Урок математики в 7-м классе "Сокращение алгебраических дробей"
Цели урока:
- закрепить навыки сокращения алгебраических дробей используя комбинированные методы при разложении многочленов на множители: вынесение общего множителя за скобки, применение формул сокращенного умножения, способ группировки;
- проверить уровень усвоения материала по данной теме;
- развивать навыки самоконтроля;
- воспитывать умение работать в группе, чувство ответственности, дисциплинированности.
Оборудование:
- компьютер,
- проектор,
- экран,
- дидактическая игра “Домино” (карточки – 3 комплекта),
- раздаточный материал для самостоятельной работы (два варианта).
Ход урока
I. Организационный момент.
II. Фронтальный опрос.
- Что такое алгебраическая дробь?
- Что значит сократить дробь?
- Что значит разложить на множители?
- Какие способы разложения вы знаете?
- Чему равен квадрат суммы (разности)?
- Чему равна разность квадратов?
III. Устная работа. < Приложение. Слайд 1-5.>
1. Разложите на множители:
а ) б ) ![]()
в ) ![]()
г) ![]()
д) ![]()
е ) ![]()
ж ) ![]()
з ) .
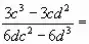
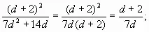
2. Сократите дроби:
а) ![]()
б) в)
![]()
г) ![]()
д) ![]()
е) ж)
![]()
з) ![]()
3. Найдите значение алгебраической дроби,
предварительно сократив ее:
при
Всегда ли это возможно? Когда нет?
4. При каких значениях р возможно сокращение
дроби ![]()
Одновременно трем парам учащихся раздается дидактическая игра “Домино”, по окончании которой ребята подключаются к выполнению устных упражнений. Работа в парах проверяется и оценивается учителем во время выполнения письменных упражнений.
Образец комплекта “Домино”:
“Домино” - это прямоугольные карточки. Они разделены вертикальной линией посередине: на одной половине написано некоторое алгебраическое выражение, а другая сторона пуста или заполнена аналогичным выражением, но не равным первому. Двучлен или трехчлен (или их произведение), который тождественно равен первому выражению, учащийся должен найти на другой карточке. Карточки следует выложить так, чтобы тождественно равные выражения оказались рядом.
IV. Решение упражнений.
Из класса выделяется группа сильных учащихся, которым предлагается выполнение упражнений №698 (а), 699 (а), 702 (а), 705 (а).[2]. Упражнения выполняются сильными учащимися на доске, для самоконтроля на доске для них выписаны правильные ответы к упражнениям.
Остальные учащиеся выполняют упражнения № 688 (а,б), 689 (а,б),
690 (а,б) [2] под контролем учителя.
№698 (а) ![]()
№699(а) ![]()
№702 (а) ![]()
№705 (а) ![]()
№688 а)
б) ![]()
№689 а)
б) ![]()
№690 а) ![]()
б) ![]()
V. Самостоятельная работа.
Учащимся предлагается самостоятельная работа на два варианта, где им нужно вписать на розданном листе дробь, полученную при сокращении алгебраической дроби. Для успешно выполнивших эту работу, на доске записано дополнительное задание, повышенной сложности на два варианта, которое оценивается дополнительной оценкой.
Самостоятельная работа
I вариант II вариант ![]()
![]()
![]()
![]()
![]()
![]()
![]()
![]()
![]()
![]()
Дополнительное задание < Приложение. Слайд 6.>
1. При каком значении р равенство, полученное при сокращении дроби верно?
2*. Решите уравнение:
3**. Сократите дробь:
VI. Итог урока. Объявление оценок за урок.
Домашнее задание: № 687 (в, г), 690 (в, г), 702, 705 (в, г) [2] §25 прочитать. [1]
VII. Список использованной литературы:
- Мордкович А.Г. “Алгебра 7” : Учебник для общеобразоват. учреждений. – 9-е изд., – Москва: Мнемозина, 2006
- Мордкович А.Г. “Алгебра 7” : Задачник для общеобразоват. учреждений. – 9-е изд., – Москва: Мнемозина, 2006
- А.Г. Мордкович “Алгебра 7-9 классы: методическое пособие для учителя .- 2-е издание, доработанное. – Москва: Мнемозина, 2001.
- С.Г. Манвелов. Конструирование современного урока математики: книга для учителя. - 2-е изд., М.: Просвещение, 2005.
- “Математика в школе”, 2000, № 5.