Диагностическая работа по алгебре в 9-м классе на тему "Неравенства"
Инструкция для учащихся
Тест состоит из частей А и В. На выполнение работы отводится 90 минут.
Часть А.
К заданиям части А дано несколько ответов, из которых только один является верным. Решите задание, сравнив ответ с предложенным, впишите в лист ответов соответствующую букву для верного на Ваш взгляд ответа. Где необходимо, впишите сам ответ.
Часть В.
Полученный результат впишите в лист ответов.
Оценка результатов тестирования.
| Количество выполненных заданий. | 7-9 | 10-11 | 12-13 |
| Оценка | 3 | 4 | 5 |
Лист ответов учащихся.
Часть А.
| Номер задания. | А 1 | А2 | А 3 | А 4 | А 5 | А 6 | А 7 | А 8 | А 9 | А10 |
|
Соответственная буква верного ответа или ответ. |
Часть В.
| Номер задания. | В 11 | В 12 | В 13. |
| Правильный ответ. |
Вариант 1
Часть А
1. Какой промежуток соответствует неравенству
![]()

2. Какое неравенство соответствует данному числовому промежутку?
![]()
А:
В:![]()
Б:
Г:
![]()
3. Известно, что
. Какое из следующих неравенств неверно?
А:
В:![]()
Б:
Г:
![]()
4. Решите неравенство и укажите, на каком рисунке изображено множество его решений
8х+5 < 12х-3

5. При каких значениях x значение выражения
меньше значений выражения
?
А:
В:![]()
Б:
Г:
![]()
6. Какой промежуток является решением данного неравенства
5(х-2)-7(х+3)>27?
А:
В:![]()
Б:(-
;-29]
Г:(-
;-29)
7. Решить двойное неравенство
-15< х-12< -13
Ответ:
8.Найдите сумму целых решений неравенства
х2
36
Ответ:
9. Укажите наибольшее целое решение неравенства
![]()
Ответ:
10. Выберете верный ответ для решения квадратного неравенства
2х2+3х+1>0
А:(-
;-1)
В:[ -1;-0,5 ]
Б: (-1;-0,5) Г(-
;-1) u(-0,5;+
)
Часть В
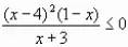
11.Решите неравенство
12.Найти область определения выражения
![]()
13.Укажите сумму целых решений неравенства
![]()
Вариант 2
Часть А
1. Какой промежуток соответствует неравенству
?

2. Какое неравенство соответствует данному числовому промежутку?
![]()
А:
В: ![]()
Б:
Г:
![]()
3. О числах a, b, c и d известно, что
a < b, b = c, d > c. Сравните d и a
А:
В:![]()
Б:
Г:
сравнить нельзя
4. Решите неравенство и укажите, на каком рисунке изображено множество его решений
3х+4
6х-5

5. При каких значениях a значение выражения
принимает положительные
значения?
А:
В:
![]()
Б:
Г:
![]()
6. Какой промежуток является решением данного неравенства
3(х-1)+1>4х-2(3х+2)?
А:
В:![]()
Б:
Г:![]()
7. Решите двойное неравенство
![]()
Ответ:
8. Укажите наименьшее целое решение неравенства
х2-49?0
Ответ:
9. Укажите наименьшее целое решение неравенства
х2-13х<0
Ответ:
10. Выберите верный ответ для решения квадратного неравенства
4х2+х-5?0
А:(-?;-1,25) В:(-1,25;1)
Б:[-1,25;1] Г: [1;+? )
Часть В
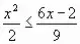
1. Решите неравенство
![]()
2. Найти область определения выражения
![]()
2. Укажите число целых решений неравенства
![]()
таких, что ![]()