научились вычитать, делить, умножать. При делении двух натуральных чисел появились дроби, при вычитании - отрицательные числа.
Необходимость выполнять арифметические действия привела к понятию рациональных чисел. В IV в. до н.э. греческие математики открыли несоизмеримые отрезки, длины которых не выражались ни целым, ни дробным числом (например, длина диагонали квадрата со стороной, равной 1). Потребовалась не одна сотня лет, чтобы математики смогли выработать способ записи таких чисел в виде бесконечной непериодической десятичной дроби. Так появились иррациональные числа, которые вместе с рациональными назвали действительными числами.
Но затем выяснилось, что во множестве действительных чисел не имеют решения простейшие квадратные уравнения, например, х2 + 1 = 0. Математики пришли к необходимости расширить понятия числа, чтобы в новом множестве можно было всегда извлечь квадратный корень. Новое множество назвали множеством комплексных чисел, введя понятие мнимой единицы: i2 = - 1.
Выражение вида а + вi назвали комплексным числом. Долгое время многие ученые не признавали их за числа. Только после того, как нашли возможность представить мнимое число геометрически, так называемые мнимые числа получили свое место во множестве чисел. [2]
3. Понятие комплексного числа.
Мы посмотрели слайды, показывающие как расширялось понятие числа. Запишите в тетрадях историю развития числа на языке множеств, используя круги Эйлера. В тетрадях должен появиться чертеж:
N - натуральные числа.
Q - рациональные числа.
R - действительные числа.

Учитель: Попробуйте сформулировать тему нашего урока (Выслушиваются предложения учащихся). Итак, тема занятия «Комплексные числа». Скажите еще раз, зачем нужно было расширять множества натуральных, целых, рациональных, действительных чисел? (Чтобы можно было выполнять любые действия над числами).
Определение. Комплексными называются числа вида а + вi, где а и в - действительные числа, i - мнимая единица: i2 = - 1. а называется действительной частью, вi - мнимой частью комплексного числа. [1]
Придумайте и запишите в тетрадях три комплексных числа.
Определение. Два комплексных числа называются равными, если равны их действительные части и коэффициенты при мнимых частях, т.е. а + вi = с + di
a = c, b = d.
Для комплексных чисел не существует соотношений «больше», «меньше».
Примеры: Найдите действительные числа х и у из уравнений:
а) х - 8i + (у - 3)i = 1 б) (3 + i) х - 2 (1 + 4i) у = - 2 - 4i
4. Действия над комплексными числами.
Определение. Суммой двух комплексных чисел а + вi = с + di называется комплексное число, равное (а + с) + (в +d) i.
Определение. Числа а + вi и - а - вi называются противоположными.
Действительно, (а + вi) + (- а - вi) = (а - а) + (в - в)i = 0 + 0i = 0.
Определение. Числа а + вi и а - вi называются сопряженными.
(а + вi) + (а - вi) = 2а;
(а + вi) + (а - вi) = a2 - (bi)2 = a2 - b2i2 = a2 - b2 (- 1) = a2 + b2.
Найдем произведение двух комплексных чисел:
(а + вi) (с + di) = ac + adi + bci + bdi2 = (ac - bd) + (ad + bc)i
Пример: (4 - 3i) (-2 + 5i) = (-8 + 15) + (20 + 6)i = 7 + 26i
Самостоятельная работа в тетрадях. Вычислить (1+ 5i)(-2 + 3i), (1 - 2i)(0,6 - i).
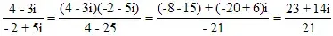
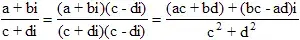
Чтобы найти частное двух комплексных чисел, надо умножить числитель и знаменатель дроби на число, сопряженное знаменателю (этим действием мы избавляемся от мнимой части в знаменателе):
Запоминать формулу не обязательно, важно помнить практический способ деления комплексных чисел.
Пример: ![]()
Самостоятельная работа в тетрадях. Вычислить (1 - 2i) / (1 + 2i), 6 / (3i - 4).
Рассмотрим действие возведения в степень мнимой единицы:
i1 = i; i2 = - 1; i3 = i2 · i = - i; i4 = (i2)2 = (- 1)2 = 1; i5 = i4 · i = I; и т.д. Заметив повторение через некоторый интервал ответов, запишем общую формулу:

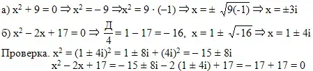
Решить квадратные уравнения:

5. Геометрическая интерпретация комплексного числа.
Как известно, действительные числа можно изображать точками числовой прямой. При этом каждому действительному числу соответствует единственная точка числовой прямой. Верно и обратное утверждение: каждой точке числовой прямой соответствует единственное действительное число. Значит, между точками числовой прямой и множеством всех действительных чисел установлено взаимно однозначное соответствие.
Подобно тому, как действительные числа изображаются точками числовой прямой, комплексные числа можно изображать геометрически точками плоскости. Каждому комплексному числу а + вi поставили в соответствие точку плоскости с координатами А(а; в).
Множество всех комплексных чисел находится во взаимно-однозначном соответствии с множеством всех точек плоскости. К любой точке плоскости можно провести радиус-вектор.
Ось ОХ - действительная ось;
ОУ - мнимая ось.

6. Тригонометрическая форма комплексного числа.
Пусть комплексному числу а + вi соответствует вектор
с координатами (а; в). Обозначим длину этого вектора через r, а угол, который он
образует с осью ОХ, через φ. Из тригонометрии известно, что ![]()

а + вi можно записать в виде: а + вi = r cos φ + i r sin φ = r (cos φ + i sin φ) - тригонометрическая форма комплексного числа.
Самостоятельная работа в тетрадях. Запишите комплексные числа в тригонометрической форме: 1; - i; 1 + i; 1 + i27.
7. Показательная форма комплексного числа.
Комплексное число а + вi может быть представлено и в показательной форме: Z = r (cos φ + i sin φ) = r e iφ .
Самостоятельная работа в тетрадях. Записать комплексные числа в показательной форме:
- 1; 1 - i ; 4 - 3i.
На этом наш урок закончен. Чем вас обогатил этот урок?
Домашнее задание:
- Информацию, полученную на уроке, структурируйте (запишите в виде плана).
- Решите примеры по книге А.А.Дадаян. Сборник задач по математике, №№ 16.14 - 16.17.
Список литературы:
- Виленкин Н.Я., Ивашев-Мусатов О.С., Шварцбурд С.И. Алгебра и математический анализ, 10-11 классы. - М.:Просвещение, 2003.
- ГлейзерГ.И. История математики в школе, IX - X классы. - М.: Просвещение, 1983.
- Дадаян А.А. Сборник задач по математике. М.: ФОРУМ: ИНФРА-М, 2006. - 352 с.
- Шипачев В.С.Задачник по высшей математике: Учеб. Пособие для вузов. - 2-е изд., испр. - 304 с.: ил.