Учебный проект "Решение уравнений методом замены переменной"
Введение
Учебный проект "Решение уравнений методом замены переменной" был выполнен как итоговая работа по предмету "Математический практикум" учениками 11 класса с углубленным изучением математики.
К моменту объявления темы проекта и постановки задач и целей перед учащимися были полностью изучены следующие темы:
- "Рациональные уравнения, их классификация и методы решения",
- "Тригонометрические уравнения, их классификация и методы решения";
- "Иррациональные уравнения, их классификация и методы решения ";
- "Показательные уравнения, их классификация и методы решения";
- "Логарифмические уравнения, их классификация и методы решения ".
Тип проекта: информационно-исследовательский, итоговый.
Доминирующая в проекте деятельность: исследовательская, поисковая, практико-ориентированная.
Предметно-содержательная область: монопроект (в рамках предмета).
Характер координации проекта: непосредственный, гибкий.
Характер контактов: среди участников одного класса.
Количество участников проекта: 32 ученика, разбитых на четыре группы в соответствии с подтемами (мини-проектами):
- "Решение рациональных уравнений методом замены переменной";
- "Решение иррациональных уравнений методом замены переменной";
- "Решение тригонометрических уравнений методом замены переменной";
- "Решение показательных и логарифмических уравнений методом замены переменной".
Продолжительность проекта: 16 дней.
Преследуемые дидактические цели:
- формирование комплексного видения проблемы и ее решений;
- повторение изученного материала "по вертикали";
- формирование навыков работы с информацией: поиск информации, ее творческая обработка и применение;
- развитие коммуникативных навыков учащихся: умение работать в группах, выступать с докладами, обосновывать и защищать свою точку зрения;
- развитие творческих способностей и личностных качеств участников проекта;
- поиск новых форм учебного процесса.
Задачи, поставленные перед участниками проекта:
- Найти примеры уравнений, которые можно решить указанным методом (в соответствии с подтемой группы).
- Классифицировать отобранные уравнения по признаку используемой замены, выделив стандартные и нестандартные замены.
- Оформить результаты работы над проектом.
- Защитить свой мини-проект, выбрав удобную форму для презентации.
Этапы и сроки проведения проекта (на конкретном примере):
- Объявление темы, целей и задач, распределение по группам, планирование деятельности, распределение обязанностей в группах, обсуждение источников информации - 11 декабря.
- Сбор и уточнение информации - 12-15 декабря.
- Обсуждение достигнутых результатов, корректировка планов деятельности - 16 декабря.
- Выполнение исследований, оформление результатов - 16-20 декабря.
- Предварительное представление результатов, их обсуждение в группах - 21-22 декабря.
- Подготовка доклада, обоснование процесса проектирования, объяснение полученных результатов - 23 декабря.
- Защита проекта, оценка деятельности, проверочные работы - 25-27 декабря:
- 25 декабря (кружок) - презентация проектов групп
- "Решение показательных и логарифмических уравнений методом замены переменной";
- "Решение иррациональных уравнений методом замены переменной".
Устная проверочная работа (Приложение 1).
26 декабря (открытый урок) - презентация проектов групп
"Решение рациональных уравнений методом замены переменной";
"Решение тригонометрических уравнений методом замены переменной".
27 декабря - письменная проверочная работа (Приложение 2).
Примечание: консультации с учителем проводились по мере необходимости.
План-конспект открытого урока
Тема: "Решение уравнений методом замены переменной".
Тип урока: урок защиты проекта, урок применения знаний, умений и навыков.
Используемые педагогические технологии: метод проектов, технология проблемного обучения.
Цели урока:
- формирование знаний и умений учащихся решать уравнения методом замены переменной,
- формирование умений и навыков по оцениванию проекта.
Задачи урока:
- обучающие: обучение видению замен переменной и их применению при решении уравнений; работе с информацией;
- развивающие: развитие речи, творческих и личностных качеств учащихся, способностей выделять, наблюдать, анализировать, классифицировать, сравнивать различные математические ситуации;
- воспитательные: работа над коммуникативными качествами учащихся, формирование аккуратности, дисциплинированности, ответственного отношения к достижению поставленных целей.
Применяемые методы обучения:
- поисковые;
- исследовательские;
- объяснительно-иллюстративные;
- репродуктивные.
ТСО: компьютер, мультимедиапроектор, проекционный экран
Ход урока
1. Организационный момент. Вступительное слово учителя.(2 мин)
Уважаемые гости! Уважаемые участники проекта! Мы продолжаем работу по презентации проекта, начатую вчера. Тема проекта - "Решение уравнений методом замены переменной".
Вчера мы заслушали отчеты групп, работавших по темам: "Решение показательных и логарифмических уравнений методом замены переменной" и "Решение иррациональных уравнений методом замены переменной", положительно оценили их труд. Папки с отчетами находятся перед вами. Продолжаем защиту проекта.
Наши главные цели - обобщить знания по теме "Решение уравнений методом замены переменной", дать оценку проделанной работе, найти общее в работах различных групп, творчески применить освоенные способы деятельности при решении комбинированных уравнений. Напоминаю, что на презентацию каждой группе отводится не более 8 минут, ибо "Первое условие, которое надлежит выполнять в математике,- это быть точным, второе - быть ясным и, насколько можно, простым". (Л.Карно)
2. Презентация двух групп, оппонирование.
1) Презентация группы, работавшей по теме "Решение рациональных уравнений методом замены переменной".(8 мин - презентация , 2 мин - оппонирование.)
Комментарий: презентация выполнена с помощью компьютера и демонстрируется с помощью мультимедиапроектора на экране.
2) Презентация группы, работавшей по теме "Решение тригонометрических уравнений методом замены переменной" (8 минут - презентация , 2 мин - оппонирование.)
Комментарий: основные моменты презентации оформлены на доске заранее.
3. Оценка проекта (внутри группы и внешняя).
4. Подведение итогов защиты проекта.
Вопросы учителя:
1) Чему научила нас работа над проектом?
Предполагаемые ответы учащихся:
- видеть замену переменной как метод решения уравнений;
- работать с информацией;
- анализировать, классифицировать полученную информацию;
- работать в команде, деловому взаимодействию и принятию коллективных решений.
2) Какие общие типы замен прослеживаются в работах групп?
Возможные ответы учащихся:
- сведение к рациональному или дробно-рациональному уравнению;
- однородные уравнения (как частный случай предыдущего);
- переход к системе уравнений;
- распознавание завуалированной обратной величины.
5. Творческое применение знаний путем решения проблемных задач.
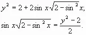
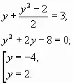
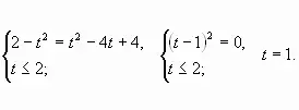
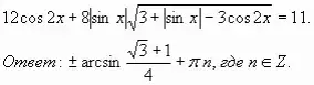
Решить уравнение:
.
(МГУ, 2000, химфак)
Обсуждение решения, фронтальная работа с записью на доске и в тетрадях.
Тип уравнения?
- показательное!
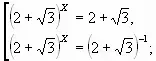
Что можно заметить, рассматривая основания степеней?
- Заметим, что

