Программа элективного курса по информатике "Вычислительная математика и программирование"
Пояснительная записка.
…информатика по праву входит в братский союз с математикой и лингвистикой, закладывая в школьное образование опорный треугольник развития главных проявлений человеческого интеллекта: способность к обучению, способность к рассуждению, и способность к действию.
А.П. Ершов.
Элективный курс «Вычислительная математика и программирование» имеет интегрированный характер, обеспечивает межпредметные связи информатики и математики.
Особенностями курса являются:
- модульное построение содержания;
- системный поход в изложении материала;
- вариативный характер (использование системы программирования и пакета MathCAD для решения задач вычислительной математики);
- использование компьютерного вычислительного эксперимента как важнейшего познавательного инструмента;
- приобретение учащимися опыта проектной деятельности.
Курс ориентирован на учащихся старших классов (10 - 11) физико-математического профиля общеобразовательной школы, имеющих базовую подготовку по информатике, знакомых с основами программирования на языке Турбо Паскаль 7.0 и рассчитан на 36 часов.
Главной теоретической целью курса является углубленное изучение некоторых тем математики и информатики на профильном уровне, стимулирование познавательного интереса учащихся в области математики и информатики, формирование понимания учащимися тесной взаимосвязи математики и информатики, роли математики как теоретической основы информатики.
Главной практической целью является совершенствование навыков применения учащимися ИКТ для решения прикладных задач, формирование умения самостоятельно и осознано выбирать из многочисленного количества инструментов информатики те, которые наиболее эффективно способствуют решению конкретной проблемы, расширение возможностей учащихся в отношении дальнейшего профессионального образования.
Основной метод обучения - метод проектов, который позволяет реализовать исследовательские и творческие способности учащихся. Сначала математические задачи решаются в общем виде; затем их решения переводятся на язык программирования и реализуются на компьютере. При этом учащиеся разбирают подробно не только математическую сторону проблемы, но и нюансы метода программирования (правильность написания программы, ее отладка и т.п.). Результат работы - программа, решающая определенный класс задач, реализующая тот или иной численный метод. Роль учителя состоит в кратком по времени объяснении нового материала и постановке задачи, а затем консультировании учащихся в процессе выполнения практического задания.
Разработка каждого проекта реализуется в форме выполнения практической работы на компьютере (компьютерный практикум). Кроме выполнения проектов учащимся предлагаются практические задания для самостоятельного выполнения.
Текущий контроль знаний осуществляется по результатам выполнения учащимися практических заданий.
Итоговый контроль реализуется в форме защиты итоговых проектов.
Уровень реализации практических задний - главный показатель и средство оценки учебных достижений учащихся.
Знакоместо с основными возможностями пакета программ MathCAD позволяет увидеть практическую интерпретацию тех математических идей, которые учащиеся реализовали собственными программами, и использовать этот пакет как инструментальное средство для решения различных математических задач.
В результате успешного изучения курса учащиеся должны знать:
- что такое вычислительная математика, ее задачи и методы;
- о роли и практическом применении приближенных вычислений;
- их реализации средствами ИКТ и программирования;
- об основных численных методах решения уравнений;
- об основных численных методах дифференцирования;
- об основных численных методах интегрирования;
- способы реализации численных методов на компьютере;
- назначение, возможности и технологию применения пакета программ MathCAD.
должны уметь:
- реализовывать изученные численные методы в среде программирования Турбо Паскаль;
- практически применять среду MathCAD для решения прикладных задач, в том числе вычислительной математики.
Программа курса «Вычислительная математика и программирование» имеет модульную структуру:
| № модуля | Название модуля |
Кол- во
часов |
| Модуль 1 | Введение в вычислительную математику | 1 |
| Модуль 2. | Приближенные вычисления и их реализация на компьютере. | 8 |
| Модуль 3. | Численные методы решения уравнений. | 6 |
| Модуль 4. | Численные методы дифференцирования | 5 |
| Модуль 5. | Численные методы интегрирования | 5 |
| Модуль 6. | Знакомство с пакетом программ MatCad. Основы работы с ним | 11 |
| Итого | 36 часов |
Содержание курса.
Модуль 1.
Что изучает вычислительная математика. Численные методы и их особенности. Вычислительная математика и компьютер.
Модуль 2.
Приближенные вычисления. Погрешность вычислений. Вычисления на компьютере. Приближенное вычисление числа
. Вычисление значения
многочлена по схеме Горнера. Использование итерационных циклов в приближенных вычислениях (суммирование рядов и вычисление с их помощью элементарных функций, вычисление биномиальных коэффициентов и
степеней, вычисление квадратного корня и корня n-й степени).
Модуль 3.
