План-конспект урока геометрии в 11-м классе "Объем цилиндра"
Цели урока:
- Дальнейшее изучение свойств в стереометрических тел в частности цилиндра, его элементов.
- Формирования навыков вычисления объемов.
- Дальнейшее формирование навыков поиска решения задач используя анализ, синтез с предварительным прогнозированием решения.
Ход урока
I. Вступительная часть.
Мы продолжаем встречи на уроках геометрии. Трудно не согласится со словами А.С. Пушкина «Вдохновение нужно в геометрии, как и в поэзии», ну а вас гуманитариев это чувство посещало уже не раз. И я желаю вам творческого вдохновения. И так в путь.
Как сказал мыслитель древности П. Рамус: «Геометрия это наука хорошо измерять». Мы продолжим сегодня измерять цилиндр и покажем, что целесообразно измерить в той или иной ситуации, и зачем это нужно делать.
II. Актуализация опорных знаний.
- Какое тело называется цилиндром.
- Почему цилиндр называется еще телом вращения.
С элементами цилиндра мы уже знакомы, на столе у вас лежат тесты по названной теме. Он состоит из 10 заданий с выбором одного или нескольких правильных ответов из трех предложенных. Номер правильного ответа подчеркнуть ручкой. Исправления исключаются. Для работы с тестом выделяется 4 мин.
1. Какая фигура является основанием цилиндра:
а) окружность;
б) круг;
в) эллипс.
2. Назовите отрезок который является радиусом:
а) О2А1;
б) О2О1;
в) А4О2.

3. Укажите на рисунке образующую цилиндра:
а) О1О2;
б) А2А3;
в) А1А2.
4. Высота цилиндра это:
а) Расстояние между плоскостями его основания;
б) отрезок, который соединяет две любые точки оснований;
в) отрезок, который соединяет центр круга с любой точкой цилиндра.
5. Какая фигура является осью цилиндра?
а) прямая О1О2;
б) отрезок О1О2;
в) отрезок А1А2.
6. Равносторонний цилиндр - это цилиндр, у которого:
а) образующая равна высоте;
б) радиус основания равен высоте цилиндра;
в) диаметр основания равен высоте цилиндра.
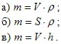
7. Масса тела вычисляется по формуле:

8. Буквой
обозначают:
а) площадь;
б) плотность;
в) температуру.
9. Укажите номера правильных выражений:
а) 1 см = 10 мм;
б) 1м3 = 1000000 см3;
в) 1 см3 = 0,000001 м3.
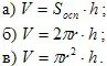
10. Объем цилиндра вычисляется по формуле:

Ключ к тесту:
- Б.
- А, В.
- А, Б.
- А.
- А.
- В.
- А.
- Б.
- А, Б, В.
- А, В.
На экране вы видите кляч к тесту и критерий для самооценки своих знаний.
- «5» 9-10 правильных ответов.
- «4» 7-8правильных ответов.
- «3» 5-6правильных ответов.
И поставьте оценку подпишите работы и сдайте.
III. Откроем тетради запишем: число, классная работа, тема урока «Объем цилиндра», и решим задачи.
Задача 1.

При монтаже трубопровода по поверхности земли используются трубы размеры которой даны на рисунке. Размеры даны в см. Вычислить металла, который затратят на изготовление этой трубы. Проанализируем условие задачи и составим план решения.
Данное тело можно разбить на несколько цилиндров:
- d = 80, h = 5 таких цилиндров 2;
- d = 60, h = 390;
- d = 50, h = 400.
![]()
Запишите план решения этой задачи, а дома выполните вычисления.
Задача 2.
Текст с рисунком на экране.
Сколько в связке электродов для электросварки если их общая масса 10 кг, а каждый электрод, кусок стальной проволоки длинной 45 см. и диаметром 6 мм. Плотность стали 7600 г/м3.
Ответы:
- 150;
- 100;
- 120;
- 110;
- 200;
- 103.
(фронтально) составим план решения задачи. Чтобы составить план решения проанализируем условие задачи:
- Чтобы ответить на вопрос задачи нужно знать массу 1 стержня.
- Чтобы найти массу одного стержня
, найдем объем одного стержня. - Чтобы найти объем одного стержня воспользуемся формулой
.
При составлении плана решения задачи наши логические рассуждения запишем в обратном порядке:
- Найдем объем одного стержня;
- Найдем массу одного стержня;
- Найдем количество стержней.
Решение. (Самостоятельное решение)

Ответ: 100 штук.
Задача 3.
Текст с рисунком на экране.
Для тренировки смекалки представьте себе такое вынужденное положение:
Необходимо, пользуясь только масштабной линейкой определить объем бутылки, которая частично наполнена жидкостью. Дно бутылки предполагается плоским. Выливать и доливать жидкость не разрешается.

Решение.
![]()
V. Подведение итогов.
Давайте подведем итоги урока:
- Что нового вы сегодня узнали?
- Чем занимались на уроке?
- Вычисляли объемы цилиндров и их массу.
- Увидели зачем нужно вычислять объем цилиндра.
- Задачи на вычисление объемов в нашем газовом регионе.