Методы решения уравнений, содержащих обратные тригонометрические функции
Метод решения хорош, если с самого начала мы можем предвидеть - и в последствии подтвердить это, - что, следуя этому методу, мы достигнем цели.
Лейбниц
Цели: систематизировать, обобщить знания и умения учащихся по применению методов решения уравнений, содержащих обратные тригонометрические функции, развивать умение наблюдать, сравнивать, классифицировать, анализировать математические ситуации.
(На столах у учащихся карточки с заданиями №1, №2 теста, таблицы с уравнениями, оценочные листы, набор карточек для сбора на магнитной доске задания №2).
Ключевые свойства: монотонность, ограниченность.
Основные понятия: классификация, уравнение-следствие, равносильное уравнение, равносильная система.
Работа учащихся состоит из шести этапов. Итоги своей деятельности ребята фиксируют в оценочных листах. Самооценка за урок зависит от суммы n набранных баллов на всех этапах.
Оценочный лист учащегося
|
Фамилия |
|||
|
Имя |
|||
|
этап |
задание |
достижения |
Оценка |
|
I |
Задание №1 Задание №2 |
Знать и понимать определения обратных тригонометрических функций, тождества |
|
|
II |
Тест |
Уметь применять свойства обратных тригонометрических функций для решения уравнений |
|
|
III |
Классификация уравнений по методам решения |
Знать характеристику каждого метода, уметь классифицировать уравнения по методам решения. |
|
|
IV |
Проверка домашнего задания |
Уметь решать уравнения № 9, 11 , 10 , 3 , 13. |
|
|
V |
Решение уравнений |
Уметь решать уравнения №12, 16, 14. |
|
|
VI |
Самостоятельная работа |
Уметь решать уравнения Вариант 1-1, 6; Вариант 2 - 4, 5 |
|
|
Итоговое количество баллов |
(n) |
||
|
Оценка |
|||
Критерии оценки:
"5" - 28-30 баллов;
"4" - 25-27 баллов;
"3" - 18-24 баллов;
"2" - менее 18 баллов.
Предварительное домашнее задание: Повторить определения обратных тригонометрических функций, понятие о равносильных и неравносильных преобразованиях, характеристики методов решения уравнений, содержащих обратные тригонометрические функции.
Ход урока.
Организационный момент, вступительное слово учителя.
Этап I (5 мин.). Учитель предлагает ребятам вначале вспомнить важнейшие свойства обратных тригонометрических функций. Ученики выполняют задания №1, №2 на карточках в парах. Одна пара выполняет эти задания на магнитной и переносной доске. Когда задания карточек выполнены, ребята сравнивают свои записи с работой товарищей у доски, исправляют ошибки, фиксируют свои успехи в оценочном листе.
Критерии оценки:
Оценка
"5"- нет ошибок,
"4"- 1-2 ошибки,
"3"-3-4 ошибки,
"2"- более 4 ошибок.
Задание №1. Соедините линиями соответствующие данным обратным тригонометрическим функциям область определения, область значения, условие монотонности, график.
Этап II. (5 мин) Следующий вид работы - тест. Задания теста проверяют умения учащихся применять свойства обратных тригонометрических функций для решения уравнений. По окончании работы над тестом учитель открывает заранее изготовленные ответы. Пары обмениваются карточкам и проводят взаимопроверку.
Этап III. (5 мин) На третьем этапе проводим классификацию уравнений по методам решения. Рядом с каждым методом 1-4 укажите номер задания, которое вы предполагаете можно решить данным методом. Работа в парах. Обсуждение проводим в быстром темпе. В результате выполнения этого задания появилась схема. Завершает эту работу анализ ребят своей собственной деятельности, ее оценка. (Таблица "Классификация методов решения уравнений" приложение №1).
Этап IV. (8 мин) На следующем этапе проверяем домашнее задание. (На доске заранее заготовлено решение № 9, 11, 10, 3, 13, ученики отвечают по готовым записям. Работа ведется фронтально, но пары обмениваются тетрадями и проводят взаимопроверку.)
Обсуждаем вопросы:
- Что общего у данных уравнений 9, 10, 11? (Эти уравнения, решаются на основе условия равенства разноименных обратных тригонометрических функций.)
- На чем основан данный метод решения уравнений? (При решении уравнений, левая и правая части которых являются разноименными обратными тригонометрическими функциями, пользуются известными тригонометрическими тождествами.)
- Какова особенность уравнения № 10? (При решении уравнений данного типа содержащих параметры необходимо перейти к системе равносильной исходному уравнению, в которой будут учтены естественные ограничения обратных тригонометрических функций и множествами их значений.)
![]()
4) В каких случаях применяется метод обращения к монотонности функции. (Ответ: Во-первых, тогда, когда данное уравнение имеет в одной части функцию монотонную, а в другой постоянную. Такое уравнение не может иметь более одного корня. Во-вторых, тогда, когда одна часть уравнения представляет собой возрастающую, а другая - убывающую функцию. Графики таких функций не могут иметь более одной общей точки. Следовательно, уравнение не может иметь более одного корня.)
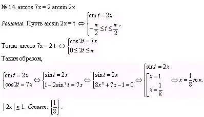
Этап V. (10 мин). Далее отмечаем, что самый распространенный из данных методов - метод замены переменной. При решении уравнений удачная замена переменных позволяет свести задачу к более простой. Однако во многих случаях удобная замена далеко не очевидна, и поэтому необходимо выполнить некоторые преобразования. Вспоминаем способы преобразований (переход к уравнению - следствию; переход к уравнению равносильному на некотором множестве исходному уравнению; переход к системе равносильной исходному уравнению). Затем трое учеников у доски решают уравнения № 12, 16, 14.
Остальные ребята решают любое из предложенных трех уравнений.

Подводя итог этого этапа, отмечаем, что при решении таких уравнений, методом замены переменной, следует помнить о естественных ограничениях на вводимую переменную, связанных с ограниченностью обратных тригонометрических функций.
Этап VI. (10 мин) В конце проводится самостоятельная работа (под копировальную бумагу) в двух вариантах с взаимопроверкой по копиям. Перед самостоятельной работой уточняем ответы на следующие вопросы:
- На каком свойстве основан метод решения уравнений левая и правая части которых являются одноименными обратными тригонометрическими функциями. (Ответ : На свойстве монотонности. )
Итог урока (2 мин.) Учитель отмечает в какой мере достигнуты цели урока, успехи ребят и ориентирует их в домашнем задании . Самооценка заработанная учениками за урок показывает им насколько они готовы к зачетному тесту по теме. Домашнее задание предусматривает уровневую дифференциацию.
I уровень - задание репродуктивного характера - решить уравнения №2, 7, 8, 15.
II уровень - задание поискового плана: подобрать неравенства решаемые методами 1-4.
III уровень - составить тест аналогичный тесту этапа II по теме: "Решение неравенств, содержащих обратные тригонометрические функции.