Численные методы решения алгебраических и нелинейных уравнений и систем уравнений. Метод половинного деления. Метод хорд. Метод касательных (метод Ньютона). Комбинированный метод. Метод Крамера решения систем линейных уравнений. Метод Гаусса.
Модуль 4.
Понятие о численном дифференцировании и его методах. Решение дифференциальных уравнений вида
. Метод ломанных Эйлера
приближенного решения дифференциальных уравнений первого порядка. Приближенное вычисление дифференциала. Формула приближенного вычисления значения функции, дифференцируемой в точке х0.
Формулы вида
и вычисления с помощью них.
Модуль 5.
Понятие о численном интегрировании. Приближенное вычисление площади криволинейной трапеции: метод прямоугольников, метод трапеций, метод Симпсона. Приближенное вычисление объема тела.
Модуль 6.
Основы работы с пакетом программ MathCAD. Среда программы. Меню программы. Простейшие вычисления. Панели инструментов. Решение задач элементарной математики: преобразование алгебраических выражений, вычисление значений функции, решение уравнений. Использование MathCAD для решения задач математического анализа: построение графиков функций, дифференцирование, интегрирование, суммирование рядов.
Учебно-тематический план.
| № | Название темы | Кол-во часов | Форма проведения | ||
| всего | лекции | практика | |||
| 1. | Введение в вычислительную математику | 1 | 1 | Лекция | |
| 2. | Приближенные вычисления и компьютер | 1 | 1 | Лекция | |
| 3. | Приближенное вычисление числа |
1 | 1 | практикум | |
| 4. | Вычисление значение многочлена по схеме Горнера | 1 | 1 | практикум | |
| 5. | Итерационные циклы и приближенные вычисления | 1 | 1 | Лекция | |
| 6. | Суммирование рядов. Вычисление элементарных функций с помощью рядов | 1 | 1 | практикум | |
| 7. | Вычисление биномиальных коэффициентов. Использование бинома Ньютона для вычисления степеней | 1 | 1 | практикум | |
| 8. | Вычисление квадратного корня | 1 | 1 | практикум | |
| 9. | Контроль по модулю 2. | 1 | 1 | проект | |
| 10. | Численные методы решения уравнений и систем уравнений. | 1 | 1 | лекция | |
| 11 | Метод половинного деления | 1 | 1 | практикум | |
| 12. | Метод хорд | 1 | 1 | практикум | |
| 13. | Метод Ньютона | 1 | 1 | практикум | |
| 14. | Метод Крамера решения систем линейных уравнений. Метод Гаусса. | 1 | 1 | практикум | |
| 15. | Контроль по модулю 3. | 1 | 1 | проект | |
| 16. | Понятие о численном дифференцировании и его методах | 1 | 1 | лекция | |
| 17. | Решение дифференциальных уравнений первого порядка | 1 | 1 | практикум | |
| 18. | Приближенное вычисление дифференциала | 1 | 1 | практикум | |
| 19. | Формула приближенного вычисления значения функции, дифференцируемой в точке х0. | 1 | 1 | практикум | |
| 20. | Формулы вида |
1 | 1 | практикум | |
| 21. | Понятие о численном интегрировании. | 1 | 1 | лекция | |
| 22 | Метод прямоугольников | 1 | 1 | Практикум | |
| 23 | Метод трапеций. | 1 | 1 | практикум | |
| 24 | Приближенное вычисление объема тела | 1 | 1 | практикум | |
| 25 | Контроль по модулю 4 | проект | |||
| 26 | Основы работы с пакетом программ MathCAD | 1 | 1 | лекция | |
| 27 | Среда программы. Меню программы. Режим справки. | 1 | 1 | практикум | |
| 28 | Простейшие вычисления. Преобразование алгебраических выражений. | 1 | 1 | Практикум | |
| 29 | Панели инструментов. Вычисление значения функции | 1 | 1 | Практикум | |
| 30 | Решение уравнений. | 1 | 1 | практикум | |
| 31 | Построение графиков функций и исследование их свойств | 1 | 1 | Практикум | |
| 32 | Дифференцирование в среде MathCAD. | 1 | 1 | Практикум | |
| 33 | Суммирование рядов | 1 | 1 | Практикум | |
| 34 | Интегрирование в среде MathCAD | 1 | 1 | Практикум | |
| 35 | Контроль по модулю 6. | 1 | 1 | Проект | |
| 36 | Итоговая работа | 1 | 1 | Проект | |
Методическое обеспечение курса:
- Методическая разработка элективного курса (теория и практика).
- Электронное учебное пособие «Вычислительная математика и программирование. 10-11 класс». 1С: Школа.
- Д.Г. Есипенко, М.Е. Эскаревская .MathCAD: математический практикум. Часть 1.Учебное пособие. Воронежский государственный университет, 2003.
