Преобразование выражений, содержащих степени
Цели:
Образовательные:
- отработать умение и навыки применения свойств степеней при решении типовых задач и заданий более сложного уровня;
- контроль знаний.
Развивающие: развитие познавательной активности ,творческих способностей и логического мышления.
Воспитательные: формирование навыков самоконтроля.
Ход урока
1) Организационный момент
2) Проверка домашнего задания (более сложных номеров - дополнительного задания через интерактивную доску)
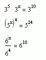
Вычислить:

3) Актуализация знаний (через устный счет)
Одновременно 4 ученика работают у доски ( задания записаны заранее ). При проверке ответов, которая проводится после устного счета ,необходимо требовать у учащихся объяснения ,используемых свойств.
Задания для индивидуальной работы.
Вычислите:

Упростите: 
Задания для устного счета:
а) Найдите и объясните ошибку:

Вопрос: в каком случае при возведении отрицательного числа в степень получается результат положительный , а когда отрицательный?

б) Представьте в виде степени:

в)Вычислите:

г) Сравните:

д) Укажите значения переменной, при которой верно равенство:

- Как можно переформулировать это задание (решить уравнения)
- Определение уравнения
-Что называется корнем уравнения?
-Как можно проверить, что уравнение решено, верно?
4) Контроль знаний проходит через математический диктант.
(Диктант пишут через копирку, и после написания диктанта , поверяют через интерактивную доску. Оценки будут выставлены, после детальной проверки учителем. В скобках даны задания для 2 варианта).

Листочки собираются и предлагаются разноуровневые задания.
5) Развивающие задачи:
;
Одновременно с выполнением этого задания слабые учащиеся получают карточки следующего содержания :
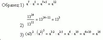
1 Карточка
Сделай по образцу.

Задание
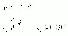
Представьте в виде степени

6) Совместная работа
Найдите значение выражения:

7) Итог урока
- еще раз вспомнить все свойства и определение степени (зрительно через интерактивную доску )
- сообщить оценки за урок
- кто работал по карточкам результат узнают на следующий урок
8) Домашнее задание (разноуровневое) - номера из учебника.