Какая замена напрашивается?
- Пусть![]()
![]()
Уравнение примет вид: ![]()
Какое это уравнение?
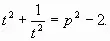
- Дробно-рациональное. А если умножить обе части уравнения на t (заметив, что t>0), то уравнение становится симметрическим:
.
Разделим обе части уравнения на
. Получим: ![]()
Сгруппируем слагаемые:![]()
Какова стандартная замена для решения симметрического уравнения?
- Введем новую переменную
. Тогда ![]()
Какие ограничения можно наложить на введенную переменную?
![]()
С этого места решение предполагается закончить дома как учебное упражнение № 1 для домашней работы.
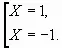
Имеем квадратное уравнение:

![]()

![]()
![]()
Ответ: -1; 1.
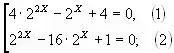
2) Решить уравнение:
.
Решение:
Решение уравнения на доске проводится учеником, предложившим замену.
Итак, замена ![]()
Тогда

Уравнение примет вид:

Исходное уравнение равносильно совокупности следующих двух уравнений:
1) ![]()
Достаточно сделать "грубую" оценку левой части, чтобы понять, что уравнений корней не имеет!
2)
.
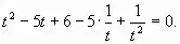
Пусть ![]()
Получаем уравнение: ![]()
С этого места решение предполагается закончить дома в качестве учебного упражнения № 2 для домашней работы.

Осталось решить уравнение

Ответ:![]()
3) Решить уравнение: ![]()
(МГУ, 2004, ИСАА)
Обсуждение решения, фронтальная работа, запись решения на доске и в тетрадях.
Видна ли замена?
- нет.
Подготовим уравнение к замене!
- для этого преобразуем выражение
![]()
Исходное уравнение равносильно следующему уравнению:
![]()
Теперь замена видна?
-да!
Пусть
.
Уравнение принимает вид:
![]()
Исходное уравнение равносильно совокупности уравнений:

С этого момента учащиеся самостоятельно завершают решение с последующей проверкой ответа.


Дальнейшая замена и ход решений очевидны.
Уравнение (1) решений не имеет.
Решениями уравнения (2), а значит, и исходного уравнения являются
.
Ответ:
.
6. Выводы (итог урока):
Метод замены переменных - один из самых распространенных методов решения уравнений на вступительных экзаменах.
Иногда замена очевидна, а иногда требуется подготовить уравнение к замене.
Справедливы слова известного математика:
"Метод решения хорош, если с самого начала мы можем предвидеть и впоследствии подтвердить, что, следуя этому методу, достигнем цели"(Лейбниц)
7. Домашнее задание:
- Завершить решение уравнений № 1-2 урока.
- Решить уравнения с помощью метода замены переменной:
;
.
- Дополнительное задание (МГУ, 2005, ВМК):
Решить уравнение:

Комментарий: Домашнее задание ученики получают в виде готовой карточки. Основная часть задания рассчитана на среднего ученика. Дополнительное задание дано с ответом и указанием экзамена, на котором оно предлагалось. Последнее предполагает, что указание источника поможет учащемуся найти решение этого уравнения в журнале "Квант" или другой литературе. Разбор готового решения сложного уравнения также весьма полезен для учащихся, даже если они не справились с ним самостоятельно.