- Н.Я. Виленкин , О.С. Ивашев - Мусатов, С. И. Шварцбург. Алгебра и начала анализа. 10, 11 класс. М.- Мнемозина, 2004.
- Д. Гуденко, Д. Петреченко. Сборник задач по программированию. СПб.: Питер, 2003.
- Житкова О.А., Кудрявцева Е.К. Справочные материалы по программированию на языке Паскаль. М.- Интеллект - Центр, 2003.
- Программирование на языке Паскаль: задачник / под ред. Усковой О.Ф. - Спб.: Питер, 2002.
Примеры уроков.
Урок № 3. Приближенное вычисление числа
.
Разумеется, число
можно найти в любых математических справочниках. Однако метод секущих позволяет определить его с достаточной точностью, не
используя тригонометрические функции.
Чтобы получить значение числа
, определим длину полуокружности радиуса 1 (она как раз и равна этому числу).
- Возьмем отрезок [-1, 1]. Разобьем его на нескольких коротких отрезков одинаковой длины и возьмем соответствующие точки на окружности.
- Дугу между двумя последовательными точками заменим отрезком. Конечно, длина дуги не равна длине отрезка, но можно рассчитывать, что если части, на которые разбита дуга, достаточно маленькие, то ошибка не велика.
- Вычислив длину каждого отрезка и сложив их все, мы приближенно определим длину дуги. В средние века математики вычисляли число
примерно
также, хотя они в качестве приближения к окружности использовали правильный многоугольник с достаточным числом сторон. - Составим программу для вычисления
. - Чтобы проверить полученные результаты, в самом конце работы программы число
вычисляется с помощью стандартной функции, определяющей
угол, тангенс которого равен 1.
Примечание.
Использованный метод достаточно универсален, и его можно применять для вычисления длин любых кривых.
Постановка задачи.
Вычислить длину кривой, соответствующей функции y = f(x) на отрезке [a,b], методом секущий (т.е. приближенно заменив кривую ломаной), задав n точек разбиения отрезка на равные части.
Метод решения.
Длина отрезка прямой, соединяющей две точки A (x1,y1) и B (x2, y2), определяется формулой
. Составим программу.
Экспериментальный раздел.
- Составить программу вычисления числа
с заданной степенью точности. Сравнить полученное значение со значением стандартной константы
Pi в Паскале. - Определить длину дуги параболы у = х2, при 0<x<1.
Темы проектов.
- Способы вычисления числа
(с примерами). - Замечательные константы в математике. Числа
и е. (Презентация)
Урок № 5. Итерационные циклы.
Большое место среди циклов с неизвестным числом повторений занимают циклы, когда в процессе повторений тела цикла образуется последовательность значений
у1, у2, … уn, сходящуюся к некоторому пределу т.е.
.
Каждое новое значение уn в такой последовательности определяется в такой последовательности определяется с учетом предыдущего уn-1 и является по сравнению с ним более точным приближением к искомому результату (пределу).
Циклы, реализующие такую последовательность приближений (итераций) называются итерационными.
В итерационных циклах условие продолжения (окончания) цикла основывается на свойстве безграничного приближения значений уn к пределу а при увеличении n.
Итерационный цикл заканчивается (результат отождествляется со значением уn, т.е.
), если для некоторого значения
n выполняется условие.
Постановка задачи.
Вычислить с погрешностью
=10-4 значение функции S = cos x, используя разложение косинуса в ряд:
![]()
Метод решения.
Накопление итерационной суммы происходит по формуле ![]()
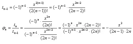
Для вычисления tn используется рекуррентное соотношение
.
Определим ![]()

Итак,
![]()
Для организации цикла по накоплению суммы используется оператор цикла с предусловием, в котором | t |>
является условием продолжения
цикла.
Для вычисления последовательности значений косинуса с погрешностью
используются вложенные циклы:
Экспериментальный раздел.
Изобретательность математиков позволила найти формулы для вычисления суммы нечетных чисел, суммы квадратов и кубов.

Компьютер с успехом применяется и для вычисления частичных сумм бесконечных числовых рядов с заданной степенью точности, например:

Практикум.
- Составить программу вычисления суммы ряда с заданной степенью точности.
- Функция y = sin x представляется в виде ряда

Составить программу, с помощью которой можно вычислить с точностью
= 0,0001 значение функции y = sin x при х = 0,1; 0,2; … 1,5. Ответ получить
в виде таблицы:
| № | Число Х | y = sin x |
Темы проектов (электронное пособие в виде презентации):
- Гармонические колебания.
- Тригонометрические функции и их применение.
- Степенные ряды.