Математика в 6-м классе по теме "Деление обыкновенных дробей"
Тип урока: урок обобщения и систематизации знаний.
Цели урока:
- Отработка навыков умножения и деления обыкновенных дробей; обобщение и систематизация знаний по теме.
- Развитие интеллектуальной сферы, самостоятельности учащихся; расширение знаний учеников об окружающей природе.
- Воспитание познавательного интереса к предмету, развитие коммуникативной компетентности.
Оборудование: карточки, рисунки, плакаты.
«Математика... выявляет порядок, симметрию и определенность, а это - важнейшие виды прекрасного.»
Аристотель.
« Великая книга природы написана математическими символами.»
Г. Галилей.
Ход урока
I. Организационный момент.
II. Логическое упражнение.
Назовите лишнее слово:
Сумма, разность, множитель, частное.
Повторить название компонентов при умножении и делении.
Игра «Математические карты».
Работа в группах. Класс разбивается на 6 команд по 4-5 человек. Поочередно дети дают ответы на вопросы, записанные в карточках:
| Как умножить обыкновенные дроби? | Как умножить смешанные числа? | Какие числа называются взаимно обратными? | Как умножить дробь на натуральное число? |
| Как разделить дробь на дробь? | Сформулировать признак делимости чисел на 2. | Сформулировать признак делимости чисел на 3. | Сформулировать признак делимости чисел на 5. |
| Сформулировать признак делимости чисел на 10 | Сформулировать признак делимости чисел на 9. | Как перевести смешанное число в неправильную дробь? | Как выделить целую часть из неправильной дроби? |
| Как умножить дробь на смешанное число? | Как найти дробь от числа? | Назвать число, обратное 0. | Назвать число, обратное 1. |
III. Актуализация знаний.
Устные упражнения. Найдите ошибку.

Повторение формул, которые требуются при решении задач

IV. Физкульминута.
V. Отработка навыков умножения и деления обыкновенных дробей.
«…И я увижу и открою
Цветочный мир, цветочный путь, -
О, если бы и вы со мною
Могли туда перешагнуть.»В. Ходасевич.
Сегодня мы с вами, ребята, посетим волшебный мир цветов - нежный и яркий, хрупкий и необыкновенно красивый, он таинственный и чудесный. Мы познакомимся с прекрасными мифами и легендами, которые сложили в честь некоторых цветов.
Выполнив задания к карточкам 1-3, вы узнаете названия этих цветов. (Работа в парах.)
Карточка 1

Задания к карточке 1:

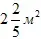
4. Найдите площадь квадрата, если длина его стороны ![]()
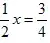
5. Решите уравнение: ![]()
![]()
7. Расстояние между двумя городами 210 км. Поезд прошел это расстояние за ![]()
Какова скорость поезда?
На доске появляется слово «Гиацинт».

Детям демонстрируется рисунок с этим цветком и далее сообщается, что название цветка по-гречески означает «цветок дождей», но греки одновременно называли его цветком печали и еще цветком памяти о Гиацинте.
Юный сын царя Спарты Гиацинт был так прекрасен, что затмевал красотою даже богов-олимпийцев. Красивому юноше покровительствовали бог южного ветра Зефир и Аполлон.
Часто навещали они своего друга и проводили с ним время, то охотясь в густых лесах, то развлекаясь спортом, в котором спартанцы были очень ловки и искусны.
Однажды Аполлон и Гиацинт состязались в метании диска. Все выше и выше вздымался бронзовый снаряд, но отдать предпочтение кому-либо из спортсменов было невозможно - Гиацинт ни в чем не уступал богу. Напрягая последние силы, метнул диск Аполлон под самые облака, но Зефир, опасаясь поражения друга, так сильно подул, что диск неожиданно ударил в лицо Гиацинту. Рана оказалась смертельной. Аполлон, опечаленный смертью юноши, превратил капли его крови в прекрасные цветы, чтобы память о нем вечно жила среди людей.
Если смотреть на растение сбоку, то каждый его цветок напоминает две греческие буквы - эпсилон (с которого начинается греческое имя Гиацинт) и перевернутую альфу - где как бы слились первые буквы имен Гиацинта и Аполлона. Вот такая красивая и печальная легенда.
А теперь познакомимся еще с одной легендой, для этого решим следующие задания.
Карточка 2

Задания к карточке 2:

4. Какое расстояние пройдет автомобиль за
если его скорость 48 км\ч?
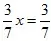
5. Решите уравнение: ![]()
![]()
7. На сколько кусков можно разрезать лист фанеры площадью, если площадь
каждого из кусков должна быть ![]()

В результате работы на доске записывается название следующего цветка: «Нарцисс».
Детям демонстрируется рисунок с этого цветка.
Нарцисс - цветок редкой красоты, он зацветает в марте-апреле, раньше многих других растений и имеет резкий запах. Недаром название цветка произошло от греческого слова «наркао», то есть «одурманивающий».
Древние греки создали о нарциссе множество мифов.
В самой распространенной легенде красивый юноша Нарцисс отверг любовь нимфы, которая от безнадежной любви иссохла и превратилась в эхо, но перед смертью произнесла проклятье: «Пусть не ответит Нарциссу взаимностью тот, кого он полюбит».
В жаркий полдень истомленный зноем молодой Нарцисс наклонился попить из ручья и в его светлых струях увидел свое отражение. Никогда раньше не встречал Нарцисс подобной красоты и потому потерял покой. Каждый день он приходил к ручью, погружая свои руки в воду, чтобы обнять того, кого видел. Но все было тщетно.
Нарцисс перестал есть, пить, спать, потому что не в силах был отойти от ручья, и таял на глазах, пока не исчез бесследно. А на земле, где его видели последний раз, вырос белый цветок холодной красоты. С тех пор мифические богини возмездия фурии украшают свои головы венками из нарциссов.
Нарцисс часто служит нарицательным именем для самовлюбленных людей.
Карточка 3

Задания к карточке 3:

4. Скорость пешехода
Какое расстояние он пройдет за ![]()
5. Решите уравнение: ![]()

8. В классе 12 мальчиков. Это составляет
всех учащихся класса. Сколько в классе учеников?

Название следующего цветка - кувшинка. На рисунке изображен этот цветок. Кувшинка белоснежная - один из самых крупных цветов. Ее бутоны всплывают перед самым восходом солнца, а раскрываются, едва солнечные лучи коснутся поверхности воды. Когда солнце заходит, цветы кувшинок закрываются и бутоны опускаются в воду, до следующего дня. Когда-то существовало такое поверье: кувшинки ночью спускаются под воду и превращаются в прекрасных русалок. А с появлением солнца русалки вновь превращаются в цветы. В древности кувшинку даже называли русалочий цветок. Может поэтому ботаники и дали название кувшинке «нимфея кандида», что в переводе означает «нимфа белая» (нимфа - русалка).
В Древней Греции цветок считался символом красоты и красноречия.
Могущественным растением, а не только прекрасным цветком считалась белая лилия и у славянских народов. Они называли ее «одолень-трава», верили, что она излечивает от многих болезней, оберегает от многих бед. Существовало даже поверье: «Кто найдет одолень-траву, тот вельми талант обрящет.. В пути, где ни пойдет, много добра обрящет и одолеет злую силу и недуги».
А теперь, ребята, считайте, что вы нашли одолень-траву, обрели талант в решении математических заданий и попробуйте вычислить значение этого выражения.
![]()
VI. Итог урока. Интерактивная доска.
- Хочу спросить …
- Для меня трудным было ……
- Хочу предложить ….
- Мне понравилось ….
Домашнее задание: тест.