Тригонометрические уравнения с модулем
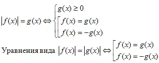
Раскрытие модуля по определению
Модулем числа а называется само это число а, если а ≥ 0, и число -а, если а < 0.
Согласно этому определению, в уравнениях модуль можно раскрывать следующим образом:

№1. Решить уравнение.

№2. Решить уравнение.

Решаем уравнение первой системы:
2sin2x-sinx=0
sinx(2sinx-1)=0
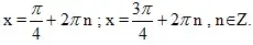
sinx=0 или sinx=
(оба уравнения удовлетворяют условию sinx≥0)
![]()
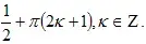
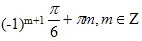
Решаем уравнение второй системы, и выбирая те, которые удовлетворяют условию sinx<0,
получаем х =![]()
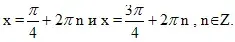
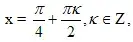
Серии ответов
можно записать объединяя

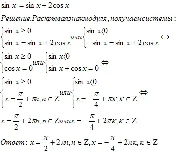
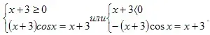
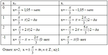
№3. Решить уравнение.
![]()
Решение. Раскрывая знак модуля, получаем системы:

Решая уравнение первой системы, получим
Из значений
нужно выбрать те, которые удовлетворяют неравенству системы х ≥ -3. Это
при n=0, 1, 2, 3…
Решая уравнение второй системы, получим
Из этого множества значений нужно выбрать те, которые удовлетворяют неравенству х
< -3. Это значения
при m= -1, -2, -3…
Ответ:
при n=0, 1, 2, 3…;
при m = -1, -2, -3…и х =
-3
№4 Решить уравнение.
![]()
Решение. Правая часть уравнения неотрицательна, значит, неотрицательна и левая часть, поэтому, раскрывая знак модуля, получим только одну систему 
Решаем уравнение системы:
соsx=cosx(x+1,5)2
cosx(1-(x+1,5)2)=0
cosx=0 или x+1,5=1 или x-1,5 = -1
х= -0,5 х = -2,5
Условию cosx≥0 не удовлетворяет х = -2,5 (3 четверть)
Ответ: ![]()
№5. Найти все решения уравнения
на отрезке [0;4].
Решение. Перепишем уравнение в виде ![]()
Раскрывая знак модуля, получаем системы:
![]()
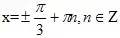
Решая первую систему, получим 
![]()
Из серии
в нужном промежутке [0;4] лежат точки 0 и
; , а из серии
![]()
Решая вторую систему, получим систему
, которая не имеет решений.
Ответ: ![]()
№6 Решить уравнение.
![]()
Решение. Правая часть уравнения неотрицательна, значит, неотрицательна и левая часть, тогда 2х-4≥0, 2(х-2)≥0 , х-2≥0. Если х-2≥0. то при раскрытия правого модуля по
определению рассматривается только один случай: ![]()

х=2 ![]()
Выберем те корни, которые удовлетворяют условию: х-2≥0; х≥2

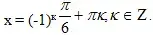
№7. Решить уравнение.
![]()
Решение. ОДЗ: ![]()
Раскрывая знак модуля, получаем системы: ![]()
Решая первую систему, получим cos2x=0, и из решений
надо выбрать те, при которых sinx>0. На круге видно, что это точки
вида ![]()
Решая вторую систему, получим уравнение соs2x=2,не имеющее решений.
Ответ:![]()
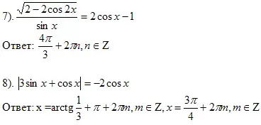
№8. Решить уравнение.
![]()
Решение. Преобразуем уравнение следующим образом:
![]()
Обратная замена:

Ответ: ![]()
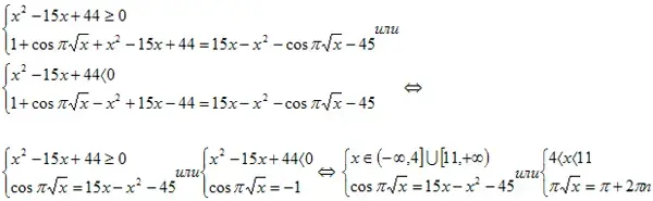
№9. Решить уравнение.
![]()
Решение. Выражение под первым модулем всегда неотрицательно, и его можно сразу отбросить. Второй модуль раскрываем по определению.

Решить уравнение первой система аналитически невозможно, исследуем поведение левой и правой частей на данных промежутках. Функция f(x) =-x2+15x-45=(-x2+15x-44)-1≤-1
при
причем, f(х)= -1 в точках 4 и 11.Левая часть cos![]()
при любых х, причем, в точках 4 и 11 не равна -1, значит, система решений не имеет.
При решении уравнения второй системы получается:
В промежутке
только одно целое нечетное число 3, т.е ![]()
Ответ: 9
Другие способы раскрытия модулей.
Уравнения вида
можно решать и следующим способом:

№10. Решить уравнение.
![]()
Решение. Левая часть уравнения неотрицательна, значит, неотрицательна и правая часть, тогда cosx <0, тогда уравнение равносильно системе 
Рассмотрим две системы: 
Решая уравнение первой системы получим: cosx-2sinx=0
![]()
Учитывая, что cosx≤0, x = arctg
Вторая система решений не имеет.
Ответ: x = arctg.![]()
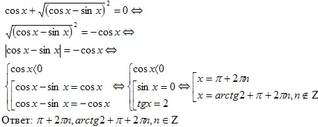
№11. Решить уравнение.
cosx![]()
Решение.

№12. Решить уравнение.
![]()
Решение. Уравнение равносильно sinx = ± cosx ![]()
Ответ:![]()
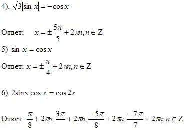
Задачи для самостоятельного решения:


