Урок по физике в 10-м классе по теме "Конденсаторы"
Цели урока:
- Дидактические:
- познакомить с устройством плоского конденсата и его видами;
- вывести формулы емкости плоского конденсатора, батареи последовательно и параллельно соединенных конденсаторов, энергии заряженного конденсатора и сформировать умения применять формулы в решении задач.
- Развивающие: развивать интерес к предмету, расширять кругозор учащихся, используя исторический материал, развивать обобщенные знания и целостное представление о физических явлениях.
- Воспитательные: на примере разрядки конденсатора через лампочку накаливания показать, что электрическое поле обладает энергией, а поэтому оно материально.
Ход урока
1. Организационный момент. Объявление цели урока.
2. Фронтальная проверка знаний формул электростатики – тестировании с выбором ответа.(Приложение 1). Взаимная проверка и оценка работы.
3. Фронтальный опрос.
- Что такое электроемкость? Назовите формулу. (Формула С=q/U).
- Почему нельзя накопить большой заряд на двух проводниках, бесконечно увеличивая напряжение между ними?
- Зависит ли электроемкость от q и U?
- От чего зависит емкость проводников?
- Назовите формулу емкости шара?
. - Какова единица электроемкости в СИ?
- Почему используют мкФ, пФ, нФ? (1Ф = 1 Кл/В – очень большая емкость). Ученик у доски определяет радиус шара, емкость которого равна 1 Ф и сравнивает его с радиусом солнца.
Работа по новому материалу:
Работа проводится индивидуально и в группах.
1. Что такое конденсатор? (показать).
2. Каково его устройство?
3. Что понимают под зарядом конденсатора?
4. Почему его емкость не зависит от окружающих тел?
5. Способы зарядки конденсатора.
Эксперимент:
- Зарядка демонстрационного конденсатора от электрофорной машины;
- Зарядка демонстрационного конденсатора с помощью наэлектризованной палочки.
6. Устройство первого конденсатора. Почему он так называется?
(Сообщение учащегося).
7. Выведем формулу емкости плоского конденсатора.

![]()
- диэлектрическая проницаемость;- S – площадь пластин;
- d – расстояние между пластинами.
8. Эксперимент: Рассчитаем емкость демонстрационного конденсатора, измерив радиус пластины (R = 13 см), используя в качестве диэлектрика стеклянную пластину.

9. C помощью эксперимента показываем зависимость емкости от площади пластин конденсатора, расстояния между ними и рода диэлектрика.
![]()
- S уменьшается → увеличивается U, значит С уменьшается;
- d уменьшается → уменьшается U, значит С увеличивается;
- ввод
→ уменьшается U, значит С увеличивается.
10. Выясним, для чего конденсаторы соединяют в батареи?
а) 
Учащийся у доски делает вывод общей емкости при последовательном соединении конденсаторов.
q = const = q1 = q2; C = q/U;
UO = U1 + U2;

Рассчитаем С0, если С1 = 2 мкФ; С2 =4мкФ при последовательном соединении.

б) учащийся у доски делает вывод общей емкости при параллельном соединении конденсаторов.

- q0 = q1 + q2;
- U0 = U1 = U2 =const;
- C0U =
C1U1+C2U2=>
.
Рассчитаем С0, если С1 = 2 мкФ; С2 =4мкФ при параллельном соединении Со= 2+4 =6 (мкФ).
11. Эксперимент: Зарядим конденсатор и подсоединим к нему лампочку. Наблюдаем вспышку, конденсатор, мгновенно заряженный и разряженный, не может быть источником постоянного тока. Но он обладает энергией.
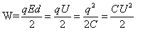
12. Получим формулу для расчета энергии электрического поля конденсатора.
![]()
13. Плотность энергии электрического поля.
![]()
14. Учащийся рассказывает о видах конденсаторов, их практическом применении и правилах ТБ при работе с конденсаторами.
15. а) в тетрадях для контрольных и лабораторных работ проводим практическую работу с расчетом энергии и мощности конденсатора, взяв дополнительные данные с паспорта к выданному конденсатор за t = 10-6 c.
б) Решить самостоятельно. (Рымкевич А.П. Сборник задач по физике).
| 1 вариант | 2 вариант |
| 748 | 749 |
| 756 | 755 |
Тетради сдаются для проверки учителю.
16. Итог урока: Рефлексия.
Закончить предложение:
- Сегодня на уроке я узнал…
- Сегодня на уроке я повторил…
Контрольные вопросы:
- Что такое конденсатор?
- Формула емкости плоского конденсатора.
- Формула емкости при последовательном и параллельном соединении конденсаторов в батарею.
- Формула энергии и плотности энергии электрического поля заряженного конденсатора.
- Виды конденсаторов, где применяются.
17. Анализ работы учащихся. Оценки за урок.
18. Домашнее задание: Д/з § 50, 51. Упр. 9 (4,6).
Литература:
- Мякишев Г.Я., Буховцев Б.Б., Сотский Н.Н, Физика. Уч. для 10 кл. общеобразовательных учреждений. – М.: Просвещение, 2006.
- Громов С.В. Физика. Механика. Теория относительности. Электродинамика. Уч. для 10 кл. общеобраз. учреждений. / Под ред. Н.В. Шароновой. Изд.3-е. – М.: Просвещение, 2002.
- Физика. Уч. пособие для 10 кл. школ и классов с угл. изучением физики./ Под ред. А.А. Пинского. М.: Просвещение, 1993.
- Элементарный учебник физики: уч. пособие в 3-х т./ Под ред. Г.С. Ландсберга. М.: Наука, 1986.
- Рымкевич А.П. Сборник задач по физике. для 9-11 кл ср школы. 14-е изд. М.: Просвещение, 1992.
- Чубенко Л.В. Электроемкость. Конденсаторы. //Физика. 1-7 января 2003г. № 1. – С.17-19. (Еженедельная газета издательского дома «Первое сентября»).
Виды конденсаторов.(Рисунок 1)
Опыт Мушенбрука. (Рисунок 2)